廢水中的有機污染物氯代苯酚來源廣、產量大,因苯環、氯原子和酚羥基結構的存在,使得氯代苯酚既具有親脂性,又具有一定親水性,因而對人類的神經系統、肝和腎等組織會造成很大損害.目前,氯代苯酚的主要處理方法有生物法、物理法、化學法和高級氧化技術,但它們在處理氯代苯酚中各自存在較大的缺點.其中,生物法不能處理包括酚和氯苯類等在內的對微生物生長繁殖有毒性或抑制性作用的較高濃度污染廢水;物理法不能從根本上消除有機污染物的毒性,容易產生如泄露、滲透等環境污染事故;化學法中添加的許多化學試劑會對生物產生毒性或致癌作用,易造成二次污染;光催化氧化法作為目前主要的高級氧化法,雖能克服上述傳統方法中的缺點,但仍存在光子利用率低、反應器設計復雜、光催化劑的回收和固定化技術及光催化劑的污染與活化等許多問題.與使用傳統普通光源的光催化氧化法相比,脈沖激光的單色性、低散射性和高能量強度的光學特性對提高光催化反應中的光子利用率和創造有利于光催化反應的局部高溫環境均具有重要的作用.此外,研究中使用的納秒脈沖激光不會產生普通光源所具有的熱效應,減少了能量損耗和冷卻系統,簡化了光催化體系.目前,貴金屬如納米金或納米銀已被應用于水凈化處理行業.這是因為納米金屬(如金和銀)顆粒受光照射后,可以產生表面等離子體共振效應,使納米金屬導帶電子偏離金屬原子核,出現電荷偶極作用,從而使納米金屬表面的負電荷或正電荷與有機污染物發生親電或親核反應.正是由于納米金顆粒具有獨特的表面等離子體共振特性和表面易于修飾的優點,研究人員已對金的催化性能進行了一些研究.此外,有學者還使用了非載體納米金進行污染物催化降解研究,而且在脈沖激光催化降解污染物的研究中,使用的光源波長也從紫外和近紫外光區擴大到可見光區,如Gondal等(2012)使用可見光區的白光和綠脈沖激光在催化劑BiOCl的催化作用下降解了染料羅丹明B.
為提高光子利用率,加快平均反應速率,快速高效降解有機污染物,避免常用處理方法的缺點,最終為廢水應急處理提供一種新途徑,本實驗探索了水中有機污染物的脈沖激光催化降解.實驗中以典型二 英類似物2,4,5-TCP作為研究對象,用自制納米金(GNPs)作催化劑,并對其進行透射電鏡表征和催化活性檢測.在課題組前期關于脈沖激光催化降解亞甲基藍(MB)研究的基礎上,研究反應底物2,4,5-TCP在降解MB最優化條件下的初步降解效果,包括單位能量降解率、平均反應速率、反應條件和反應啟動時間等.
2 實驗(Experiment) 2.1 基本原理
根據光催化劑的不同,用于有機化合物的氧化還原反應的光催化原理總體上可分為兩類:半導體電子躍遷而產生的空穴氧化和金屬表面等離子體共振效應而產生電荷偶極化的親核或親電反應.脈沖激光催化降解有機污染物則基于第2種光催化原理.如圖 1所示,納米金顆粒吸收激光器發射的高能光子后,發生表面等離子體共振效應,導帶電子偏離金原子核,發生電荷偶極化,從而一極帶正電,另一極帶負電.帶正電的一極奪取有機化合物的電子而發生氧化反應,帶負電的一極上的電子被電子捕獲劑(如反應體系中的氧氣或其他氧化性化合物)捕獲,發生還原反應,同時使電子捕獲劑活化,然后電子捕獲劑將電子轉移,與水反應生成羥基自由基,氧化分解有機污染物.

圖 1 有機污染物的脈沖激光催化降解機理
2.2 實驗器材 2.2.1 實驗材料
2,4,5-TCP的分子結構式如圖 2所示,其他實驗材料包括亞甲基藍(MB)、30%雙氧水、濃鹽酸、濃硝酸、正己烷、稀鹽酸、氫氧化鈉、檸檬酸鈉和氯金酸.使用的試劑除正己烷為色譜純外,其它均為分析純.所用水為超純水,電阻率為18.2 MΩ·cm.

圖 2 2,4,5-三氯苯酚分子結構式
2.2.2 實驗裝置
脈沖激光催化反應實驗裝置如圖 3所示,主要包括Nd:YAG倍頻激光發生器、激光能量計、分束器和光催化反應器等組成部分.激光器產生的266 nm激光垂直平行照射到光催化反應器中心,并用磁力攪拌器勻速攪拌,實測脈沖激光光斑直徑為9 mm.待測樣品從樣品采集端口取樣分析.

圖 3 脈沖激光催化反應裝置
2.3 實驗方法 2.3.1 檢測方法
使用氣相色譜法(GC)檢測2,4,5-TCP在反應溶液中的含量.將待測樣品與正己烷以體積比為5 ∶ 2混合,振蕩3 min,然后以15000 r · min-1的轉速高速離心混合樣品3 min,4 ℃貯存備用,作為檢測樣品立刻檢測.GC檢測條件:氫氣壓力為0.1 MPa,空氣壓力為0.15 MPa;載氣為0.1 MPa N2,目標溫度為250 ℃,無分流;柱箱目標溫度為100 ℃,保持2 min,然后以15 ℃ · min-1升至250 ℃,保持5 min;采用FID檢測器,檢測器溫度為260 ℃;進樣器溫度為250 ℃,進樣量為0.8 μL · 次-1.
2,4,5-TCP檢測標準曲線的制作:配制濃度分別為100、50、25、12.5和6.25 mg · L-1的2,4,5-TCP水溶液,分別用2 mL正己烷萃取5mL相應濃度的2,4,5-TCP水溶液,并進行GC檢測.由得到的2,4,5-TCP檢測標準曲線可知,2,4,5-TCP濃度與出峰面積呈良好的線性關系,其線性關系方程如下:y1=-1488.9234+639.0946x1(R2=0.9852);其中,y1代表峰面積,x1代表被檢測2,4,5-TCP的濃度,R2為擬合度.經2,4,5-TCP的GC檢測發現,2,4,5-TCP的保留時間在8.41 min左右,除試劑峰外無其它明顯雜峰.
2.3.2 納米金的制備和表征
納米金的制備:將各種所需制備的玻璃儀器用王水(濃HCl ∶ 濃HNO3=3 ∶ 1,V/V)浸泡若干分鐘后,用超純水在超聲條件下清洗干凈,在真空干燥箱中烘干備用;配制5 mL HAuCl4(質量分數0.2%)溶液,加入93 mL超純水,使溶液在油浴(水浴)條件下加熱穩定至100 ℃左右并不斷攪拌;此時迅速加入2 mL檸檬酸鈉(質量分數1%)溶液并不斷攪拌,溶液顏色由淡黃色逐漸變為無色,加熱約2 min后,溶液會出現黑色(可能形成+1價的金),然后又逐漸變為酒紅色;待變酒紅色后,持續加熱15 min,然后撤去熱源,繼續進行攪拌至室溫條件下,加入適量鹽酸,4 ℃貯存備用.若要制備較大的納米金粒子,可以適當調節檸檬酸鈉的用量,但檸檬酸鈉的用量不能低于1 mL,若檸檬酸鈉用量太低,納米金就很容易沉淀.
納米金的透射電鏡掃描:取1.5 mL已制備好的納米金溶膠原液,放入體積為10 mL的小玻璃燒杯中,加適量超純水稀釋,超聲振蕩20 min后,將分散度良好的納米金溶膠滴到銅網上,自然晾干.重復幾次上述操作,最后使用Tecnai G2 F20透射電鏡對自制的納米金樣品進行透射電鏡掃描,并獲取納米金能譜圖.
納米金的光催化性能實驗:在常溫條件下使用266 nm脈沖激光,在脈沖激光電壓為490 V,脈沖激光頻率為10 Hz且無聚焦平行照射條件下對4 mg · L-1的MB進行催化降解實驗,以反應溶液中不含納米金組作為空白對照,每組實驗中的脈沖激光照射時間為30 min,納米金的質量濃度為11.6 mg · L-1,反應體積為5 mL.
2.3.3 納秒脈沖激光催化降解2,4,5-TCP實驗
用266 nm脈沖激光降解2,4,5-TCP,這是因為2,4,5-TCP的最佳吸收波長在289 nm左右,而且納米金在266 nm脈沖激光照射下,其粒子形態基本不受脈沖激光照射的影響,催化性能更加穩定,可用于直接光解和催化降解2,4,5-TCP.
納秒脈沖激光對2,4,5-TCP的降解研究:將5 mL納米金溶液和20 mL 50 mg · L-1 2,4,5-TCP溶液混合,每次用體積為10 mL的光反應器取5 mL混合液進行激光照射,在降解0、10、20、30、40和50 min時取樣,并對反應底物進行GC檢測.選用的脈沖激光條件是266 nm納秒脈沖激光,電壓為590 V,脈沖頻率為10 Hz,平行照射,反應溶液液面底部距激光器的垂直距離為45 cm.采用超純水替代納米金溶液,以不含納米金組作空白對照實驗.
2,4,5-TCP的準一級反應動力學:以納秒脈沖激光照射時間對2,4,5-TCP降解的影響實驗為例,對直接降解和在納米金催化作用下催化降解2,4,5-TCP的降解情況進行準一級動力學方程擬合.
3 實驗結果與討論(Results and discussion) 3.1 納米金的形貌表征
從圖 4可知,被檢測的顆粒為納米金顆粒,出現銅元素的主要原因是以銅網作為透射電鏡的實驗載體,存在的其它元素則有的是因納米金溶膠溶液中含有的雜質所致.從圖 5可知,實驗分別從100、50和10 nm的精度對納米金顆粒進行了透射電鏡掃描.結果發現,納米金顆粒的形態主要呈球狀,粒徑分布均勻,粒徑大小主要在15~20 nm之間.納米金顆粒以金為元素組成,具有對生物和自然生態環境無害的特性,減少了光催化劑的生態環境污染問題.同時,納米金顆粒的理化穩定性降低了納米金顆粒在活化過程中的受損程度,最大限度地保持了其催化活性.

圖 4 納米金能譜圖

圖 5 納米金透射電鏡圖
3.2 納米金的光催化性能表征
在光催化反應器中,因每次實驗前MB都經過充分的吸附,因此,MB的脫色包含直接光解脫色和光催化降解脫色兩部分.在反應時間同為30 min和納秒脈沖激光能量為32.8 MJ的條件下,不含納米金顆粒的MB溶液的脫色率約27.0%,而含納米金顆粒的MB溶液的脫色率約42.7%,比無納米金組的脫色率增加了約15.7%,因此,納米金具有較好的催化性能.
3.3 納秒脈沖激光對2,4,5-TCP的光催化降解
由圖 6可知,266 nm脈沖激光可以立即直接或在納米金的催化作用下催化降解2,4,5-TCP,基本無需反應啟動時間.在含納米金實驗組中,光照反應40 min后2,4,5-TCP的降解速率約為零,此時最高降解率約為85%,經計算得知,2,4,5-TCP的單位能量降解率約為0.18256% · J-1;在不含納米金實驗組中,光照反應15 min后2,4,5-TCP的降解速率約為零,此時最高降解率約為60%.比較以上兩組實驗中的2,4,5-TCP降解率可知,納米金可以促進2,4,5-TCP的降解,此條件下的降解率增加約25%.

圖 6 2,4,5-TCP的直接光降解和催化光降解比較
整個反應均在常溫常壓條件下進行,全部過程幾乎無熱效應,減少了光子能量損耗,提高了光子利用效率,同時無需普通光源催化降解污染物時所需的循環冷卻系統,簡化了光催化反應器的設計建造難度.
也正是由于納米金對2,4,5-TCP的吸附和催化作用,使2,4,5-TCP的降解程度比無納米金組的降解程度高,起到了促進光催化的作用.但因不含納米金實驗組中無納米金顆粒對脈沖激光的散射作用,因此,使得2,4,5-TCP的降解平均反應速率在光反應達到穩定前比含納米金組高,而且在降解程度一定的條件下,高降解平均反應速率會促使反應提前達到穩定狀態,即出現無納米金組提前達到反應穩定狀態的現象.
3.4 2,4,5-TCP的光催化降解動力學
擬合結果如圖 7所示,在含和不含納米金實驗組的反應達到穩定前,經過降解反應的動力學方程擬合得知(圖 7),2,4,5-TCP的脈沖激光降解反應均符合準一級反應動力學過程,動力學方程分別為:y2=-0.1141+0.04667x2(R2=0.9483)和y3=0.03734+0.06049x3(R2=0.9840);其中,x2和x3均代表光照時間,y2和y3分別代表含納米金和不含納米金組的ln(C0/Ct)值.含納米金組中,2,4,5-TCP的平均反應速率約為0.04667 min-1.

圖 7 2,4,5-TCP的準一級動力學反應
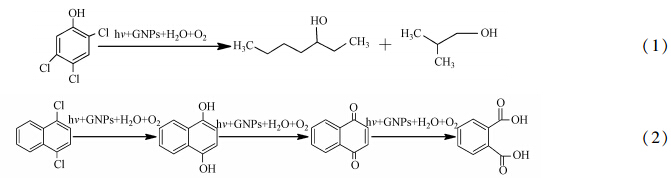
3.5 2,4,5-TCP的降解中間產物及反應途徑和活性物種測定
在激光催化降解2,4,5-TCP反應后進行的氣相色譜成分分析檢測中,除正己烷的試劑峰和2,4,5-TCP的峰出現之外,未再出現其它明顯的峰,由此推測反應過程中中間產物被激光催化分解的速度是快速的.鑒于光催化劑不同產生的兩種光催化原理,其相同結果是因為產生了具有氧化性的活性物質或者結構對有機污染物的氧化還原過程基本相同,課題組根據TiO2/UV/H2O2光催化分解2,4,5-TCP的機理研究,對激光催化降解2,4,5-TCP的機理作如反應(1)和(2)的推測.反應活性物種為羥基自由基,2,4,5-TCP最終被氧化還原為二氧化碳和含氯的小分子化合物.
具體參見污水寶商城資料或http://www.bnynw.com更多相關技術文檔。
4 結論(Conclusions)
對納米金在脈沖激光照射條件下的光催化降解過程進行了研究,即通過激發表面等離子體過程中發生的親核和親電反應,氧化還原有機污染物,對2,4,5-TCP進行降解,生成二氧化碳和含氯小分子化合物.結果發現,在2,4,5-TCP濃度為50 mg · L-1,納米金質量濃度為11.6 mg · L-1,脈沖激光能量為19.4 MJ,納秒脈沖激光波長為266 nm,電壓為590 V,脈沖頻率為10 Hz,無聚焦平行照射條件下,光催化反應40 min后的2,4,5-TCP最高降解率約為85%;整個降解過程符合準一級動力學方程:y3=-0.1141+0.04667x3(R2=0.9483);反應啟動時間極短,平均反應速率為0.04667 min-1,單位能量降解率約為0.18256%· J-1.


