1、極端環境微生物是目前國內外學者關注的熱點.低溫菌是極端微生物之一,并根據其生長溫度特性分為嗜冷菌和耐冷菌兩類.在寒冷環境中,這類微生物仍能通過對自身細胞膜、蛋白酶的調整或合成冷凍保護劑等來適應低溫的影響,以一定的速率繁殖、生長和活動.2000年Chevalier 成功地從南極和北極分離到 4 株耐冷的絲狀藍細菌,該菌在低溫環境條件下對氮和磷有較高的去除率,從而為低溫環境下污水中氮磷等污染物的去除提供了新的思路.在所有的氣候條件中,有機污染問題普遍存在,而在寒冷的環境中,溫度對生物處理過程影響頗大,各類低溫微生物在生物降解過程中發揮越來越顯著的作用,如低溫酵母在低溫條件下對廣泛碳氫化合物的降解.在我國北方地區冬季漫長、氣溫低,微生物活性降低,污水的生物處理效果難以保證,而將低溫菌應用到污水處理中,出水的各水質指標都得到了良好的去除效果.但由于直接投放菌體不僅成本高,還會造成大量菌體流失,難以控制它長期的處理效果,因此,找到一種成本低處理效果又好的方法極為重要.
固定化生物技術是從20世紀60年代開始迅速發展起來的一項新技術,它是通過化學或物理的手段將游離的細胞或酶定位于限定的空間區域內避免菌體或酶大量流失,使其保持活性并能夠反復利用的方法.在污水處理中,固定化后微生物密度大,抗沖擊負荷能力強,作用時間長,固液分離效果好,并且可以選擇優勢菌株進行專門利用,定向處理效果好.對于固定化技術理論及實際應用,在諸多廢水處理研究中已經體現出非常大的優勢,并且針對在低溫條件下固定化微生物處理污水也有所探索.將固定化技術強化應用在SBR工藝流程中進行污水處理將更加優化污水處理的效率及去除某些特定難降解的污染物.而本實驗采用的固定化菌株是由南四湖底泥中分離純化出經鑒定為黃假單胞菌屬,并命名為Pseudomonas flava WD-3的低溫菌,已確定能高效去除合成污水中的COD、總氮、總磷,其去除率可分別達到62.92%、56.42%、50.63%,并在低溫條件下應用于人工濕地,對污水取得了良好的處理效果.而直接投加菌體,難以觀測菌體去向和流失程度,并且不能夠實現重復使用.因此,本實驗采用海藻酸鈉(SA)包埋法及海藻酸鈉(SA)加聚乙烯醇(PVA)包埋法對該類菌株進行固定化,得出其最優條件并加以模擬實際應用,投加到SBR廢水處理工藝流程中處理城市生活污水.同時,研究不同投加量與不同水力停留時間(HRT)對污染物去除效率的影響,并對其在SBR工藝流程應用中對污水中各個污染物的降解效率進行降解一級動力學模型模擬.本實驗是對該低溫菌株應用于城市生活污水處理的繼續探索,其實驗結果定將為北方寒冷地區冬季廢水處理提供有力的理論基礎和技術支持,對水資源的再利用有著十分重要的意義.
2 材料與方法
2.1 材料
實驗菌株:菌株Pseudomonas flava WD-3 是冬季從南四湖人工濕地的底泥中培養、分離、篩選出來,經鑒定為黃假單胞菌,命名為Pseudomonas flava WD-3,基因登陸號為JX114950.挑取斜面保存的菌株于富集培養基中活化48 h,然后在4 ℃、1200 r·min-1下離心,收集菌體細胞,取濕菌體細胞再懸浮于無菌水中,制備成菌懸液,在600 nm波長下,測定吸光度在1.2~1.6范圍內,細菌個數約為4.575×108個·mL-1.
模擬廢水:模擬廢水以葡萄糖為碳源、氯化銨為氮源、磷酸二氫鈉為磷源,并添加適量的微量元素,使C∶N∶P=100∶5∶1,COD、總氮、總磷、氨氮的初始值分別約為1000、50、10、15 mg·mL-1,pH=7.0.
生活污水:采用從曲阜市生活污水處理廠取回的新鮮污水,測定其初始COD、氨氮、總磷、總氮分別為217.8~310.2、15.9~18.2、11.1~15.3、50.2~60.1 mg·mL-1.
2.2 固定化小球的制備
Pseudomonas flava WD-3 固定化小球的制備方法見圖 1.

圖 1 固定化小球的制備流程
2.3 固定化條件的優化
設計一個四因素四水平正交試驗,分別探索SA質量分數、PVA質量分數、固定化液質量分數及交聯時間對處理效果的影響(武心華,2009).根據預實驗結果設定正交試驗中四水平的因子取值,選用正交表L16(44),以最終廢水中4個指標氨氮、總磷、總氮、COD的去除率為指標,選定4個最優水平;4個因素分別是SA質量分數、PVA質量分數、固定化液質量分數及交聯時間,各因素水平表見表 1.
表 1 正交試驗因素水平表
2.4 SBR工藝流程構造
反應器為有機玻璃制成,形狀為圓柱體,直徑15 cm,高度25 cm,體積約為3 L,有效容積2 L;反應過程中采用機械攪拌,微孔曝氣條充氧曝氣,通過轉子流量計調節曝氣量來控制 DO 濃度;SBR 系統采用間歇進水、間歇排水方式,污泥濃度2500 mg·L-1,實驗裝置的示意圖見圖 2,運行周期見表 2.

圖 2 SBR試驗裝置示意圖(1. 進水口, 2. 控制閥,3. 氣泵,4. 取樣口,5. 出水口,6. 曝氣頭,7. 攪拌棒,8. 攪拌器,9. 反應器,10. 填料)
表 2 SBR系統運行周期
2.5 固定化小球投加量對SBR工藝中生活污水處理效果的影響
確定該菌株的最佳固定化條件后,于2013年12月初開始運行SBR污水處理工藝,控制水溫6~8 ℃,分別投加數量不等的固定化小球(含菌懸液5~20 mL,細菌個數約為4.575×108個·mL-1)于SBR工藝流程中,以未投加固定化小球的為對照組,連續運行3個月,測定水中NH4+-N、TP、COD和TN 濃度變化情況.
2.6 不同水力停留時間對SBR工藝中生活污水處理效果的影響
通過2.5節中的實驗,選擇最佳的固定化小球投加量進行試驗,設置不同的水力停留時間(HRT=0~10 h),以未投加固定化小球的SBR工藝流程為對照組.連續運行3個月,測定水中NH4+-N、TP、COD和TN 濃度變化情況.
2.7 水質指標的測定
氨氮的測定采用納氏試劑分光光度法,CODCr的測定采用重鉻酸鉀氧化法,總磷的測定采用鉬酸銨分光光度法,總氮的測定采用堿性過硫酸鉀消解紫外分光光度法,各指標測定的具體操作步驟詳見《水和廢水監測分析方法(第4版)》.
3 結果與討論
3.1 固定化條件的優化
正交試驗的結果見表 3,比較每個因素的極值R,該值越大所對應的因素影響越大,即為主要因素.本研究中影響吸附率的因素從主到次依次為PVA質量分數>交聯時間>SA質量分數>固定化液質量分數,即PVA的質量分數對固定化小球處理廢水的效果影響最大;比較每個因素在不同水平下的平均值,數值越大,綜合去除效率(結合4個水質指標的去除效率)越高.在本研究中,去除效率最好的水平組合為A3B2C4D3,即當SA質量分數取4%,PVA質量分數取6%,固定化液質量分數取5%,交聯時間取24 h時,固定化小球對模擬廢水中COD、總磷、氨氮、總氮的去除效率分別達到了69.79%、66.07%、57.54%、64.79%,雖然總氮的去除效率在各水平不是最高,但結合固定化小球的成球效果及各個物理指標,這是最優的一個固定化條件組合.并且Pseudomonas flava WD-3 游離狀態對模擬污水中 COD、總磷、氨氮的去除率分別為62.92%、56.42%、50.63%,固定化后對模擬廢水中COD、總磷、氨氮的去除效率分別是游離菌的1.11、1.17、1.14倍,表明該菌固定化后對污水各污染物的去除效率明顯提高.
| 實驗序號 | 各因素取值水平 | COD 去除率 |
氨氮 去除率 |
總磷 去除率 |
總氮 去除率 |
成球效果 | |||
| A | B | C | D | ||||||
| 1 | 1 | 1 | 1 | 1 | 28.79% | 16.80% | 35.63% | 19.25% | 成球易 強度差 傳質性好 彈性差 易碎 |
| 2 | 1 | 2 | 2 | 2 | 48.10% | 39.68% | 50.33% | 49.98% | 成球易 強度差 傳質性好 彈性一般 |
| 3 | 1 | 3 | 3 | 3 | 50.56% | 39.10% | 44.31% | 66.72% | 成球易 強度較好 傳質性一般 |
| 4 | 1 | 4 | 4 | 4 | 38.75% | 40.56% | 37.98% | 45.69% | 成球易 強度好 傳質性差 質地硬 |
| 5 | 2 | 1 | 2 | 3 | 49.56% | 50.61% | 41.93% | 45.83% | 成球易 強度差 傳質性好 彈性差 |
| 6 | 2 | 2 | 1 | 4 | 39.56% | 45.81% | 35.53% | 40.32% | 成球易 強度較好 傳質性好 彈性一般 |
| 7 | 2 | 3 | 4 | 2 | 47.12% | 41.57% | 59.56% | 50.44% | 成球易 強度好 傳質性較好 彈性好 |
| 8 | 2 | 4 | 3 | 1 | 35.33% | 39.98% | 45.12% | 43.46% | 成球易 強度大 傳質性一般 |
| 9 | 3 | 1 | 3 | 4 | 54.47% | 46.72% | 49.99% | 42.70% | 成球易 強度差 傳質性好 彈性較差 |
| 10 | 3 | 2 | 4 | 3 | 69.79% | 57.54% | 66.07% | 64.79% | 成球易 強度較好 傳質性一般 彈性差 |
| 11 | 3 | 3 | 2 | 2 | 59.98% | 46.13% | 41.14% | 37.87% | 成球易 強度好 傳質性較好 |
| 12 | 3 | 4 | 1 | 1 | 50.08% | 28.14% | 45.62v | 40.89% | 成球易 強度大 傳質性差 |
| 13 | 4 | 1 | 4 | 2 | 49.78% | 39.78% | 50.16% | 47.73% | 成球較難 粘度大 易拖尾 強度一般 |
| 14 | 4 | 2 | 3 | 1 | 39.43% | 36.22% | 29.09% | 32.88% | 成球較難 粘度大 強度較好 傳質性一般 |
| 15 | 4 | 3 | 2 | 4 | 48.91% | 40.62% | 38.14% | 39.99% | 成球較難 粘度大 易拖尾 傳質性較好 |
| 16 | 4 | 4 | 1 | 3 | 50.25% | 37.54% | 20.56% | 42.41% | 成球較難 強度大 易拖尾 傳質性差 質地硬 |
| 均值1 | 40.14% | 42.50% | 42.07% | 40.42% | |||||
| 均值2 | 45.75% | 42.18% | 42.19% | 40.58% | |||||
| 均值3 | 43.23% | 44.51% | 44.74% | 43.72% | |||||
| 均值4 | 40.22% | 40.15% | 43.44% | 44.61% | |||||
| R | 5.44 | 2.39 | 1.77 | 3.46 | |||||
注:表中A、B、C、D分別代表海藻酸鈉(SA)、聚乙烯醇(PVA)、固定化液(CaCl 2 )的質量分數及交聯時間4個因子.
表 3 正交試驗結果:各污染指標的去除效率和物理性能分析
在正交試驗中,各因素在不同水平下對固定化小球的物理性能和處理效果都有很大的影響,最優固定化小球如圖 3所示.首先SA作為天然凝膠載體材料,在包裹菌體成球上發揮巨大作用,質量分數過低時,小球難以成形,成形后其強度差易碎,并且SA質量分數過低還影響小球對菌的包裹,造成菌體有少量流失,影響菌體對污水的處理效果,質量分數過高增大其成球難度,小球粘度大易拖尾,處理效率也會隨之降低;其次PVA作為有機合成載體材料,其彈性較好但傳質性較差,質量分數過低會導致小球抗壓性不夠影響處理效果,質量分數過高又會影響其傳質性能,小球質地硬導致菌體活性受阻致處理效率降低,所以固定化小球對PVA的質量分數有較大的要求,其質量分數的變化對去除率有較大度的影響;而固定化時間對小球的外部形態影響不是很大,但其交聯時間的長短直接決定小球的成形內部結構及狀態,對廢水處理效率有較大影響;通過實驗發現,由于有機合成材料PVA的存在,制備復合載體材料的小球時對固定化液質量分數要求會變高,固定化液質量分數過低會使小球難以交聯成形,質量分數過高又會使小球質地過硬,傳質性變差,自然降低對污水的處理效率.

圖 3 固定化小球成型圖片
3.2 固定化小球在SBR工藝中對生活污水的處理效果
3.2.1 不同固定化小球投加量對生活污水的處理效果
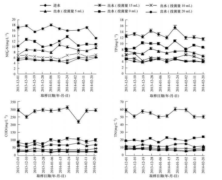
連續運行3個月,控制水溫為6~8 ℃,不同固定化小球的投加量對SBR工藝流程中廢水的NH4+-N、TP、COD和TN去除效果如圖 4所示.由圖 4可知,Pseudomonas flava WD-3的固定化小球在SBR工藝流程中對生活污水的處理效果很好,隨著小球數量(含菌量5~20 mL)的增加,生活污水中NH4+-N、TP、COD和TN的去除效率也隨之增大.當含菌量在0~10 mL時,污水中各項指標的去除效果增幅明顯,但達到10 mL以后,雖然各項污水指標去除效率依舊呈增大趨勢,但增幅明顯縮小,從實驗操作、運行成本等各方面考慮宜選用含菌量為10 mL時為最佳固定化小球投加量.當固定化小球的投加量取最佳時,Pseudomonas flava WD-3的固定化小球對污水NH4+、TP、COD和TN的去除率分別介于72.78%~77.48%、62.04%~69.26%、89.08%~92.72%和85.08%~89.08%,且平均去除效率分別為未投加該菌的1.13、1.91、1.25、1.56倍,固定化后,污水處理效果明顯提升,與同類實驗效果相吻合;并且相比先前實驗中未固定化的低溫菌Pseudomonas flava WD-3對污水的處理效果,去除效率明顯增加.

圖 4 不同投菌量時進出水中NH4+-N、TP、COD 和TN 濃度變化情況
3.2.2 不同水力停留時間對生活污水的處理效果
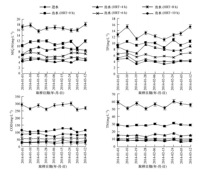
連續運行3個月,控制水溫為6~8 ℃,在SBR工藝流程中不同的水力停留時間對廢水的NH4+-N、TP、COD和TN去除效果如圖 5所示.由圖 5可知,取最佳固定化小球投加量時,隨著水力停留時間(HRT)的延長(0~10 h),Pseudomonas flava WD-3的固定化小球在SBR工藝流程中對生活污水中COD、TN、NH4+-N和TP的去除效率也隨之增大.當水力停留時間由0 h延長至8 h時,SBR工藝流程中各項污水指標的去除效果增幅明顯,但超過8 h之后,雖然各項污水指標去除效率依舊呈增大趨勢,但增幅明顯縮小,從實驗操作、運行成本等各方面考慮宜選用8 h為最佳水力停留時間.當水力停留時間為8 h時,Pseudomonas flava WD-3的固定化小球對污水NH4+-N、TP、COD和TN的去除率分別介于66.54%~75.61%、63.24%~73.68%、89.78%~91.03%和82.84%~87.26%.

圖 5 不同水力停留時間時進出水中NH4+-N、TP、COD 和TN濃度變化情況
隨著在低溫菌方面的深入研究及微生物固定化技術的不斷成熟,必將改善寒冷地區在低溫條件下處理污水困難的局面,固定化低溫菌也將在城市污水處理、濕地處理污水、廢水環境改善再利用方面發揮更大的作用.
3.3 污水處理動力學方程
在SBR運行系統中,低溫菌Pseudomonas flava WD-3對污水中污染物質的代謝降解即污染物質的衰減,可用一級動力學方程來模擬其降解效率:

式中,Ce為出水濃度(mg·L-1),C為進水濃度(mg·L-1);t為水力停留時間(h); KT為某溫度下的一階反應速率.
在SBR運行系統中,污水中各個指標去除率的一階方程描述如下:

式中,R0為污水污染指標NH4+、TP、COD和TN的去除率;Q為水力負荷(m3·h-1);A為SBR運行面積(m2);F為污染物質的非生物降解比例.
根據上述動力學模型,將SBR系統中各污染物的平均出水濃度記作Ce,平均進水濃度記作C,以ln(Ce/C)為縱坐標,分別以不同投菌量(HRT為8 h),不同水力停留時間(投菌量為10 mL)為橫坐標做圖,結果如圖 6所示;以lnR0為縱坐標,再以不同投菌量(HRT為8 h),不同水力停留時間(投菌量為10 mL)為橫坐標做圖,結果如圖 7所示.

圖 6 6~8 ℃下SBR系統在不同投菌量(a)和不同水力停留時間(b)條件下對有機污染物降解的一級動力學模型

圖 7 6~8 ℃下SBR系統中污染物去除效率與投菌量(a)、水力停留時間(b)的關系
通過對SBR運行系統進行監測,在不同投菌量和不同水力停留時間條件下對污染物降解效率進行分析,在6~8 ℃低溫環境中,低溫菌Pseudomonas flava WD-3 對生活污水污染指標NH4+-N、TP、COD、TN的降解效率符合一級動力學模型.
由圖 6可得出如下方程式:

式中,k為污水污染指標的降解速率常量(h-1),b為污水污染指標降解趨勢線斜率,結果如表 4所示.以上一級動力學方程表明,不同投菌量和水力停留時間(HRT)分別與降解效率的函數關系影響SBR的系統性能,進一步說明在低溫條件下,低溫菌Pseudomonas flava WD-3 對生活污水污染指標NH4+-N、TP、COD和TN的去除效率符合一級動力學模型,并且其去除效率與投菌量和水力停留時間(HRT)成正向關系,R2值均在0.85以上.
表 4 在6~8℃低溫環境下NH4+-N、TP、COD和TN的降解速率常量k和非生物降解殘余部分比例F
4 結論
1)對于Pseudomonas flava WD-3,最佳的優化條件為:SA質量分數4%,PVA質量分數6%,固定化液(CaCl2)質量分數5%,交聯時間24 h,此時固定化小球在低溫條件下對模擬廢水中COD、氨氮、總磷、總氮的去除效率分別為69.79%、57.54%、66.07%、64.79%,分別是游離菌對COD、TP和NH4+-N去除效率的1.11、1.17、1.14倍.具體參見污水寶商城資料或http://www.bnynw.com更多相關技術文檔。
2)Pseudomonas flava WD-3在最優化條件下制備的固定化小球投加到連續運行的SBR工藝流程中,通過試驗監測,10 mL菌懸液制備的固定化小球為試驗最佳投加量,對污水中COD、氨氮、總磷、總氮的去除率分別介于72.78%~77.48%、62.04%~69.26%、89.08%~92.72%和85.08%~89.08%;在最佳投加量條件下,SBR工藝中水力停留時間越長處理效果越好,綜合考慮取取最佳水力停留時間為8 h,對污水中COD、氨氮、總磷、總氮的去除率分別介于66.54%~75.61%、63.24%~73.68%、89.78%~91.03%和82.84%~87.26%.
3)在SBR工藝流程中,Pseudomonas flava WD-3 對生活污水中各污染物NH4+-N、TP、COD和TN的降解效率符合一級動力學模型.





