由于氨氮具有水生生物毒性、導致水體富營養化和水生生態平衡破壞等特點,其去除一直是廢水處理中的主要挑戰。目前,地下水氨氮污染也引起了人們的關注,2019年發布的《中國生態環境狀況公報》指出全國10168個國家級地下水水質監測70%以上的水體氨氮含量超標。
目前,氨氮污染去除技術主要分為生物處理法、物理處理法和化學處理法。物理法主要包括反滲透法、離子交換法和吹脫法等;化學法主要包括折點氯化法、化學沉淀法和電化學法;生物法主要為硝化-反硝化技術、厭氧氨氧化和各類新型生物脫氮技術。近年來,電化學催化氧化已成為一種有前景的除氨方法,相比于其他高級氧化技術,其優點包括二次污染物的產生量最少,不需要另加氧化還原劑,易于自動化等;但也有耗電量大、成本高等缺點。據報道,電化學催化氧化可有效處理來自發電廠,市政、垃圾填埋場和焦化廠等含氨氮的廢水。
本研究以含氯含氨氮地下水為研究對象,將吹脫除氨作為減輕后續處理負荷及減少水力停留時間的預處理單元,在電化學催化氧化的基礎上設計適合實際工程應用的連續流反應器,采用吹脫-電化學催化氧化組合的方式使氨氮指標達到排放限值。對比了光/電協同氧化法(電化學法與光催化法聯合)和單獨電化學氧化法降解氨氮的效果、轉化產物,具體分析了氨氮氧化機理,為電化學催化氧化組合工藝處理氨氮污染地下水提供了新思路。
1、裝置與方法
1.1 實驗材料
N,N-二乙基-1,4-苯二胺 (DPD) 游離氯試劑購于北京松原科創科技有限公司,氯化釕水合物(RuCl3·xH2O)、納氏試劑(Hg-KI-NaOH)、酒石酸鉀鈉(NaKC4H4O6)、氯化鈉(NaCl)、氫氧化鈉(NaOH)、5,5-二甲基-1-吡咯啉-N-氧化物(DMPO)均購于上海阿拉丁生化科技股份有限公司,丙酮(C3H6O)、異丙醇(C3H8O)、乙醇(C2H5OH)購于國藥集團化學試劑有限公司。本實驗及藥劑配置用水為Milli-Q(美國Millipore公司)制備的超純水。紫外燈燈管購于海寧市硤石萬華電光源廠(254 nm,4~6 W),釕銥涂層泡沫鈦電極和泡沫鈦電極購于陜西環亞賽納氫有限公司,圓筒形鈦網購于蘇州舒爾泰工業科技有限公司。
鈦釕圓筒型電極制備方法:以圓筒形鈦網用作電極基底材料,先用800目和2 000目砂紙打磨拋光,再將其置于質量分數為1%的氫氟酸溶液中化學拋光,清洗后烘干。將電極置于馬弗爐以450 ℃恒溫煅燒2 h制得二氧化鈦保護層。采用浸漬提拉法將0.2 mol·L-1 RuCl3-異丙醇聚合前驅體溶膠涂覆電極,并置于馬弗爐在450 ℃下處理10 min,不斷重復次此步驟直至達到所需涂覆量(16次)后,450 ℃煅燒2 h得到圓筒型鈦釕陽極。
實驗水樣為上海某鋼鐵工業區原固廢堆場區域的地下水(簡稱地下水)。其氨氮質量濃度為49~54 mg·L-1,總氮為51.7~58.3 mg·L-1,硝態氮為0.1~0.6 mg·L-1,氯離子為471~485 mg·L-1,pH為9.5~10.6,電導率為1 512~1 708 μS·cm-1。以下實驗如未經特殊說明均為上述水質條件。
1.2 實驗設計
單獨電化學實驗裝置采用流過式反應器(圖1),反應器的不銹鋼內壁作為陰極,鈦釕圓筒形電極為陽極,極間距為2 mm,內置紫外燈之后電解反應池有效容積為140 mL,將進水口與出水口以泵管連接并用蠕動泵控制循環流量。在無紫外光照射的情況下,考察了電流密度分別為55.1、73.46、91.83 A·m-2時的氨氮氧化效果。

光/電協同氧化法實驗采用圖1所示流過式反應器,在單獨電化學體系的基礎上增加紫外線輻照。吹脫-電化學催化氧化組合實驗包括吹脫、穿過式電氧化、流過式電氧化(圖1)。穿過式電氧化反應器以釕銥涂層泡沫鈦為陽極(極板大小50 mm×50 mm,厚度2 mm,孔徑50~100 μm)和泡沫鈦板為陰極,陰陽極間放置塑料介電網隔開。流過式電氧化部分采用如圖1所示的流過式反應器。調節地下水pH為12后,在1 000 mL容量的量筒中裝入800 mL水樣,以8 L·min-1的空氣流量吹脫8 h。經吹脫預處理的地下水隨后進入電化學連續流裝置,穿過式電氧化反應器電流密度為106 A·m-2,水力停留時間為10 min;流過式反應器電流密度為73.45 A·m-2,水力停留時間為5 min。
1.3 分析儀器及方法
總氮(TN)的測試方法為燃燒法,使用儀器為總有機碳/總氮分析儀(TOC-L);NH4+-N采用納氏試劑法(HJ 535-2009),通過紫外分光光度計(U-3900)進行測定;NO2--N、NO3--N、Cl-使用離子色譜(ICS-5000)進行測定;活性氯質量濃度采用N,N-二乙基-1,4-苯二胺分光光度法(HJ 586-2010),使用儀器為哈希測定儀(DR 3900);活性自由基的產生情況以DMPO為捕獲劑,通過電子順磁共振波譜儀(Bruker E500)測試。
2、結果與討論
2.1 單獨電化學氧化法
如圖2(a)所示,隨著電流密度的升高,氨氮去除率呈升高趨勢。在電流密度為73.46 A·m-2的條件下電解40 min時,氨氮的去除率已超過95%。采用零級反應動力學擬合反應過程中氨氮質量濃度曲線,所有k值的R2均>0.97,表明氨氮降解遵循零級反應動力學。圖2(b)~(d)反映了在單獨電化學氧化降解氨氮過程中NO3-和N2的生成量(即TN減少的量),其氧化產物大部分轉化為N2,少部分轉化為副產物NO3-,體系中NO2-的質量濃度低于檢測限。隨著電解時間的增加,NO3-生成量逐漸提高。在電流密度為73.46 A·m-2時,電解60 min后,N2生和NO3-的生成量分別為45.09 mg·L-1和2.73 mg·L-1,TN去除率為82.58%。高電流密度雖然能夠提高反應效率,但會增加能耗,出于經濟和高效的考慮,選擇73.46 A·m-2進行后續研究。

2.2 光/電協同氧化法
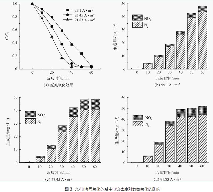
由圖3(a)可知,光/電協同氧化法降解氨氮的效果隨電流密度的升高而提高,但氨氮去除率低于單獨電化學氧化法。相較于單獨電化學氧化法,在電流密度分別為55.1、73.46、91.83 A·m-2的條件下光電催化反應30 min后,氨氮的去除率分別低10.01%、19.43%、13.67%。圖3(b)~(d)反映了不同電流密度下NO3-和N2的生成量。隨著電解反應的進行,NO3-和N2的生成量不斷上升,且電流密度的升高促進了NO3-的形成。在3種電流密度條件下電解60 min后,NO3-的生成量分別達到4.419、8.033、8.061 mg·L-1,相較于單獨電化學氧化法,光/電協同氧化法產生了更多硝酸鹽。

2.3 吹脫-電化學催化氧化組合法
地下水的pH為9.5~10.6滿足吹脫除氨的條件,但由于曝氣過程中引入的CO2會導致溶液pH下降,因此加入NaOH將地下水調至pH=12以保證吹脫除氨效率。由圖4可知,氨氮污染地下水經過吹脫-電催化氧化組合工藝處理,最終TN和NH4+-N出水質量濃度分別為5.15 mg·L-1和1.17 mg·L-1,去除率為90.23%和97.62%。單獨電化學氧化法、光/電協同氧化法和吹脫-電化學催化氧化組合法均能將出水的氨氮質量濃度控制在1.5 mg·L-1以下,組合工藝的TN去除率較單獨電催化氧化法和光/電協同氧化法分別高7.66%和12.18%。3種工藝降解氨氮的單位能耗從低到高分別是:吹脫-電化學催化氧化,單獨電化學氧化,光/電協同氧化。吹脫法和電催化氧化法的耦合有效利用了地下水的堿度和氯化物,同時,兩個電化學單元的組合拓展了該工藝的適用范圍,提升了出水水質,利于廢水處理設備朝著小型化的方向發展。

2.4 機理分析
1)活性氯介導的氨氮氧化機理。電化學反應中會產生的活性氯、HO·等強氧化性物質。活性氯是通過Cl-在陽極表面原位生成的Cl2水解形生成。陽極生成的活性氯是氨氮轉化為氮氣的重要因素,類似氨氮的折點氯化。但研究表明,電化學催化氧化發生的機制不同于傳統折點加氯反應中先生成一氯胺、二氯胺、三氯胺,最后在活性氯/氨氮摩爾比達到1.5時生成氮氣;在電化學催化氧化過程中,氨氮轉化為氮氣發生在電解過程的最開始,遠在活性氯/氨氮摩爾比達到1.5之前。
圖5反映了Cl-隨時間的變化以及氨氮氧化過程中活性氯的質量濃度。在電解時間0~20 min內,Cl-質量濃度逐漸降低,但活性氯質量濃度并無明顯升高。這是由于溶液中的Cl-在陽極表面轉化形成的活性氯隨即與水中所存氨氮發生反應生成氯胺,活性氯在間接氧化中被消耗,氨氮完全降解后,活性氯質量濃度增至相對較高的質量濃度。在相同的電解條件下,添加紫外光之后,活性氯增加的量更少,說明在紫外線的照射下,部分活性氯通過光解反應轉化生成·Cl和ClO·。

2)自由基介導的氨氮氧化機理。HO·和·Cl通過水的電解和Cl-的氧化生成于陽極表面,或是在紫外光的體系中,通過光解反應生成。有研究表明,HO·傾向于將次氯酸或者次氯酸根轉化為ClO·,而非Cl·。ClO·是一種選擇性強氧化劑,易與富電子基團發生反應(氨氮),其氧化還原電位為1.5~1.8 V(vs. NHE),低于HO·的氧化還原電位(2.8 V)。在紫外光的催化作用下,HO·、Cl·通過自由基鏈式反應轉化為ClO·,自由基氧化氨氮生成N2和NO3-。紫外光對氯胺的光解作用以及HO·、ClO·氧化氨氮過程中生成的含氮自由基(·NH2),易進一步被氧化生成硝態氮,導致光/電協同氧化體系中NH4+-N的轉化率低于單獨電化學氧化體系。
如圖6(a)所示,用流過式電氧化反應器處理地下水的實驗表明,無論是否添加紫外光和Cl-都未檢測到自由基的相關信號,說明地下水中復雜的污染物是自由基的潛在淬滅劑。而吹脫-電化學催化氧化組合法處理的出水后,在添加1 000 mg·L-1 Cl-的情況下出現了明顯的自由基信號峰,表明在此期間大部分污染物被去除。

光/電協同氧化體系中(圖6(b)),5min時出現了信號比為1:2:2:1的DMPO-HO·特征峰以及與雜峰疊加的DMPO-ClO·信號峰。反應進行至15min時,隨著DMPO-HO·信號變弱,DMPO-ClO·的加合信號逐漸清晰,其位置與其他研究的結果高度一致,表明溶液中同時存在HO·和ClO·。在電催化體系中(圖6(c)),DMPO-HO·的信號隨著時間的增加而增強,未發現明顯的ClO·和·Cl的特征峰。這說明在無紫外光的條件下,陽極表面生成的強氧化性的HO·幾乎未將HClO和ClO-轉化為ClO·和·Cl。
3、結論
1)采用吹脫-電化學催化氧化組合工藝處理含氨氮地下水,在實驗操作條件下,氨氮、總氮的去除率分別為97.62%、90.23%。
2)單獨電化學氧化法處理含氨氮地下水的效果優于光/電協同氧化法。在73.46 A·m-2的電流密度下電解30 min,與光/電協同氧化法相比,單獨電化學氧化法中氨氮的去除率高了19.43%,副產物NO3-的生成量少了5.299 mg·L-1,活性氯的生成量多了10.8 mg·L-1。體系中活性氯質量濃度變化和自由基的檢測結果顯示,ClO·僅在紫外光的催化下由HO·和活性氯轉化產生,HO·和活性氯等強氧化性物質的消耗導致了加光體系中氨氮去除率的降低。(來源:桂林理工大學環境科學與工程學院,上海寶發環科技術有限公司,清華大學環境學院,水質與水生態研究中心)



