鋅是我國重要的有色金屬礦產之一,中國長期對鋅資源的高強度開發,鋅消費量顯著增加,資源優勢已逐漸弱化.美國、日本以及歐洲各國均十分重視從含鋅廢料中回收利用鋅的研究,目前再生鋅幾乎占全球鋅總產量的三成以上.我國再生鋅產業起步晚,再生鋅產業仍有很大的發展潛力.世界上鋅的全部消費中約有一半用于鍍鋅,通常電鍍含鋅廢水pH值約為4~5,廢水中鋅的濃度一般為25~800 mg · L-1,如何再生利用各種含鋅的二次資源,實現電鍍含鋅廢水的資源化具有十分重要的意義.
溶劑萃取法是一種低成本回收有色金屬的有效技術,通過萃取和反萃取可得到富集濃縮的含鋅溶液,有利于進一步回收利用金屬鋅.前期研究表明利用二壬基萘磺酸(簡稱DNNSA或HD)反膠團溶液萃取回收含鋅電鍍廢水中的鋅是可行的,通過萃取和反萃取可得到富集濃縮的含鋅溶液,有利于進一步回收利用金屬鋅,實現無渣工藝,減少環境污染,且該方法易實現規模化和連續操作,易與其他分離技術相耦合;DNNSA無需皂化,且萃取過程中受水相pH影響較小,在酸性條件下仍能有效萃取酸性廢水中的鋅.
目前國內外反膠團萃取主要研究方向為提取生化物質,且工藝條件優化研究居多,將反膠團萃取應用于重金屬廢水資源化的研究較少.為了更深入了解DNNSA反膠團萃取鋅的機理,進一步判定DNNSA反膠團溶液萃取鋅的動力學特性,故對DNNSA反膠團溶液萃取電鍍廢水中鋅的動力學進行了研究.
萃取過程動力學位于多相體系的物理化學、流體力學及兩相間的質量傳遞的交叉處,恒界面池是應用最廣泛的萃取動力學研究實驗裝置.恒界面池可通過調節兩相攪拌速率消除擴散影響,在兩相界面狀態穩定的情況下,測定被萃物質濃度與時間的變化關系,得到萃取速率.根據萃取速率與攪拌速率、溫度、萃取劑濃度、被萃物濃度的關系,便可確定萃取過程控制模式及萃取速率方程.恒界面池使用簡單,易實現連續測定和自動控制,研究結果正確可靠.
本文采用恒界面池對DNNSA反膠團溶液萃取鋅的動力學進行了研究,以確定該體系萃取鋅的動力學控制類型,探討DNNSA反膠團萃取鋅的機理,為有效控制和強化萃取過程,設計萃取設備提供基礎理論數據.
2 實驗部分(Experimental section) 2.1 主要實驗試劑和儀器
所用試劑主要有二壬基萘磺酸(蘇州化工廠)、煤油(成都石油化工科技有限公司)、ZnSO4·7H2O(成都科龍化工廠)等,除二壬基萘磺酸和煤油外,其余均為分析純.
實驗儀器主要有賽曼火焰原子吸收分光光度計(GGX-6,北京海光儀器公司)、智能水份滴定儀(ZSD-2J,上海安亭儀器廠)、透射電鏡(H-800,日本日立)、廣角激光光散射儀(BI-200SM,美國布魯克海文儀器公司).
2.2 實驗裝置和實驗方法
自制恒界面池(圖 1)裝置的主要部件為一玻璃反應器,操作溫度通過恒溫槽控制.采用聚四氟乙烯制成的攪拌漿,轉速可調.有機相和水相之間有界面環,兩相接觸界面積可通過選擇不同直徑的界面環進行調節.恒界面池中設有水相取樣管,取樣引起的體積變化小于3%.

圖 1 恒界面池結構簡圖
實驗時,先將所需水相加入恒界面池恒溫至所需溫度,然后小心加入相同體積和溫度的有機相,同時啟動兩相攪拌器,核定轉速、計時.采用火焰原子吸收分光光度法測定分析不同時刻水相中Zn2+濃度(張嫦和胡蓉,1997),有機相中Zn2+濃度通過物料衡算求得.
2.3 實驗數據處理
萃取速率反應萃取進行的快慢,一般用單位時間內被萃取物質濃度的變化來表示,實際萃取過程中,萃取時段一般在萃取初始階段,此時金屬離子濃度隨時間變化呈線性關系,故本文主要研究萃取初始階段的萃取動力學,此時金屬鋅離子濃度隨時間變化呈線性關系,此直線斜率即為該萃取過程線性段的萃取速率R0(余靜等,2014),表示為:

其中,R0為線性段萃取反應速率(mol · cm-2 · s-1);c(Zn2+)(o)為有機相鋅離子濃度(mol · L-1);c(Zn2+)(aq)為水相鋅離子濃度(mol · L-1).S為兩相接觸界面積(cm2);Vo為有機相體積(mL);Vaq為水相體積(mL).
3 結果與討論(Results and discussion) 3.1 擴散阻力區的確定
考察3種不同攪拌條件對鋅萃取速率的影響:僅有機相攪拌(200 r · min-1 / 0 r · min-1)、僅水相攪拌(0 r · min-1 / 200 r · min-1)和兩相同時攪拌(200 r · min-1 / 200 r · min-1).
由圖 2可見,僅有機相攪拌時,水相鋅離子濃度隨時間變化不明顯,而僅水相攪拌和兩相攪拌時水相鋅離子濃度隨時間而明顯下降,且兩者下降速率接近,這說明水相傳質阻力遠大于油相傳質阻力,故可判斷萃取反應不在有機相進行.萃取過程中由于帶電荷的水合金屬離子不可能存在于非極性的有機相主體中,金屬離子的萃取反應都發生在界面及其附近的區域中,因此該萃取過程中萃合物生成反應只可能發生在水相一側.

圖 2 擴散阻力區的確定
3.2 兩相攪拌速率對萃取速率的影響
攪拌速率分別為100、150、180、200、230 r · min-1,考察兩相攪拌速率對鋅萃取速率的影響.
萃取過程的控制類型包括擴散控制、化學反應控制或混合控制模式.當萃取速率隨攪拌速率加快而不斷增加時,萃取過程屬于擴散控制;當攪拌速率繼續增大,萃取速率出現一個與轉速無關的區域(稱為“坪區”),則可認為是化學反應控制.應用恒界面池研究萃取動力學時,攪拌速率對萃取速率的影響是判斷動力學過程控制類型的重要依據之一.由圖 3可見,當攪拌速率低于200 r · min-1時,萃取速率隨攪拌速率的增加直線上升,此階段屬于擴散控制;當轉速高于200 r · min-1后,萃取速率不再隨之增加而急劇增加,進入“動力學坪區”,說明此時萃取過程屬于化學反應控制.

圖 3 兩相攪拌速率對萃取速率的影響
實驗條件下,當轉速N=200 r · min-1時,由攪拌雷諾數公式

3.3 兩相接觸界面積對萃取速率的影響
分別改變兩相接觸界面積(S)為6.56、12.06、15.40、22.40 cm2,考察界面積對鋅離子萃取速率的影響.從圖 4可見,兩相接觸面積的改變對鋅萃取速率的影響極小,這表明該萃取過程并非為界面化學反應控制,而是屬于水相內化學反應控制過程.

圖 4 界面積對萃取速率的影響
3.4 宏觀動力學方程的確定
實驗條件下有機相中萃合物的濃度很低,萃取反應遠離平衡,逆反應可忽略,金屬萃取過程的動力學取決于反應區的反應物濃度.根據質量作用定律,萃取速率方程可寫為:
其中R0為萃取反應速率(mol · cm-2 · s-1);k為反應速率常數(cm4 · mol-1 · min-1);α、β為反應分級數;c(HD)(o)為有機相DNNSA濃度(mol · L-1);c(Zn2+)(aq)為水相鋅離子濃度(mol · L-1).
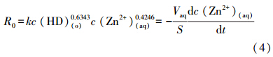
用孤立變量法可求得α、β.實驗結果如圖 5和圖 6所示,直線斜率即為α、β(劉彬和盧榮,2009).由圖 5和圖 6可分別得到α≈0.6343,β≈0.4246.將α≈0.6343,β≈0.4246,帶入式(2)得到DNNSA反膠團溶液萃取廢水中鋅的宏觀動力學方程:
其中,R0為萃取反應速率(mol · cm-2 · s-1);k為反應速率常數(cm4 · mol-1 · min-1);c(HD)(o)為有機相DNNSA濃度(mol · L-1);c(Zn2+)(aq)為水相鋅離子濃度(mol · L-1).

圖 5 有機相HD濃度對萃取速率的影響

圖 6 水相鋅離子對萃取速率的影響
反應級數越大,則濃度對反應速率影響越大,上述實驗結果表明鋅離子濃度和萃取劑濃度在實驗條件下對萃取反應速率影響較大.
由式(1)和(3)可得:

式中,R0為萃取反應速率(mol · cm-2 · s-1);k為反應速率常數(cm4 · mol-1 · min-1);c(HD)(o)為有機相DNNSA濃度(mol · L-1);c(Zn2+)(aq)為水相鋅離子濃度(mol · L-1);S為兩相接觸界面積(cm2);Vaq為水相體積(mL).
實驗條件下,由于DNNSA量大大超過水相中鋅離子量,故整個實驗過程中可視為萃取劑濃度不變,由式(4)可得



圖 7 Δc與時間的關系圖

圖 8 lnk與T-1 關系圖
一般認為萃取反應活化能大于20.9 kJ · mol-1時,為化學反應控制(Yang et al., 2015),該萃取過程較大的表觀活化能數據也證實過程為化學反應控制.DNNSA反膠團萃取酸性廢水中鋅離子的宏觀萃取動力學方程為:

其中,R0為萃取反應速率(mol · cm-2 · s-1);c(HD)(o)為有機相DNNSA濃度(mol · L-1);c(Zn2+)(aq)為水相鋅離子濃度(mol · L-1);T為萃取溫度(K).
3.5 DNNSA反膠團萃取鋅的機理初探
前已述及,在本實驗條件下DNNSA反膠團萃取廢水中鋅離子的速率控制步驟為水相內化學反應,大多數萃取過程屬于界面化學反應控制,且只有極少數屬于相內反應或混合控制過程.
DNSNA為有機磺酸類萃取劑,具有兩親性,易于吸附在油水兩相界面上,分子結構中極性較強的磺酸基在界面的水相一側產生電離雙電層;而DNNSA臨界膠團濃度(CMC)為10-5,DNNSA 在煤油中的團聚數為8,作為萃取劑時常以反膠團形式存在.
雖然萃取劑DNNSA在界面上的富集使反應有利于界面上進行,但是界面上的分子的活度和反應活性又可能比主體溶液中低,同時由于DNNSA在水相中的溶解度、待萃取的水相中水合鋅離子的穩定性以及萃合物生成的反應速度的影響,故使得萃取反應發生的區域有可能可從界面向水相內移動.該萃取動力學過程可能為:
(1)反膠團體系處于一種動力學平衡狀態,相互之間不斷碰撞且經常交換內核所含物質,這些交換通常發生在10-3s的時間范圍內,而碰撞發生10-6s的時間范圍內,反膠團間交換物質非常頻繁.當反膠團與油水界面接觸可能發生粘性碰撞,使得反膠團在界面處凹陷開孔(圖 9).

圖 9 鋅離子從水相到反膠團內水相的物質傳遞示意圖
(2)在實驗條件下,兩相主體傳質效率較高,由于反膠團在界面處凹陷,使得內水相和水相主體相連,水相主體的鋅離子與DNNSA發生陽離子交換反應,此步驟為速率控制步驟,其反應速率與界面積大小無關,單位時間內降低的鋅離子濃度即為該陽離子交換反應的反應速率:
(3)負載的反膠團離開油水界面,擴散進入有機相主體.
前期研究結果亦證實,被萃取的鋅離子確實不是靠溶解這種物理作用進入有機相,而是與反膠團發生陽離子交換形成磺酸鹽,增溶進入了反膠團內水相.
為進一步驗證上述推論,實驗對萃取后負載金屬的DNNSA反膠團溶液進行透射電鏡(TEM)分析.圖 10為負載金屬離子的DNNSA反膠團溶液的透射電鏡(TEM)表征結果.

圖 10 負載DNNSA反膠團TEM圖
DNNSA反膠團具有熱力學穩定結構,宏觀上是水、煤油和DNNSA的均勻混合體,而在微觀上是形成一種薄膜(即DNNSA的單分子膜),隔離開互不兼容的液體(即內水相和油相主體),形成次級相結構.而TEM可以提供高分辨率的影像和抓拍任何共存結構狀態和微結構的過渡態,TEM已成為廣泛使用的表征微乳相結構的直接工具.
圖 10的TEM影像證實:DNNSA分子在煤油中聚集可自組裝形成不同形狀的反膠團(圖 10 a和b),被萃取的金屬離子確實進入反膠團的內水相(圖 10 a中小黑點即為被萃取的金屬離子);由圖 10還可見,被萃金屬離子所在內水相存在清晰的界面,這是由于DNNSA反膠團屬于油包水(W/O)型微乳相,細小的水相顆粒分散于油相中,水相表面覆蓋一層DNNSA單分子膜,分子的非極性端朝向油相,極性端朝向水相,故該W/O型微乳相可和多余油相共存.由圖 10的TEM照片可估計,負載金屬離子的反膠團大小約為200~400 nm.
通常,決定反膠團結構大小的一個重要參數是“水池”(內水相)中溶入的水與表面活性劑的摩爾濃度之比W0.根據實驗所得宏觀動力學方程可知,增加萃取劑DNNSA的濃度有利于萃取,但是如果反膠團形態不穩定,隨著萃取劑濃度增加,膠團界面可能會被破壞,從而導致滲濾現象,導致萃取率下降,對萃取不利.因此對不同濃度的DNNSA煤油溶液萃取后的含水質量百分率(XH2O)進行測定(表 1).
表 1 DNNSA濃度對反膠團含水量的影響
從表 1可以看出,不同濃度DNNSA反膠團萃取后,W0受DNNSA濃度的影響均很小,基本上為一常數.說明負載金屬離子的DNNSA反膠團的粒徑不隨DNNSA濃度而變化,粒徑基本保持不變,反膠團形態穩定.
為進一步驗證,采用BI-200SM廣角激光光散射儀對負載金屬的0.5 mol · L-1 DNNSA反膠團溶液的粒徑進行了測定(表 2),測試結果表明萃取后DNNSA反膠團粒徑約為357.4 nm,該結論也與上述TEM實驗結果相吻合.
| STOPPED | - | A CR(avg.) | 168 kcps |
| Elapsed Time | 00:02:00 | Eff Dia | 357.4nm |
| Base Diff | 0.133% | Poly | 0.128 |
注: 1. Elapsed Time:定義測量時間; 2. A CR(avg.):平均光強,CR指content rate,計數率,為光強的單位;kcps指kilo content per second; 3. Base Diff:極限差異,通常Base Diff <1%的時候,測量均是可信的; 4. Eff Dia:有效粒徑,這是一個等效值,不是平均值;可以用有效粒徑來表征所測體系; 5. Poly:多分散性,表明樣品的分散情況,一般Poly<0.1是一個窄分布,Poly>0.2是一個寬分布.
表 2 0.5 mol · L-1 DNNSA溶液萃取后粒徑的自相關測試報告
雖然增加DNNSA濃度有利于萃取,但是隨著有機相濃度增加,萃取后有機相粘度增大,分相將需要較長的時間,故實際過程應綜合考慮實驗條件和萃取效果等因素.
具體參見污水寶商城資料或http://www.bnynw.com更多相關技術文檔。4 結論(Conclusions)
1)隨著反膠團溶液濃度增加,反膠團形態穩定,DNNSA反膠團萃取廢水中鋅離子的速率控制步驟為水相內化學反應,要加快萃取速率可采取增加萃取劑濃度、金屬離子濃度、升溫等措施.
2)DNNSA反膠團溶液萃取廢水中鋅離子的宏觀動力學方程為:




