1、長期以來,水體重金屬污染一直備受人們關注.由于歷史遺留、生產技術、經營規模等方面的原因,有色金屬采選、冶煉等行業產生的含重金屬離子廢水長期得不到有效治理,致使水體重金屬污染日趨嚴重.由于具有毒性大、留存久、不可生物降解、易生物富集等特點,極低濃度的重金屬污染都有可能對生態環境和人體造成嚴重的危害.因此,含重金屬離子廢水必須要進行嚴格處理.
常用的含重金屬離子廢水處理方法有化學沉淀、離子交換、電絮凝、膜分離等傳統物化法,以及植物吸收、微生物吸附等生物修復法.傳統物化法普遍存在成本高、能耗大、易產生二次污染等缺點,實際應用時局限性越來越明顯;而生物修復法基本上處于起步階段,技術不夠成熟,受自然條件制約明顯,一時也難以全面推廣.相對于傳統物化法和生物修復法,吸附法具有成本適中、能耗較低、技術成熟、受自然條件制約小、不易產生二次污染等優勢,在含重金屬離子廢水處理中得到較為廣泛的應用.
應用吸附法的關鍵在于吸附材料的選擇與制備.在眾多吸附劑中,硅藻土作為一種生物成因硅質巖,因具備比表面積大、微孔與表面活性基團多、表面呈負電性等獨特理化性質而擁有一定的吸附能力,被廣泛用于吸附水體重金屬和色素.但由于天然硅藻土含有雜質且理化構造存在缺陷,限制了吸附能力的發揮,需要通過改性以改善孔隙結構,充分提高吸附能力.目前,國內外主要采用單一常規方法改性硅藻土,不能顯著提高硅藻土吸附能力.因此,進行硅藻土復合改性研究具有重要現實意義.
研究表明,柱撐技術能夠有效改善蛭石、蒙脫石、膨潤土等粘土礦物及硅藻土的層間或孔道結構,進而提升其吸附能力,但前提是需要對改性對象進行必要的純化、均一化處理.為此,本研究以柱撐技術為核心,輔以酸活化、鈉化、焙燒等常規物化改性技術,形成酸活化-鈉化-柱撐-焙燒組合工藝對硅藻土進行復合改性,以期大幅度提高其吸附能力,并采用X射線衍射、傅立葉變換紅外光譜、掃描電鏡等分析手段分析硅藻土復合改性前后結構和性能的變化,初步探討復合改性機理,為硅藻土改性及含Cd2+廢水的處理提供科學依據.
2 材料與方法
2-1 試驗材料
硅藻土:購自云南騰沖縣助濾劑廠,堆密度0.5 g·cm-3,比表面積22.5 cm2·g-1,主要化學成分為SiO2,同時含有少量Al2O3、Fe2O3、CaO、MgO和有機質.使用前過10目土壤篩去除原礦帶入的雜質,用去離子水反復擦洗,去除硅藻土顆粒表面雜質,而后于105 ℃烘干,冷卻、研磨,過100目土壤篩,取篩下土密閉、干燥保存備用.
含Cd2+儲備液:準確稱取2.2818 g 3CdSO4·8H2O溶于去離子水中,溶解完全后定容至1000 mL,即得1000 mg·L-1的含Cd2+標準儲備液,保存于潔凈試劑瓶中備用.
聚羥基鋁柱化液:在勻速攪拌條件下,將一定體積不同濃度(0、0.2、0.5、1.0、2.0 mol·L-1)的NaOH溶液以1.0 mL·min-1的速度分別滴入AlCl3溶液中,使OH/Al摩爾比分別為1.0、2.0、2.2、2.4、2.6;而后繼續攪拌120 min,恒溫(60 ℃)陳化24 h,即得所需柱化液.
2.2 試驗方法
2.2.1 復合改性硅藻土制備
復合改性硅藻土制備工藝包括4個步驟,依次為酸活化、鈉化、柱撐、焙燒.①酸活化:取一定量體積分數分別為5%、10%、12%、15%、18%的硫酸,按一定液固比加入硅藻土中,混合均勻,恒溫(80 ℃)加熱120 min至微沸,期間加水保持液面平衡,冷卻后離心,去上清液,用去離子水反復清洗,直至pH值為6.0;然后于105 ℃下烘干,研磨、過篩,即得酸活化土.②鈉化:取適量酸活化土,按質量比1∶9加入適量去離子水,均勻攪拌成懸濁液;稱取適量分析純NaCl固體,加入懸濁液中,使NaCl質量分數分別為2%、4%、6%、8%、10%、20%,攪拌均勻,恒溫振蕩30 min后離心,去上清液,加入去離子水洗滌,直至無Cl-;然后烘干、研磨、過篩,即得鈉化土.③柱撐:勻速攪拌條件下,按Al/土摩爾質量比為10 mmol·g-1將柱化液緩慢滴入鈉化土懸濁液(固/液質量比為2%),滴加完成后繼續攪拌120 min,恒溫(60 ℃)老化24 h,離心,去上清液,清洗,烘干,研磨、過篩,即得柱撐硅藻土.④焙燒:取適量柱撐硅藻土于50 mL坩堝中,置入馬弗爐,分別于100、120、150、300、600 ℃下焙燒120 min,冷卻、研磨、過篩,即得復合改性硅藻土,密封保存備用.每個處理設3個平行樣,取均值進行分析.
2.2.2 靜態吸附試驗
等溫吸附:取適量天然或改性硅藻土于250 mL的具塞錐形瓶中,分別加入100 mL質量濃度分別為10、100、150、200、300、600、1000 mg·L-1的Cd2+標準溶液,調節溶液pH值為5.0,分別于30、45、60 ℃振蕩120 min,離心分離,用火焰原子吸收分光光度計測定清液中Cd2+的濃度.每個處理設置3個平行樣,取均值進行分析.
吸附動力學:取適量天然或改性硅藻土于250 mL的具塞錐形瓶中,加入100 mL質量濃度為200 mg·L-1的Cd2+標準溶液,調節溶液pH值為5.0,分別振蕩5、10、15、20、30、40、60、90、120、150、240、360 min,離心分離,用火焰原子吸收分光光度計測定清液中Cd2+的濃度. 每個處理設置3個平行樣,去均值進行分析.
2.3 分析項目 2.3.1 Cd2+濃度測定
采用AA-7002型原子吸收分光光度計測定Cd2+濃度,測定時燃燒頭高度設置為5 cm,波長設定為283.8 nm,狹縫設定為0.2 nm.
2.3.2 硅藻土復合改性前后表征
用XD-Z型自動X-射線粉末衍射儀分析硅藻土改性前后物相組成變化;用TRAffinity-1型傅立葉紅外光譜儀分析硅藻土改性前后化學組成的變化;用JSM-6380LV型掃描電子顯微鏡分析硅藻土改性前后微觀結構變化.
2.4 數據處理
平衡吸附試驗中所涉及到的重金屬離子吸附量計算公式為:

式中,C0為起始點液相重金屬離子濃度(mg·L-1);Ce為平衡點液相重金屬離子濃度(mg·L-1);qe為天然硅藻土平衡吸附量(mg·g-1); V為吸附溶液體積(mL);m為硅藻土投加量(g).
3 結果與討論
3.1 硅藻土復合改性工藝及條件
采用酸活化-鈉化-柱撐-焙燒組合工藝對硅藻土進行復合改性,分別考察了不同硫酸體積分數(5%、10%、12%、15%、18%)、不同NaCl質量分數(2%、4%、6%、8%、10%、20%)、不同OH/Al摩爾比(1.0、2.0、2.2、2.4、2.6)、不同焙燒溫度(100、120、150、300、600 ℃)對硅藻土平衡吸附量的影響,試驗結果見圖 1.

圖 1 不同工藝條件對硅藻土吸附性能的影響(a.H2SO4體積分數,b.NaCl質量分數,c.OH/Al摩爾比,d.焙燒溫度)
3.1.1 硫酸體積分數的影響
酸處理的目的主要是為了純化硅藻土,去除過篩、清洗等前處理無法去除的雜質.不同硫酸體積分數對硅藻土吸附能力的影響見圖 1a.由圖可知,當硫酸體積分數小于10%時,硅藻土對Cd2+的吸附量隨硫酸體積分數的增加而增大,當硫酸體積分數達到10%后,硅藻土的吸附量開始迅速下降.適當體積分數的硫酸能有效去除表面及孔道內的有機質等可溶性雜質,使硅藻土表面及孔道結構得到改善,比表面積增大,有效吸附點位增多,有利于吸附的發生.但過高體積分數的硫酸,一方面會蝕刻硅藻殼體邊緣,破壞微孔結構,降低比表面積;另一方面會使硅藻土表面發生嚴重質子化,使有效吸附點位迅速減少,最終使硅藻土吸附能力下降.因此,酸活化工藝的最佳硫酸體積分數選擇為10%.
3.1.2 NaCl質量分數的影響
鈉化的主要目的是使硅藻土孔道結構均一化,即用Na+交換出硅藻土孔道中原本攜帶的Ca2+、Mg2+、Fe3+等離子半徑不同的金屬陽離子,以便后續柱撐反應能形成高度一致的柱狀前體.不同NaCl質量分數對硅藻土吸附能力的影響見圖 1b.從圖中可以看出,鈉化過程,硅藻土對Cd2+的吸附量隨著NaCl質量分數的增加先增大后減小.硅藻土對Cd2+的吸附量于NaCl質量分數為6%時達到最大值,為7.21 mg·g-1,隨著NaCl質量分數的繼續增加,吸附量逐漸降低,這與楊秀紅等(2004)的研究一致.鈉化主要是通過Na+和氫鍵的鍵合,使原本受氫鍵束縛的羥基得以激活,并釋放出H+,導致硅藻土表面負電荷增加,吸附能力增強,但過量的Na+會占據被激活的吸附點位,與吸附質發生競爭吸附,導致吸附能力下降.因此,最佳NaCl質量分數為6%.
3.1.3 OH/Al摩爾比的影響
柱撐是復合改性的核心步驟,主要目的是為硅藻土孔道引入聚羥基化合物,形成柱狀體,擴大吸附空間,構建穩定的孔道結構.柱化液中OH/Al摩爾比對硅藻土最終的改性效果有重要影響,不同OH/Al摩爾比對硅藻土吸附能力的影響見圖 1c.從圖中可以看出,隨著OH/Al摩爾比的增加,硅藻土的吸附量逐漸增大,在OH/Al摩爾比為2.2時達到最大值,而后迅速減小.OH/Al摩爾比較低時,隨著OH-的加入,Al3+發生一系列逐級水解反應,并與溶液中的OH-形成多種羥基聚合物,如單體[Al(OH)x(H2O)(6-x)](3-x)+、二聚體[Al2(OH)x(H2O)(10-x)](6-x)+、多聚體Alpoly和[Al13O4(OH)(24+x)(H2O)(12-x)](7-x)+(簡稱Al13);當OH/Al摩爾比為2.2時,形成的羥基聚合物以Al13為主,Al13能夠充分與硅藻土孔道中Na+發生交換,生成半徑較大的聚合離子,增大硅藻土孔間距,同時帶入大量羥基,增加硅藻土有效吸附點位和負電性,有效提高硅藻土吸附能力.隨著OH/Al摩爾比繼續增加,Al13數量減少,無效聚合物增多,最終生成沉淀,導致柱撐失敗.因此,在進行復合改性時,OH/Al摩爾比應控制在2.2左右為宜.
3.1.4 焙燒溫度的影響
焙燒的目的是將Al13轉化成牢固穩定的柱狀物,充分拓展硅藻土孔道,增加硅藻土孔道結構的穩定性,同時可以有效防止Al3+釋放造成水體二次污染.焙燒過程溫度是關鍵因素,焙燒溫度對改性效果的影響見圖 1d.由圖可知,當焙燒溫度小于150 ℃時,硅藻土對Cd2+吸附量隨著溫度的升高而不斷上升,于150 ℃時達到最大值,而后迅速下降.適宜的焙燒溫度(150 ℃左右)能使聚合物發生適度的膨脹,去除無效水,形成穩定的柱體結構,使柱撐效果更加明顯.溫度過低(<150 ℃)不能形成穩定的柱體結構,同時也不能有效拓展吸附空間.溫度過高(150~300 ℃)會使羥基轉化成水分子脫除,使聚合物解離,無法形成柱狀體,當溫度接近600 ℃時,焙燒會對硅藻殼體產生破壞,導致吸附能力嚴重下降. 故認為最適焙燒溫度為150 ℃.
3.2 復合改性硅藻土吸附性能與行為
3.2.1 等溫吸附
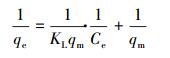
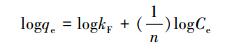
為了了解硅藻土復合改性前后對Cd2+的吸附性能與屬性變化,開展了等溫吸附研究.目前,常用于描述液/固體系吸附行為的等溫吸附模型主要有Langmuir和Freundich,二者的線性表達形式為見式(2)、(3).


式中,Ce、qe意義同前,R是熱力學常數,取值為8.314 J·mol-1·K-1;T是溶液溫度(℃);KF、kL、n、qm均為吸附常數.
對等溫吸附試驗數據分別采用上述2種模型進行擬合,結果見表 1.從表 1中可以看出,Langmuir和Freundich 2種模型對不同溫度下天然硅藻土吸附Cd2+的數據擬合值R2值范圍分別為0.9954~0.9982和0.9161~0.9384,改性硅藻土的R2值范圍分別為0.9944~0.9984和0.9007~0.9544.由此可見,硅藻土復合改性前后對Cd2+的吸附行為都更符合 Langmuir模型.研究表明,Freundich模型擬合參數n值的大小可以判定吸附反應的理化屬性,認為:n>1,吸附以物理過程為主;n<1,吸附以化學過程為主;n=1,表示吸附呈線性趨勢.從擬合結果可知,無論是天然硅藻土還是改性硅藻土,Freundich模型吸附常數n值均大于1,說明改性前后硅藻土對Cd2+吸附均以物理過程為主.大量的研究表明,Langmuir模型擬合參數qm(理論上的吸附密度上限值,也稱吸附容量)可用于描述與衡量吸附劑的吸附能力,盡管與實測值之間存在一定的差異.由表 1可知,接近常溫條件下(T=30 ℃時),天然硅藻土對Cd2+的吸附容量為5.44 mg·g-1,而經復合改性后的硅藻土吸附容量可達9.60 mg·g-1,增加了76.5%,多數單一改性技術對硅藻土吸附容量的提升幅度均不超過60%,說明酸活化-鈉化-柱撐-焙燒復合能有效改善硅藻土孔隙結構,顯著提高其吸附能力.
表 1 天然和改性硅藻土吸附Cd2+的Langmuir與Freundlich等溫吸附模型參數
3.2.2 吸附動力學
采用一級動力學和二級動力學模型對天然和改性硅藻土吸附Cd2+的時間動態數據進行了擬合,結果見表 2.從表中可以看出,二級動力學模型的擬合優度(R2值)高于一級動力學,說明硅藻土改性前后對Cd2+的吸附均符合二級動力學模型.對吸附數據采用一級動力學和二級動力學模型進行擬合均可獲得理論上的qe值,但二級動力學模型擬合所得qe值更接近實際值,對實際應用更具有指導意義.
表 2 天然和改性硅藻土對Cd2+的吸附動力學參數
3.3 硅藻土復合改性機理分析
3.3.1 掃面電鏡(SEM)分析
采用掃描電鏡對硅藻土復合改性前后微觀形貌的變化進行了分析,結果見圖 2.圖 2a為硅藻土復合改性之前的SEM圖,從圖中可以清晰地看出,本研究所用硅藻土的成因硅藻為冠盤藻(Stephanodiscus),硅藻殼體擁有眾多的微孔,但由于表面存在一定的雜質,導致孔隙結構不明朗,部分孔道被堵塞,阻礙了重金屬離子進入微孔發生吸附反應,限制了硅藻土吸附性能的發揮.經過復合改性之后,硅藻土微觀形貌發生了明顯的變化,整個硅藻殼體發生了膨脹(圖 2b),說明羥基鋁聚合物(Al13)通過離子交換作用成功置入硅藻殼體孔道,使孔道得到了充分有效的拓展. 同時發現表面的孔隙結構也變得清晰明朗,說明復合改性有效地清除了存在于硅藻殼體表面的雜質,改善了表面及孔道結構,這意味著部分吸附點位被激活,重金屬離子進入硅藻殼體的通道更加順暢,具體表現為吸附能力得到了極大提升,進一步證實了前述試驗結果.

圖 2 硅藻土改性前(a)、后(b)SEM圖
3.3.2 X射線衍射(XRD)分析
硅藻土復合改性過程的X射線衍射分析見圖 3.從圖中可看出,天然硅藻土(曲線a)中含有少量的蒙脫石(2θ=15°~20.5°)和較多的無定型SiO2(2θ=25.5°~30.5°),經酸活化后(曲線b),蒙脫石衍射峰強度降低,說明蒙脫石在硫酸的作用下得到了有效的清除.經鈉化后(曲線c),無定形SiO2衍射峰減弱,說明硅藻土表面無定形SiO2被NaCl清除.此外,鈉化硅藻土001衍射峰強度增大,說明硅藻土經鈉化后,孔道得以均一化,結構變得有序,結晶度變好.繼續采用柱化劑柱撐后(曲線d),硅藻土001衍射峰強度降低,較為彌散,說明柱化劑置入硅藻土孔道后,導致孔道結構無序性增加.經柱撐后硅藻土001衍射峰向小角度偏移(圖中曲線d所示),可能是因為柱化劑中Al13離子半徑大于天然硅藻土孔道中原本所攜帶的金屬陽離子,經離子交換作用進入孔道后,使硅藻土孔道間距增大.曲線e、f、g分別為不同焙燒溫度時的XRD圖,從中可以看出,方石英對應的衍射峰不斷增強,石英所對應的衍射峰不斷減弱,說明焙燒使硅藻土物相由石英向方石英轉變.

圖 3 硅藻土XRD圖(a.天然硅藻土,b.酸活化土,c.鈉化土,d.柱撐土, e. 150 ℃焙燒土,f. 300 ℃焙燒土,g. 600 ℃焙燒土)
3.3.3 紅外吸收光譜(IR)分析
通過紅外光譜分析可以了解硅藻土復合改性前后官能團的變化,圖 4為硅藻土復合改性前后紅外吸收光譜圖.由圖可知,天然硅藻土光譜圖中出現了3個強吸收譜帶,分別位于457.12、1033.84、3500 cm-1處,分別對應硅氧四面體中O—Si—O反對稱彎曲振動、Si—O—Si伸縮振動和羥基吸收帶(包括與水鍵合的表面羥基氫鍵).此外,天然硅藻土譜圖還出現了一些小的吸收譜帶,其中,3840.2 cm -1處為孤立Si—OH峰,1630 cm-1處為水分子的彎曲振動帶,777.31 cm-1處為對稱Si—O—Si伸縮振動(SiOH基團振動),677.01 cm-1處為Si—O鍵.

圖 4 硅藻土改性前后紅外光譜圖
經復合改性后,譜圖中約3500 cm-1處峰寬增加,并在低波數方向出現新峰,說明聚羥基金屬陽離子進入硅藻土孔道,導致其層間水含量增加.而3618.45 cm-1處和1033.84 cm-1處Si—OH彎曲振動峰明顯減弱,說明柱化劑與硅藻土中Si—OH存在化合作用.Lin等(2007)研究指出,1033.84 cm-1處吸收峰強度降低是因為柱化劑釋放H+進入硅氧四面體后,與其中的羥基發生水合作用.聚羥基鋁柱撐后,1350~1550 cm-1處的譜峰明顯減弱,說明Si—O—Si鍵減少,可能是因為聚羥基鋁與硅藻土四面體中Si—O—Si發生作用,這與SEM和XRD分析相一致.此外,1500 cm-1處的有機峰(C—H)逐漸減弱,說明改性后有機物被去除;3618.45 cm -1處寬峰強度減弱,說明硅藻土攜帶的自由水及因柱撐而增多的自由水經高溫焙燒去除,使得復合改性硅藻土孔道結構更加穩定.
4 結論
1)硅藻土最佳復合改性(酸活化-鈉化-柱撐-焙燒)工藝條件為:硫酸體積分數10%,NaCl質量分數6%,OH/Al摩爾比2.2,焙燒溫度150 ℃.經復合改性后,硅藻土對Cd2+的吸附容量由原來的5.44 mg·g-1提升至9.60 mg·g-1,提升了76.5%,吸附性能得到了顯著改善.具體參見污水寶商城資料或http://www.bnynw.com更多相關技術文檔。
2)改性前后硅藻土對Cd2+的吸附屬性沒有發生改變,均符合Langmuir等溫吸附模型和二級動力學模型,吸附以物理過程為主.SEM、XRD和IR分析結果均表明,經復合改性,硅藻土殼體雜質得到清除,聚合羥基鋁離子(Al13)成功引入硅藻土孔道并發揮柱撐作用,硅藻土殼體孔隙結構得到了充分改善.




