隨著印染行業的快速發展,傳統天然易降解的染料助劑正逐漸被性能穩定的合成化學助劑所取代,導致其生化尾水具有COD高、難生物降解等特點,嚴重威脅著水生環境和生態系統的安全。與此同時,印染廢水處理過程中產生大量復雜的物化污泥,其具有較大的生物毒性和環境污染。因此,如何實現印染生化尾水的達標排放,以及安全處置印染物化污泥,成為印染行業環境治理亟待解決的難題。
印染生化尾水可生化性較低,單一的生物技術難以處理,通過結合先進的氧化工藝能有效提高尾水的可生化性。其中,過硫酸鹽高級氧化技術操作簡單,pH適用范圍大,能產生強氧化性自由基,可有效去除難降解污染物。目前,用于活化過硫酸鹽(persulfate,PS)的方法主要有能量輸入、碳材料、過渡金屬等,而能量輸入會造成高能耗,碳材料則存在活性位點較少問題。因此,過渡金屬活化由于不需要額外能量、快速反應等優勢,受到更多關注,但在處理廢水過程中發現,過渡金屬活化仍需要額外引入活性成分,不僅會造成二次污染,而且使用成本較高。所以如何制備一種綠色、經濟和高效的新型催化劑已成為過硫酸鹽高級氧化的熱點問題。絮凝劑中的Fe和Al氧化物是各種生物炭基PS活化劑中主要的金屬氧化物,而印染污水處理廠產生的物化污泥里含有大量絮凝劑,經過熱解制備的污泥基生物炭表面附著一定量的金屬化合物、羥基和羧基,有利于活化過硫酸鹽產生硫酸根自由基,其自由基能快速氧化尾水中難降解污染物,提高生化尾水的可生化性。
氧化后的尾水可生化性得到提高,更容易被微生物降解,可進一步利用生物處理工藝實現尾水的達標排放。曝氣生物濾池在去除固體、有機碳和氨氮方面應用較多,適用于生化尾水的處理。其中生物填料的選擇是影響BAF運行的一個重要因素,而傳統填料大多以頁巖、陶土等不可再生自然資源為主要原料,易造成土地破壞問題。近年來,天然礦物和有機材料作為生物陶粒原料被廣泛研究,解清杰等利用海南火山巖濾料,在最佳運行條件下對COD、氨氮和SS的平均去除率分別能達到80%、99%和80.3%,但該填料容易破損,長期運行會造成堵塞問題。邊佳等利用天然沸石粉末和水泥、廢紙漿成功制備了新型生物填料,其污染物去除效果優于普通BAF,但水泥成本較高,廢紙漿可能造成二次污染。因此,在BAF工程應用中,需要探究一種高效經濟的生物填料解決這些問題。印染物化污泥中含有大量Fe鹽、Al鹽,成分接近陶土,其主要成分之一的SiO2也是陶粒的骨架成分,具備成陶條件,有望代替傳統陶粒并應用于BAF生物處理中,從而減少工程成本。
綜上所述,針對印染生化尾水難處理,印染物化污泥難處置問題,本研究采用過硫酸鹽高級氧化-BAF工藝對其進行深度處理,利用印染物化污泥的資源再利用優勢,制備污泥基生物炭催化劑活化PMS構建高級氧化體系,解決尾水生化性低問題;同時將自制印染物化污泥生物陶粒填料應用于BAF,進一步處理氧化后的尾水,解決達標排放以及回用率問題,以期利用組合工藝提高生化尾水出水品質的同時,實現印染物化污泥處置和資源化利用。
1、實驗裝置及方法
1.1 實驗水質和實驗材料
實驗用水來自安慶市某污水處理廠印染生化尾水,取樣后對水質進行監測。尾水COD為(209.00±20.00)mg·L−1、TN為(17.05±1.52)mg·L−1、TP為(1.04±0.20)mg·L−1、NH4+-N為(8.25±0.80)mg·L−1、pH為8.48±0.15。實驗污泥來自安慶市某污水處理廠物化污泥,取樣后進行破碎研磨,干燥備用。經檢測后污泥中主要氧化物SiO2、Al2O3、Fe2O3、CaO、Na2O、K2O、MgO、P2O5占比分別為10.7%、13.24%、26.29%、3.11%、0.26%、0.37%、0.41%、2.58%。
1.2 實驗裝置
曝氣生物濾池(biologicalaeratedfilter,BAF)裝置由主體反應器、配水桶、蠕動泵、曝氣泵、氣液流量計、曝氣盤、水管、閥門等組成。主體反應器由有機玻璃制成,裝置尺寸:外徑14.0cm,內徑10.0cm,高度1.4m,總容積為11L,有效容積約為8L。BAF裝置圖如圖1所示。

圖1 BAF裝置圖
1.3 過硫酸鹽氧化實驗方法
1)污泥基生物炭催化劑制備方法。實驗以印染物化污泥為原料,將待用污泥置于烘箱內,105℃下干燥72h,研磨后過100目篩以供進一步使用。取過篩后的污泥樣品加入一定量的KOH溶液活化,將活化后的前驅體置于烘箱內105℃干燥24h。隨后置于管式爐中碳化,在氮氣氣氛中升溫至600℃,熱解2h;升溫速率:5℃·min−1。污泥冷卻后,通過酸洗、水洗、離心濾干水分,將所得沉淀在烘箱內于105℃下干燥,收集烘干的粉末,于研缽內研磨均勻,即得到污泥生物炭催化劑。
2)污泥基生物炭催化劑氧化方法。取100mL待處理的印染生化尾水于錐形瓶內,根據實驗設計方案稱取一定量污泥基生物炭催化劑和過硫酸氫鉀(peroxymonosulfate,PMS)加入錐形瓶中并開始攪拌,定時定量取樣并通過0.45µm過濾器,然后轉移到離心管中進行后續分析。以UV254、COD去除率為評價指標來判斷催化氧化效能。并根據實驗結果得出最優反應pH、催化劑投加量、PMS投加量。
1.4 自制污泥陶粒填料制備方法
實驗以印染物化污泥∶粉煤灰∶粘土的配比為4∶3∶3,預熱溫度400℃、預熱時間15min,最佳燒制溫度為1100℃、保溫時間為15min,于陶瓷纖維馬弗爐(sx3-3-13)中按設定程序焙燒制成。
1.5 BAF實驗方法
本實驗采用接種掛膜法,前期先進行悶曝,將合肥市某城市污水廠好氧池中好氧污泥添加到裝有生物陶粒填料的BAF中,在空氣泵供氣悶曝24h后停止曝氣,排空并注入等量的人工模擬廢水繼續悶曝,此過程重復3d,待觀察到濾料表面附著絮體后依據設計流量逐步進行連續進水連續曝氣,直至出水水質基本穩定。在最佳探究因素條件下通入氧化后的印染生化尾水,觀察水質情況并監測相關出水指標。
1.6 分析方法
采用Gemini500型掃描電子顯微鏡(scanningelectronmicroscope,SEM)獲取催化劑形貌結構。利用SEM配備的能譜儀(energydispersivespectroscopy,EDS)來確認催化劑表面元素。使用X射線熒光光譜儀(X-rayfluorescenceSpectrometer,XRF)確定污泥的氧化物成分和含量。采用X-射線衍射儀(X-raypowderdiffractometer,XRD)鑒定催化劑物相組成。水質指標監測方法為:采用重鉻酸鉀消解法測定COD,納式試劑分光光度法測定NH4+-N,鉬酸鹽分光光度法測定TP,堿性過硫酸鉀消解紫外分光光度法測定TN,紫外分光光度法測定UV254,pH計測定pH,稀釋與接種法測定BOD5。
2、結果與討論
2.1 污泥基生物炭催化劑表征
1)SEM和EDS表征及分析。利用SEM觀察熱解前后催化劑的微觀形貌,物化污泥在未經任何處理時,表面形貌如圖2(a)所示。此時表面較為平整,沒有明顯孔隙結構。而經過堿活化熱解后的表面形貌如圖2(b)所示。由圖中可以觀察到表面顆粒物質增多、孔隙結構產生。這些孔隙有利于催化劑與氧化劑接觸,進而提升催化劑的吸附性能和催化活性。孔隙結構的存在同時也增加了催化材料的比表面積,可以增加催化位點的暴露,增強催化劑與污染物、氧化劑的接觸,從而提高污染物降解效率。X射線能譜表征結果如圖2(c)和表1所示。催化劑表面元素以C、O元素為主,Fe和Al金屬的元素相對較高,Fe屬于過渡金屬,由于過渡金屬元素(離子態及氧化物)具有(n-2)d1~9ns1~2價電子層結構,在中心存在被電子占據的d軌道和空的d軌道。形成的金屬中心同時具有親電性和親核性,可降低PMS與污染物反應所需的活化能,起到催化作用。此外,Mg、Ca、Si等元素也在生物炭中形成了持久的自由基,這對催化劑的催化性能有顯著影響。

圖2 污泥生物炭催化劑的形貌表征

2)XRD分析。采用X射線衍射圖譜進行物相分析。如圖3所示,生物炭在2θ=26.88°處的衍射峰是石英(SiO2)的特征峰,在2θ=35.6°、43.46°、57.14°、62.7°出現的衍射峰是赤鐵礦(Fe2O3)的特征峰,其構成污泥基生物炭的主要物相。與此同時,在高溫和惰性氣體的環境下,通過熱解處理使污泥生物炭中的Fe2O3被還原為Fe3O4,在2θ=30.26°處的衍射峰是磁鐵礦(Fe3O4)的特征峰,另外在2θ=35.6°和43.46°處存在氧化鎳(NiO)和四氧化鐵鎂(Fe2MgO4)2種金屬氧化物的衍射峰,結合X射線能譜表征分析,熱解后的污泥基生物炭中含有的Fe物種和金屬氧化物能有效激活PMS,具備催化氧化的性能。

圖3 污泥基生物炭XRD圖
2.2 不同因素對污泥基生物炭催化實驗的影響
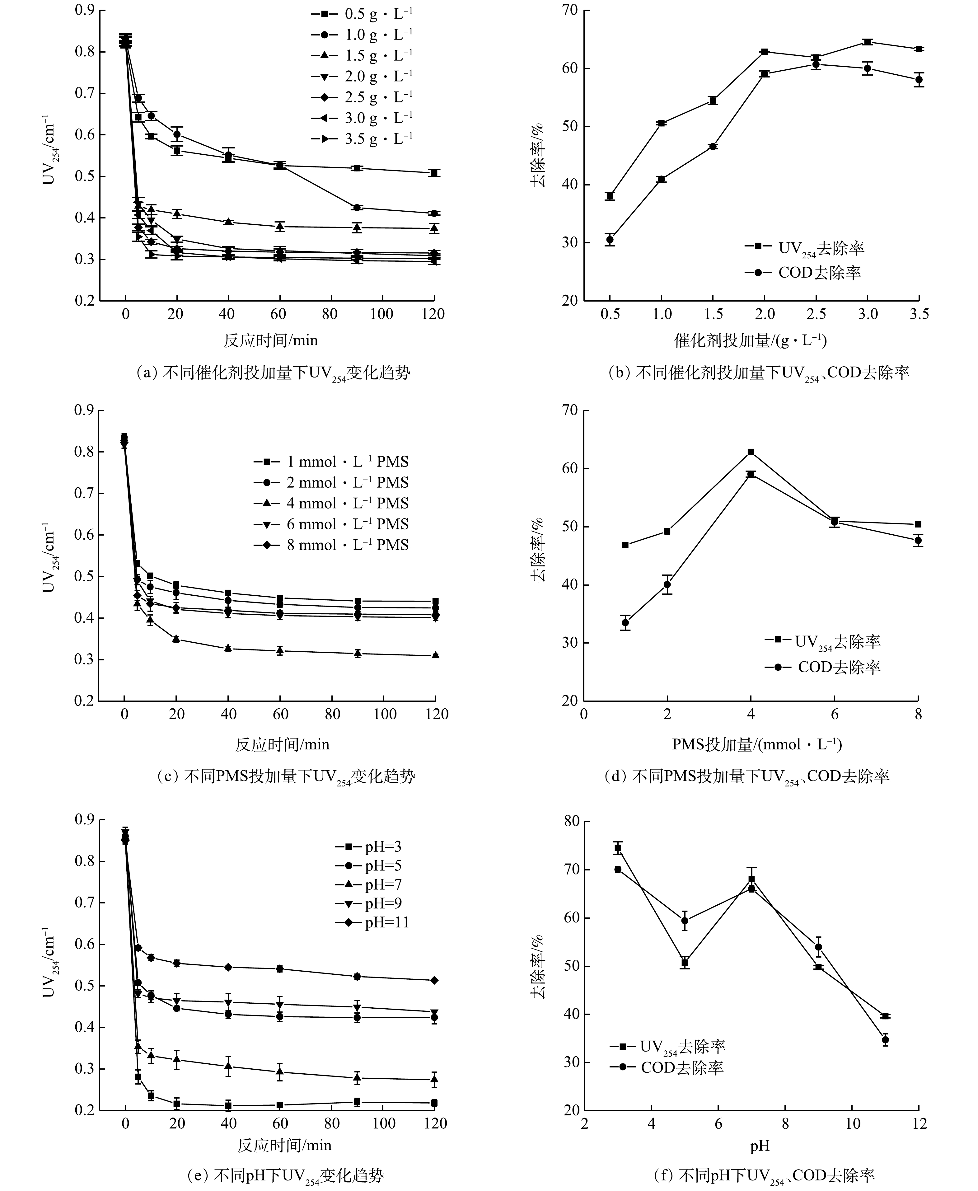
不同催化劑投加量下UV254和COD的變化趨勢如圖4(a)和圖4(b)所示。催化劑的投加量影響氧化過程中自由基釋放量,從而影響對污染物的去除。催化劑前期降解效果顯著,催化劑大量吸附點與PMS接觸,并活化PMS釋放自由基,隨時間的增長,催化效果逐漸趨于穩定。由圖4(a)、圖4(b)可知,在催化劑2g·L−1投加量后,增加其濃度對UV254和COD去除效率影響不大,同時考慮催化劑制備的能耗成本,以2g·L−1的催化劑投加量作為最佳投加量。此時,UV254的去除率是62.9%、COD的去除率為59.1%。相同催化劑投加量下活化不同濃度PMS得到UV254和COD的變化趨勢如圖4(c)和圖4(d)所示。高PMS濃度有利于高傳質和活性自由基的產生,從而提高反應動力學。由圖4(c)、圖4(d)可知,COD和UV254的去除率隨PMS投加量的增加逐漸上升,在投加量為4mmol·L−1后下降,有限的活性位點不足以激活PMS,這可能是過量PMS的清除作用和自由基的重組,影響污染物的降解,導致去除率下降。因此,選擇最佳PMS投加量為4mmol·L−1,此時UV254和COD去除率分別是62.9%和59.1%。不同pH下,相同催化劑投加量下活化相同PMS得到UV254和COD的變化趨勢如圖4(e)和4(f)所示。酸性條件下生化尾水的去除效果高于堿性條件下,這表明氧化系統對有機污染物的降解可能主要歸因于SO4·−,SO4·−可能比·OH發揮了更重要的作用。而SO4·−在堿性條件下可與羥基反應生成·OH,從而降低了降解性能。由圖4(e)、圖4(f)可知,在pH為3和7時,污染物去除效果較優,結合原水弱堿性及后續生化處理時微生物的生長環境,最佳pH為7。綜上所述,在催化劑投加量為2g·L−1,PMS投加量為4mmol·L−1,pH=7的最佳參數下,生化尾水的UV254去除率為68.1%,COD去除率為66.0%,對應的出水情況見表2。經過氧化后的尾水有關污染物均有一定去除,BOD5/COD由0.23增加至0.35,尾水可生化性有所提高。

圖4 氧化系統不同催化劑投加量、PMS投加量、pH值下UV254、COD去除情況

2.3 污泥基生物炭穩定性及經濟性評估
污泥基生物炭催化劑重復使用5次后污染物去除效果如圖5(a)、圖5(b)所示。隨著污泥基生物炭催化劑的重復使用,催化劑吸附和催化效率逐漸下降,重復使用5次后,UV254和COD去除率分別為51.8%和50.4%。這一結果表明,雖然污泥基生物炭催化劑在重復使用后,污染物去除呈現一定程度的衰減,但總體而言,污泥基生物炭具備可重復利用性能,具備實際應用的潛力。此外,選用實驗室已制備的生物炭負載鐵錳氧化物進行對比,以評估其經濟性。污染物去除率與目標廢水的初始條件有關。因此,對比實驗在相同工況下選用同一批生化尾水進行。如表3所示,在達到相近處理效率的前提下,污泥基生物炭催化劑所需PMS更少,相比生物炭負載鐵錳氧化物催化劑,在實際應用中能減少過硫酸氫鹽的使用量,減少運行成本,具備一定的經濟性。

圖5 重復使用5次催化劑UV254、COD去除率

2.4 BAF調試與運行效果分析
1)2種填料性能對比。自制污泥陶粒填料,呈球狀紅褐色顆粒,粒徑為6~8mm,對比所用市售傳統陶粒填料購買于福建臻潤環保科技有限公司廠家直銷,呈球狀灰色顆粒,粒徑為3~5mm。如表4所示,自制污泥陶粒填料較市售陶粒填料比表面積更大,鹽酸溶出率更小,有利于微生物繁殖及系統掛膜。

2)掛膜啟動階段COD、NH4+-N監測。以模擬印染廢水為目標,其中水質主要指標:COD為300mg·L−1,NH4+-N為15mg·L−1,TP為5mg·L−1。通過接種掛膜法進行掛膜啟動,探究各個因素對曝氣生物濾池反應器運行效果的影響,以穩定3d后COD和NH4+-N平均去除率確定最佳運行參數。裝有自制污泥陶粒填料的反應器為Z-BAF,與裝有市售陶粒填料的反應器(S-BAF)對比,探究污泥陶粒應用BAF的可能性。運行期間,采用氣水聯合方式對BAF進行反沖洗以保證生物膜處于最活躍的狀態。對BAF反應器連續進水,維持適宜的DO濃度,供微生物的有效生命活動,觀察Z-BAF反應器和S-BAF反應器的工況變化和掛膜情況。如圖6所示,隨著運行時間的增加,填料上的生物膜逐漸形成,2個反應器出水的污染物濃度逐漸減小,COD和NH4+-N的去除率逐漸增加最后趨于相對穩定。在悶曝前期,反應器處于工況適應期,出水波動較大,附著的微生物容易被沖落,污染物去除率相對較低。COD的去除與碳化異養菌的生命代謝活動直接相關。隨著碳化異養菌適應系統并大量繁殖,2個反應器的出水COD逐漸降低,當碳化異養菌生長到達極值后硝化菌繁殖速度加快,獲得更多營養物質及DO,2個反應器出水NH4+-N逐漸降低,掛膜12d后,2個反應器對COD和NH4+-N的去除率穩定在80%以上,說明掛膜成功。其中由于污泥陶粒的比表面積較大,可能附著的微生物更多,整體工況穩定性和效率略高于市售陶粒。

圖6 掛膜期間COD、NH4+-N監測
3)不同因素對BAF系統去除污染物的影響。不同水力停留時間下COD、NH4+-N和TP的變化趨勢如圖7(a)、圖7(b)、圖7(c)所示。在一定范圍之內,隨著水力停留時間的增加,廢水中污染物與生物膜獲得了充分的接觸時間,較長的水力停留時間將導致有機物更完全地降解,使得污染物去除率更高。但當水力停留時間超過一定限度,生物降解就會受到限制,會導致微生物活性降低,新陳代謝緩慢,影響污染物去除效率。從圖7(a)、圖7(b)、圖7(c)中可以看出,改變HRT,Z-BAF反應器和S-BAF反應器對廢水中COD、NH4+-N、TP去除率整體呈現先升高后降低的趨勢。較短HRT意味著污水與微生物接觸時間變短,在保證氣水比因素不變的情況下曝氣量會加大,進而影響微生物的生命活動,影響微生物降解污染物的效率。延長HRT有利于工況趨向穩定上升狀態,其污染物濃度逐漸降低。Z-BAF系統在HRT為10h時,COD、NH4+-N、TP去除率達到最佳,分別為86.9%、87.17%、66.2%。對比S-BAF系統最佳HRT(12h),Z-BAF所需HRT更短,這可能是自制生物陶粒性能更加穩定,附著微生物量相對更多,在較短HRT條件下達到最佳去除效率,從工程應用角度看,較短HRT能減少能耗和成本。

圖7 在不同HRT和氣水比下BAF系統對COD、NH4+-N、TP的去除效果
COD、NH4+-N、TP在不同氣水比下的變化趨勢如圖7(d)~(f)所示。充足的曝氣有益于增強細菌活力,有效降解污染物,但系統中氧平衡濃度的限制會導致BAF性能或達到極限。此外,氣水比不宜過高,過大的曝氣量可能會沖落陶粒上的生物膜,導致系統性能失衡。適宜的氣水比對于曝氣生物濾池的運行具有重要的意義。由圖7(d)~(f)可知,Z-BAF反應器和S-BAF反應器在1∶1和10∶1氣水比下均表現較低的微生物活性,進而影響污染物的去除效率。在7∶1的最佳氣水比下,Z-BAF反應器和S-BAF反應器對廢水中COD、NH4+-N、TP去除率達到最佳,分別為87.9%、90.6%、70.6%和83.4%、89.3%、63.0%,Z-BAF反應器各項污染物去除率略高于S-BAF反應器。原因可能是氣水比的增加促使水流與氣流的沖刷作用加大,污泥陶粒填料相比市售陶粒填料穩定,部分市售陶粒填料表面的新老微生物脫落加快,造成一定量微生物的損失。
4)填料應用對比分析。如表5所示,在自制污泥陶粒填料與市售陶粒填料應用于BAF的過程中,污染物去除效率接近,自制污泥陶粒填料污染物去除效果略優于市售陶粒填料,但自制污泥陶粒填料能有效利用固廢污泥,是一種更加綠色,經濟環保的生物填料,有望應用于污水實際處理中。

2.5 聯合工藝處理實際印染生化尾水效能分析
根據實際印染生化尾水特點,在BAF系統最優運行參數下,向Z-BAF系統中通入高級氧化后的生化尾水,監測出水水質指標。各項污染物去除率因實際廢水的復雜性略有波動,結果見表6。由表6可知,經過高級氧化耦合BAF工藝處理后,印染生化尾水最終出水COD、NH4+-N、TN、TP均可穩定達到《紡織染整工業水污染物排放標準》(GB4287-2012)。

3、結論
1)在污泥基生物炭催化劑投加量為2g·L−1,PMS投加量為4mmol·L−1,pH=7的最佳參數下,生化尾水的UV254去除率為68.1%,COD去除率為66.0%,BOD5/COD由0.23增加至0.35,在一定程度上提高了生化尾水的可生化性,這便于后續生物處理。
2)相比市售陶粒填料,自制污泥陶粒填料的比表面積更大且鹽酸溶出率較低,有利于微生物的附著,從而使BAF運行更加穩定。Z-BAF反應器在水力停留時間10h、氣水比7∶1的穩定工況下對模擬廢水COD、NH4+-N、TP的去除率分別為87.92%、90.55%、70.6%,在同等條件下污染物去除效率略高于S-BAF。自制污泥陶粒填料有望成為經濟環保的水處理生物填料。
3)經過污泥基生物炭催化氧化耦合BAF工藝處理后,印染生化尾水的最終出水COD、NH4+-N、TP可穩定達到《紡織染整工業水污染物排放標準》(GB4287—2012),該工藝是一種有效的深度處理組合工藝。(來源:合肥工業大學資源與環境工程學院,安徽中環環保科技股份有限公司,皖創環保股份有限公司,安徽建筑大學,環境污染控制與廢棄物資源化利用安徽省重點實驗室)



