1、1,4-二氯苯(p-DCB)是一種應用廣泛、對環境毒性高且難以降解的有機化合物,它主要用于防蛀劑、防霉劑和除臭劑生產,也是生產聚苯硫醚的主要化工原料.p-DCB能在水生生物中發生生物蓄積,是潛在的環境和食物污染源,可對人體產生嚴重的“三致效應”.因此,如何有效降解1,4-二氯苯成為研究治理有機污染物的難點. 目前處理難降解有機污染物主要有吸附法、化學氧化法、生物法、電催化氧化等方法,其中電催化氧化法因其具有能產生高氧化能力的羥基自由基,對有機污染物降解較為徹底,很少或一般不產生二次污染,反應條件溫和,可控性強等優點而得到廣泛應用.電極材料是電催化氧化的“核心”,因此,選擇合適的電極材料對有機污染物的降解有著重要的意義.以鈦為基體摻Sb的SnO2電極,因其析氧電位高,催化能力強等特點,在電催化氧化處理難降解有機廢水中得到廣大學者的關注.然而Ti/SnO2-Sb電極穩定性較差,限制了該電極的推廣使用.針對這一問題,學者們提出了摻雜其他元素和增加中間層等方法來提高Ti/SnO2-Sb電極的穩定性,但研究大多集中在摻雜稀土元素、貴金屬,而對于采用非貴金屬摻雜改性的研究探討相對較少.
本文采用聚合物前驅體法制備了Ti/SnO2-Sb電極及3種非貴金屬摻雜復合電極,分析改性前后Ti/SnO2-Sb電極形貌和結構變化,考察改性前后不同電極對1,4-二氯苯廢水電催化氧化降解效果的影響,旨在對該類廢水的有效處理進行探究,提供新的技術方法.
2 實驗部分
2.1 試劑、材料與儀器
試劑:草酸、對二氯苯、乙二醇、檸檬酸、結晶四氯化錫、三氯化銻、硝酸銅、硝酸鎳、硝酸鉍、氫氧化鈉等,均為分析純.
材料:自制電解槽,有機玻璃材質,尺寸為80 mm×100 mm×100 mm;鈦板,深圳市歐帝富金屬材料有限公司,尺寸為40 mm×50 mm×1 mm;石墨板,海門市曙光碳業有限公司,尺寸為40 mm×50 mm×1 mm.
儀器:MPS-3303直流電源,深圳市麥威儀器有限公司;78-1型磁力加熱攪拌器,江蘇省金壇市金城國勝試驗儀器廠; HH-6型數顯恒溫水浴鍋,金壇市白塔新寶儀器廠;EVO-18型掃描電鏡,德國蔡司公司;X′pert PRO型X射線衍射儀,荷蘭帕納科公司;CHI 760C電化學工作站,上海辰華儀器公司;Agilent 1260型高效液相色譜儀,安捷倫科技有限公司.
2.2 實驗過程
2.2.1 電極制備
以鈦板為基體,將其先后用80目和320目的砂紙打磨,去除表面的氧化層及雜質,用蒸餾水沖凈后置于40% NaOH溶液中,水浴80 ℃下浸泡除油.取出洗凈后浸入質量分數為10%的草酸溶液中,加熱煮沸3 h,經草酸刻蝕過的鈦板呈均勻灰色麻面,然后用蒸餾水沖洗鈦基體表面殘存的草酸及草酸鈦,100 Hz條件下超聲10 min,清洗后放入1%的草酸溶液中保存待用.
采用聚合物前驅體法制備改性電極:在65 ℃水浴攪拌下,使乙二醇和檸檬酸反應制得乙二醇檸檬酸酯,加入一定量的結晶四氯化錫(SnCl4·5H2O)和三氯化銻(SbCl3),并升溫至90 ℃促進螯合和凝酯化,再加入金屬硝酸鹽至充分溶解,將混合液在80 Hz下超聲20 min,即制得涂層溶液.最后,將涂液均勻涂覆在鈦基體上,于130 ℃的烘箱中烘10 min,隨后轉入600 ℃的馬弗爐焙燒10 min,取出冷卻后再進行下一次的涂覆、烘干、焙燒,如此反復數次,最后1次焙燒1 h并隨爐冷卻.
2.2.2 電極結構表征
利用掃描電子顯微鏡(SEM)觀察電極表面涂層形貌;利用X射線衍射儀(XRD)對所制備的電極進行結構分析,確定涂層物相.
2.2.3 電化學性能測試
利用CHI 760C電化學工作站測試電極的電化學性能,根據極化曲線考察摻雜不同金屬對Ti/SnO2-Sb電極析氧電位的影響,用恒電位下的電流-時間曲線反映電極的穩定性,以循環伏安曲線考察電極催化性能.采用三電極體系:制備電極為工作電極、純鈦板為輔助電極、飽和甘汞電極為參比電極,在常溫25 ℃條件下,測定其在0.5 mol · L-1硫酸鈉溶液中的極化曲線,在恒電位(1 V)下測定電流與時間的關系曲線,并在0.5 mol · L-1 Na2SO4溶液和0.5 mol · L-1 Na2SO4+100 mg · L-1 1,4-二氯苯溶液中對改性Ti/SnO2-Sb電極進行循環伏安測試.
2.2.4 電催化降解實驗
在自制電解槽中,以1,4-二氯苯為目標降解物,加入濃度為100 mg · L-1的廢水,同時添加3.55 g的Na2SO4作為支持電解質,以摻雜不同金屬的Ti/SnO2-Sb電極作陽極,石墨作陰極,通過磁力攪拌裝置控制一定的攪拌速率,恒定電壓為15 V,板間距1 cm,分別測定不同時間1,4-二氯苯的降解情況.1,4-二氯苯的測定采用高效液相色譜法.
3 結果與討論
3.1 電極表面形貌分析
不同金屬摻雜Ti/SnO2-Sb電極表面形貌如圖 1所示,放大倍數是5000倍.從圖 1中并未看到各電極有明顯的“龜裂”現象,說明涂層能夠很好覆蓋鈦基體.電極表面裂縫的減少可以避免電極在電解過程中產生新生態的氧向鈦基體擴散,生成高阻抗的TiO2,繼而影響電極的氧化性能,縮短電極壽命.另外,圖中所有電極表面均不平整,有許多不規則的凸起與凹陷,其中摻雜Cu和Ni的電極表面呈“蜂窩狀”結構.這種表面細小蜂窩狀的小孔結構使電極擁有更大的比表面積,同時增加催化活性點位數.因此,摻雜金屬能改善電極表面形貌,提高催化活性.

圖1 摻雜不同金屬Ti/SnO2-Sb電極SEM圖
3.2 電極晶體結構分析
對所制備電極進行XRD分析.從圖 2數據可見,所有電極的X衍射峰的位置跟四方形金紅石型的SnO2晶體結構的標準卡片(00-041-1445)的峰數據基本一致,并未檢測到Sb及摻雜金屬相應氧化物的衍射峰,表明金屬摻雜并沒有改變SnO2晶體結構.這可能是因為金屬離子進入SnO2的晶格中取代了晶格中Sn4+的部分位置,以金屬氧化物的形式固溶到SnO2的晶格中,因而在XRD中Sb及摻雜的金屬沒有以單獨的氧化物形式存在.但是摻雜金屬后電極的X射線衍射峰位置發生了微小偏移,主要由于金屬離子與被替代的Sn4+之間離子半徑存在差異,以及金屬離子加入后出現的氧空穴而造成晶格缺陷.

圖2 摻雜不同金屬Ti/SnO2-Sb電極XRD圖
同時從所有電極的XRD圖譜中也沒有發現有鈦基體的特征峰出現,說明所制備電極的表面已經 完全被二氧化錫微粒所覆蓋.這樣的結構避免電解 過程中產生的氧滲透到鈦基體,改變其界面的張力,造成活性涂層的脫落,影響電極的催化活性.
通過XRD分析軟件(X′Pert highscore plus)對數據進行分析得到各電極的晶胞參數見表 1,分析表中數據發現,對Ti/SnO2-Sb電極進行金屬摻雜改性后,晶胞參數發生改變,主要體現在晶胞體積的增大或減小,這是由于各金屬離子成鍵半徑不同,當金屬離子以固溶或者類質同相的形式取代Sn4+進入SnO2晶格內部,必然引起金屬氧鍵的鍵長發生變化,從而造成晶胞參數的改變.XRD圖譜和晶胞參數等數據表明,通過金屬摻雜改性使金屬離子進入到SnO2晶格中,其中,Cu和Ni以其p型半導體的性質形成了空穴點位,使電極表面形成較為密集的蜂窩狀,微觀結構(圖 1)中也觀察到電極無裂縫且蜂窩狀結構分布均勻,這樣的結構可以增加電極的活性點位而提高電催化性能;而Bi則為n型半導體,與SnO2有著相似的性質,進入SnO2晶格后主要通過增加自由電子的濃度來達到增強導電能力的效果.
表1 各電極晶胞參數對比
3.3 電化學性能分析
3.3.1 陽極極化曲線分析
電極的析氧電位是影響有機物電化學降解效率的重要因素,有機物在陽極發生氧化的同時,伴隨著析氧副反應.析氧反應的發生主要是因為電極表面吸附的· OH和轉移到晶格內的O不穩定,除了可與有機物發生反應外,還可能以O2的形式釋放.當析氧電位低時,通過的電流大部分用于氧氣的析出,導致有機物降解效率降低;當析氧電位高時,氧氣難于析出,有機物在陽極直接被氧化降解的概率就會增加.因此,較高的析氧電位是催化電極的一個重要指標.

圖3 電極的析氧極化曲線
圖 3為所制備電極在0.5 mol · L-1Na2SO4溶液中的陽極極化曲線.圖中數據表明,4個電極的析氧電位都在1.7 V(vs.SCE)以上,均處于較高的析氧電位,高析氧電位能抑制氧氣的析出,提高電極的催化活性和電流效率.但是,金屬摻雜后電極的析氧電位并沒有明顯改變,這可能是金屬摻量和焙燒溫度綜合影響的結果.
3.3.2 電流與時間關系分析
圖 4是4種改性電極在恒電位1.0 V下的電流-時間曲線,在1.0 V下,不會有析氧反應發生,氧化電流歸因于電極材料的氧化.圖中0 min的較大電流是由于電極的雙層充電所致;在恒電位氧化400 min內,四種電極的氧化電流基本恒定,摻雜Cu、摻雜Bi、摻雜Ni氧化電流相近,明顯低于未摻雜電極氧化電流,這表明改性電極氧化速度比未改性的要小,可以推測改性電極性能衰減會更慢,具有較高的穩定性.

圖4 電流-時間曲線
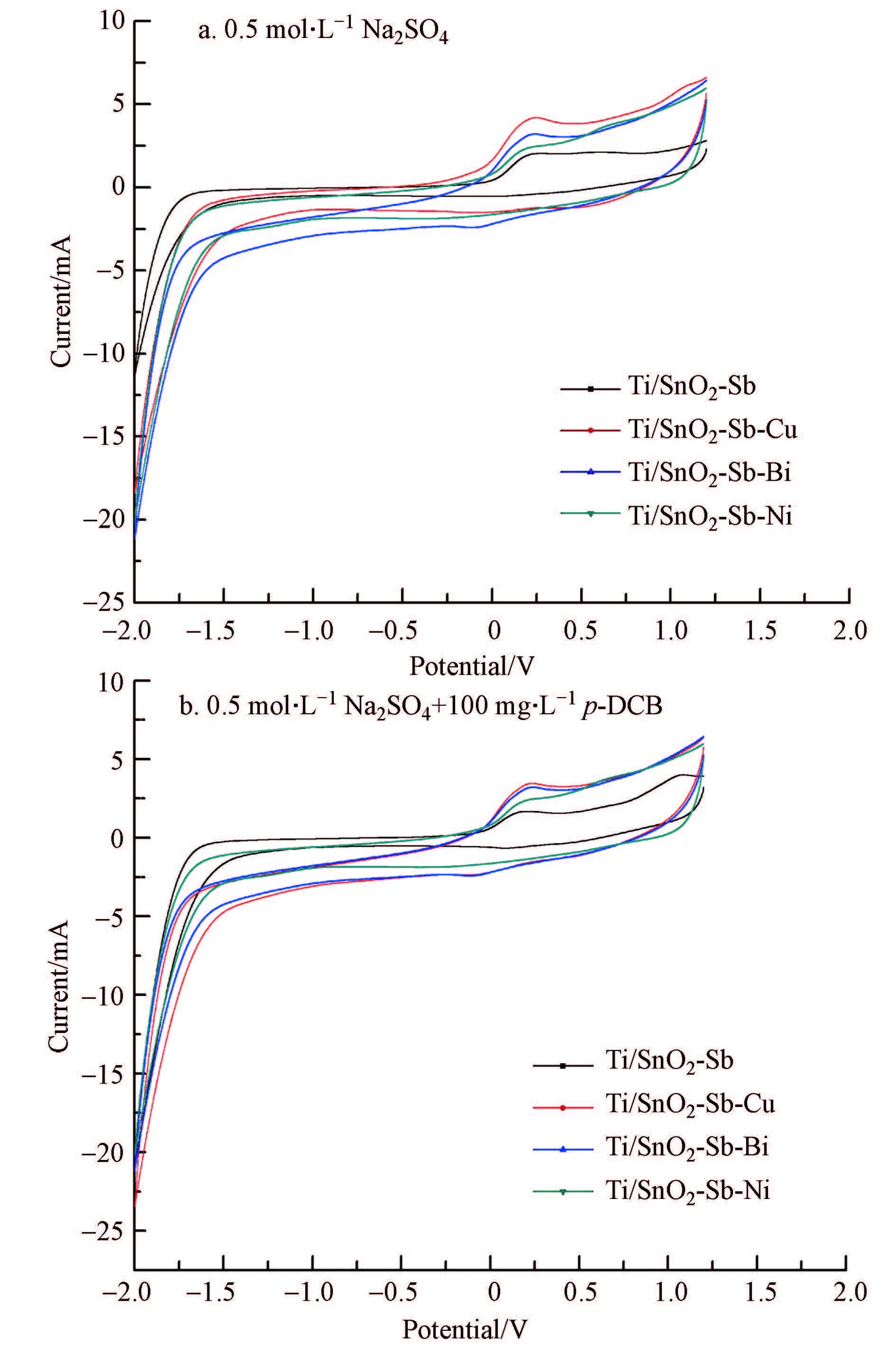
3.3.3 循環伏安曲線分析
實驗分別在0.5 mol · L-1 Na2SO4溶液和0.5 mol · L-1 Na2SO4+100 mg · L-1 p-DCB溶液中對未摻雜、摻雜Cu、摻雜Bi、摻雜Ni 4種Ti/SnO2-Sb電極進行了循環伏安測試,測試結果見圖 5.對比0.5 mol · L-1 Na2SO4溶液中4種不同電極的循環伏安曲線,其形狀幾乎相同,說明四種電極在溶液中具有相似的電化學行為.在+0.3 V(vs.SCE)附近,4條曲線都出現了一個共同的氧化峰,但是其峰電流值不同,峰電流值高有利于· OH等的生成,使其具有更高的催化活性.四種電極峰電流值大。篢i/SnO2-Sb-Cu>Ti/SnO2-Sb-Nitalic>Ti/SnO2-Sb-Bitalic>Ti/SnO2-Sb,可知摻雜Cu的改性電極具有最優的催化活性.與圖 5a相比,圖 5b中未有明顯的氧化峰出現,這表明p-DCB在改性電極上直接氧化不顯著,而是通過間接氧化被降解的,改性電極生成的· OH等自由基具有極強的氧化能力,能夠迅速氧化降解有機物,使得電極對p-DCB有較高的電催化氧化能力.

圖5 不同改性電極的循環伏安曲線
3.4 1,4-二氯苯的電催化降解分析
3.4.1 不同電極對p-DCB的降解
以石墨為陰極,自制電極為陽極,在電壓15 V,板間距1 cm的條件下進行電催化降解實驗.發現4種電極均能降解p-DCB,但是改性后的Ti/SnO2-Sb電極對p-DCB的降解效果更好,說明摻雜金屬能提高電極的催化性能.這是由于SnO2具有電子型半導體的特性,這類半導體的自由電子濃度遠大于空穴濃度,適當的摻雜金屬元素可增加自由電子的濃度,并在提供電子的同時在半導體材料中形成半導體能帶,在SnO2內層導體中引入深能級雜質能帶,為電子的傳輸提供一個能級較低的通道,有利于進一步改善電極材料的導電性能.
如圖 6所示,各電極反應開始階段p-DCB的去除率上升較快,特別是Ti/SnO2-Sb-Cu電極,在電解30 min后,對p-DCB的去除率達到了68.3%,摻Bi和摻Ni電極對p-DCB降解率分別為32.4%和45.7%,而未摻雜的Ti/SnO2-Sb電極對p-DCB的去除率只有26.6%.4種不同電極對p-DCB的降解能力與3.3.3節中循環伏安測試得出的電極催化活性順序一致.隨著反應時間的延長,p-DCB去除率趨勢逐漸變緩,這是因為在電解剛開始時,p-DCB的濃度較高,溶液和電極表面存在較高的濃度梯度,傳質作用較強,因此各電極上p-DCB降解速率很快,但是隨著反應的進行,體系中p-DCB濃度已經大大降低,同時體系中產生的中間產物對p-DCB降解也有一定的競爭作用,所以p-DCB在各電極上的去除率隨電解時間的延長逐漸減慢.

圖6 不同電極對1,4-二氯苯的降解曲線
3.4.2 p-DCB降解機理初探
有機物在金屬氧化物陽極表面的降解機理可分為兩類:一類是直接氧化,即有機物吸附在電極表面通過電子轉移而發生的氧化反應;一類是間接氧化,即利用電化學反應過程中產生的有活性的中間產物(· OH等)氧化有機物.在實際電化學反應體系中,兩者并沒有明顯的界限,一般都是同時進行的.
NaHCO3作為水中羥基自由基的清除劑,可以阻止· OH對p-DCB的氧化,使p-DCB的降解率降低;反應體系中產生的· OH越多,碳酸氫鈉的阻滯作用就越強.從循環伏安測試得出p-DCB在改性電極上直接氧化不顯著,為了進一步探究改性Ti/SnO2-Sb電極對p-DCB的降解是哪種機制起主要作用,通過向反應體系中加入一定量的NaHCO3進行驗證,結果如圖 7所示.圖中顯示,電解持續2 h后,加NaHCO3的體系中p-DCB的去除率只有52%,比未加NaHCO3的條件下低了35.6%,可見加入NaHCO3后(體系中的· OH降低),p-DCB的去除率大幅降低,間接說明改性Ti/SnO2-Sb電極對p-DCB的降解主要是羥基自由基起作用,即間接氧化.

圖7 碳酸氫鈉對P-DCB降解效果的影響
3.4.3 動力學方程
在電解過程中,Ti/SnO2-Sb電極對p-DCB的降解主要是電催化反應過程產生氧化能力極強的· OH與有機物作用,將其氧化降解,根據絕對速率理論,可用下式表示有機污染物的反應動力學方程:-ln(Ct/C0)=kt;式中C0和Ct分別為p-DCB的初始濃度和降解時間為t時刻時溶液中p-DCB的濃度,k為一級反應速率常數.對實驗數據進行模型擬合(圖 8),擬合的相關系數均大于0.95,說明在研究范圍內p-DCB在各電極上的降解過程均遵循一級反應動力學規律,得到各電極的動力學參數見表 2.

圖8 動力學模型擬合
表2 各電極的動力學參數
反應速率常數越大說明有機物的降解速率越快,從表中可以看出在相同條件下,p-DCB在各電極上的反應速率常數由大到小依次為KTi/SnO2-Sb-Cu,KTi/SnO2-Sb-Ni,KTi/SnO2-Sb-Bi,KTi/SnO2-Sb.因此p-DCB在Ti/SnO2-Sb-Cu電極上的降解速率最快,在Ti/SnO2-Sb電極上的降解速率最慢,可見金屬元素的摻雜對p-DCB的降解起到了促進作用.
4 結論
1)通過摻雜Cu,Bi,Ni 3種非貴金屬對Ti/SnO2-Sb電極進行改性.摻雜金屬后電極表面形貌有所改善,表面呈現無數細小蜂窩狀小孔結構,不僅增大電極的比表面積,而且增加活性點位數,提高其電催化活性。具體參見污水寶商城資料或http://www.bnynw.com更多相關技術文檔。
2)對各電極進行電化學性能測試得出:各電極的析氧電位均在1.7 V(vs.SCE)以上,處于較高的析氧電位,具有較高催化活性和電流效率;循環伏安測試發現摻雜Cu的改性電極具有最優的催化活性;電極的電流-時間曲線表明,4種電極的氧化電流基本恒定,金屬摻雜改性后電極氧化電流明顯低于未摻雜電極,說明改性電極具有較高的穩定性.
3)對p-DCB的電催化降解實驗表明,與未改性的Ti/SnO2-Sb電極相比,摻雜金屬改性后的電極對p-DCB的降解效果更好,尤其是Ti/SnO2-Sb-Cu電極電催化性能最好,對p-DCB的降解效率也最高,電解2 h后p-DCB的去除率達到87.6%.
4)通過對比加入羥基自由基清除劑前后的p-DCB降解效果,說明改性Ti/SnO2-Sb電極對p-DCB的降解主要是電化學反應過程中產生強氧化能力· OH的間接氧化作用,且p-DCB的降解過程符合一級動力學方程.




