CANON工藝具有脫氮途徑短、節省曝氣量、無需外加碳源、溫室氣體產量少等優點, 成為了目前最具前景的污水脫氮工藝.
CANON工藝適合處理高溫、高氨氮污水, 而生活污水是常溫、低氨氮水質.如何將CANON工藝推廣到市政污水處理廠中是長久以來的難點[5].目前, 國外CANON工藝的研究主要以高氨氮廢水處理為主, 國內雖然有常溫低氨氮環境中運行CANON工藝的報道, 也僅局限于人工配水和短期運行, 實際污水處理廠中長期運行CANON工藝的研究極少.
常溫低氨氮環境中, CANON工藝的難點在于硝化細菌的抑制.如果硝化細菌過量增殖, 將會出現總氮去除率下降、出水總氮超標的現象.在常溫、低氨氮條件下, 只調節DO從而抑制NOB活性已被證明難以實現.因此, 在工程應用中, 需要通過其他策略抑制硝化細菌的活性.有研究表明, 在CANON生物膜反應器中, NOB主要分布在生物膜的外層.對生物膜進行沖洗, 理論上洗脫生物膜表面的NOB, 但在實踐中研究較少.
基于此, 本研究在污水處理廠中, 以污水處理廠A/O工藝出水為基質, 啟動CANON生物濾柱小試試驗, 分析反沖洗對CANON濾柱中硝化細菌的影響.
1 材料與方法 1.1 試驗裝置
試驗采用上向流生物濾柱反應器(圖 1).裝置由有機玻璃制成, 內徑8 cm, 承托層裝填5 cm, 濾料裝填80 cm, 反應器有效容積為5 L.承托層采用粒徑為4~8 mm的礫石填料, 濾料為直徑5~10 mm的黑色火山巖.濾柱由下向上每10 cm設置一個取樣口以方便沿程取樣.反應器底部設曝氣裝置, 外部纏繞黑色保溫棉以避光和保溫.
圖 1

圖 1 反應器裝置示意
1.2 試驗用水和接種污泥
試驗基質為污水處理廠A/O除磷出水, 具體水質指標如表 1所示.
表 1
表 1 A/O除磷出水水質
反應器裝填厭氧氨氧化填料后, 接種亞硝化絮狀污泥啟動CANON工藝.
厭氧氨氧化填料來自運行穩定的上向流火山巖填料厭氧氨氧化反應器, 總氮去除率穩定在85%左右, 總氮去除負荷大于1.0 kg·(m3·d)-1.
亞硝化絮狀污泥來自于亞硝化推流式反應器.該反應器高溫高氨氮運行, 亞硝化率大于90%, 污泥濃度為1 200 mg·L-1左右.
1.3 試驗方法
反應器的運行分為5個階段, 如表 2所示.
表2
S1為CANON生物濾柱的啟動階段. S2階段的水力停留時間縮短至2 h, DO由0.3~0.8 mg·L-1降低為0.3~0.5 mg·L-1, S2為高負荷運行階段. S3~S5為穩定運行階段, 每個階段開始時對濾柱進行反沖洗, 其他運行參數保持不變.
1.4 試驗方法
水樣分析中NH4+-N測定采用納氏試劑光度法, NO2--N采用N-(1-萘基)乙二胺光度法, NO3--N采用紫外分光光度法, COD采用快速測定儀, DO、pH和水溫通過WTW便攜測定儀測定, 其余水質指標的分析方法均采用國標方法.濾料表面生物膜厚度通過電子顯微鏡來精確測量[16].
反應速率的測定:從反應器中取濾料, 刮下生物膜解離, 放入1 L燒杯中.燒杯底部設曝氣裝置, 設置機械攪拌.分別測定亞硝化、硝化、厭氧氨氧化反應速率, 代表AOB、NOB和ANAMMOX菌活性.測定厭氧氨氧化速率時, 調節基質堿度使得堿度與氨氮之比為5, pH控制在7.6~8.0, 氨氮和亞硝氮濃度為50 mg·L-1, 水中DO維持在0.3 mg·L-1以下.測定短程硝化和硝化反應速率時曝氣, 調節基質堿度使得堿度與氨氮之比為10, pH控制在7.7~8.0, 氨氮和亞硝氮濃度為50 mg·L-1, 水中DO維持在2.0 mg·L-1以上.亞硝化、厭氧氨氧化、硝化速率計算方法如式(1)~(3) 所示.

2 結果與討論 2.1 CANON濾柱的啟動及運行
反應器裝填厭氧氨氧化填料后, 接種3 L污泥濃度為1 200 mg·L-1的亞硝化絮狀污泥, 啟動CANON生物濾柱.在啟動階段, 為了減少DO對厭氧氨化菌的抑制作用以及避免硝化細菌過量增殖, 反應器在低DO環境中運行.有研究表明, AOB和NOB的氧飽和常數分別為0.2~0.4 mg·L-1和1.2~1.5 mg·L-1[17], DO對厭氧氨氧化菌抑制的空氣飽和度為0.5%[18].因此在啟動階段, 實時控制曝氣量, 使得濾柱中部DO為0.3~0.8 mg·L-1.
啟動初期采用較小的水力負荷以降低亞硝化絮狀污泥的流失.濾速為0.2 m·h-1, 出水收集并循環進水.循環進水3 d后, 保持其他參數不變, 反應器改為連續流, 進入S1階段. S1階段的第1 d, R1和R2反應器出水清澈, SS小于10 mg·L-1, 幾乎沒有污泥的流失.
反應器氨氮, 亞硝氮和硝氮變化如圖 2所示, 氨氮及總氮去除率如圖 3所示.從中可見, S1階段反應器氮素去除效果逐漸提高.第37 d時, 反應器氨氮去除率大于90%, 總氮去除率大于70%.第48 d時, 反應器氨氮去除率連續10 d大于90%, 總氮去除率在70%以上, 總氮去除負荷大于0.2 kg·(m3·d)-1, 表明CANON生物濾柱已初步啟動成功.
圖 2

圖 2 氨氮、亞硝氮和硝氮濃度的變化
圖 3

圖 3 氨氮濃度和總氮去除率
為了提高CANON生物濾柱的處理負荷, S2(49~127 d)階段將水力停留時間從4 h縮短至2 h, 此時濾速為0.4 m·h-1.由于水力負荷的提高, 進水氨氮負荷也隨之增加.在S2階段, 為了抑制硝化細菌的活性, 調節曝氣量, 維持濾柱中部DO濃度在0.3~0.5 mg·L-1之間.
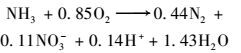
由圖 2和圖 3可見, S2階段突然縮短水力停留時間, 反應器氮素去除效果下降明顯.隨著反應器的運行, 微生物逐漸適應高水力負荷的環境, 出水中氨氮和亞硝氮濃度逐漸降低.第97 d之后, 出水幾乎不含氨氮和亞硝氮.第97~128 d, 反應器氨氮和亞硝氮去除率大于90%, 但最大出水總氮濃度為15.8 mg·L-1, 超過了一級A排放標準.此時反應器總氮去除率為60%~70%, 遠遠低于理論值89%. CANON工藝生化反應方程式如式(4) 所示[19], 由式可得, CANON工藝將氨氮轉化為89%的氮氣和11%硝氮.本試驗氨氮去除量為35~45 mg·L-1, 理論出水硝氮為3.85~4.95 mg·L-1.實際出水硝氮濃度為10~14 mg·L-1, 遠遠大于理論值.出水硝氮大量增加導致總氮去除率降低, 而大量增加的硝氮是硝化細菌過量增殖所致.

為了具體研究硝化細菌的活性, 引入特征比這一參數.由式(4) 可得, 總氮去除量與硝氮增加量之比應為8, 該比值稱為特征比.特征比可以有效地反映硝化細菌活性, NOB過量增殖會導致特征比降低[20, 21].本試驗的特征比及出水總氮濃度如圖 4所示.從中可見, S2階段初期特征比突然升高.一方面, S2階段的進水氨氮負荷提高為S1階段的二倍, 高氨氮負荷對NOB有一定的抑制作用[5]; 另一方面, S2階段反應器內部的DO較低, 低DO一定程度上抑制了NOB的過量增殖. S2階段特征比逐漸降低, 第117~127 d, 反應器特征比維持在2.5~3.3之間, 遠遠小于理論值8, 出水總氮濃度大于13.5 mg·L-1, 表明NOB已經過量增值.與前人的研究結果相似, 在進水低氨氮低溫環境中, 僅通過低DO難以抑制NOB[22, 23].在污水處理廠中, 可采用如定期反沖洗的策略來抑制硝化細菌的活性, 將CANON工藝出水總氮濃度維持在較低水平.
圖 4

圖 4 出水總氮及特征比
2.2 反沖洗對CANON濾柱的影響
CANON濾柱中, 由于生物膜的傳質作用, 濾料表面形成外部好氧、內部厭氧的微環境, 氧飽和常數高的NOB分布在生物膜的最外層[15].為了有效地洗脫生物膜表面的NOB, 減小對內層厭氧氨氧化菌的影響, 采用低強度的反沖洗策略.以氣水聯合的方式進行反沖洗, 氣水比為2, 水沖強度為1.5 L·(s·m2)-1, 反沖洗時間為2 min.
第129 d對CANON生物濾柱進行反沖洗, 其他參數保持不變, 進入S3階段.反沖洗后濾柱氨氮去除率從97.5%降低到76.9%, 特征比由2.50上升到8.94.氨氮去除率下降明顯, 是反沖洗后微生物尚未適應新環境的表現; 特征比的升高, 表明硝化細菌活性降低, 反沖洗可以在一定程度上洗脫濾柱中的NOB.第133 d, 氨氮去除率回升到95.7%, 反沖洗后僅用4 d就可以恢復高效的氮素去除效果, AOB和厭氧氨氧化菌適應能力強.第133~167 d, 濾柱氨氮去除率大于95%, 總氮去除率大于75%, 最大出水總氮濃度為11.8 mg·L-1, 滿足了一級A排放標準.反沖洗后特征比為6.5~8, 隨著濾柱繼續運行, 特征比逐漸降低, 到S3階段末期時, 特征比降低到5左右.反沖洗一定程度上洗脫了NOB, 但難以全部去除.低溫低氨氮環境對NOB的抑制作用有限[24], 因此隨著反應器的運行, NOB逐漸增殖, 須進行下一次反沖洗.
第169 d對濾柱進行同樣強度的反沖洗, 進入S4階段.第213 d再次反沖洗, 進入S5階段.由圖 2、3可見, 反沖洗會暫時降低氨氮去除率, 但2~4 d之后, 氨氮回升至95%以上.反沖洗后特征比及濾柱總氮去除率上升明顯, 出水總氮濃度大大降低.第173~212 d以及第215~241 d, 反應器出水幾乎不含氨氮, 最大出水總氮濃度為11.5 mg·L-1, 滿足一級A氮素排放標準.通過對濾柱進行定期的反沖洗, 使得污水處理廠CANON工藝長期處理達標.
為了研究反沖洗對濾層結構的影響, S2~S5階段測定濾柱沿程變化, 結果如圖 5所示.從中可以看出, 反沖洗前后濾柱沿程變化的幾乎相同, 表明低強度的反沖洗不會破壞濾層結構, CANON濾柱抗沖擊負荷能力強.
圖 5

圖 5 濾柱氨氮沿程變化
2.3 生物學特性研究
S1~S5階段, 從反應器中取出濾料, 測定生物膜厚度及反應速率, 結果如圖 6所示.
圖 6

圖 6 生物膜厚度及反應速率
由圖 6可見, S1~S2階段, 濾料生物膜厚度持續增加.到121 d時, 生物膜厚度為98 μm, 生物量(以VSS計, 下同)為120 mg·g-1.孫婷等[25]采用生物膜反應器使厭氧氨氧化生物膜厚度達到了20 μm, 楊慶等[26]測定厭氧氨氧化反應器濾料表面生物量為84 mg·g-1, 楊青等[27]認為一般好氧生物膜厚度通常維持在100 μm以下.與其他研究成果相比, 本試驗中生物膜厚度達到了較高水平. S3階段, 由于受反沖洗的影響, 生物膜厚度降低到87 μm.反沖洗后生物膜厚度降幅較小, 表明反沖洗對生物膜的影響主要作用于表層. S3階段末期, 生物膜厚度增長到100 μm, 恢復到了反沖洗前的水平. S4、S5階段, 反沖洗暫時降低了生物膜厚度, 運行一定時間以后, 生物膜厚度得以恢復.整體上看, 生物膜厚度處于相對穩定的狀態, 定期反沖洗不會破壞這種平衡.
由于每次反應速率測定時的溫度、基質濃度均相同, 因此反應速率的升降代表了微生物在生物膜中比例的變化. S2階段中, 亞硝化和硝化速率均有上升, 硝化速率增幅明顯, 與出水總氮濃度升高、特征比降低相符.在常溫低氨氮條件下, 通過低DO難以抑制NOB, 因此導致生物膜中硝化細菌的比例上升. S3階段反沖洗后, 亞硝化速率和硝化速率均有下降, 硝化速率下降明顯.反沖洗可以有效地洗脫NOB, 對AOB影響較小.由于微生物需氧量的不同, 生物膜從里到外大致呈厭氧氨氧化菌, AOB和NOB分布, 反沖洗時濾料的摩擦會導致外層生物膜的脫落, 因此硝化細菌所受影響要大于亞硝化細菌. S3~S5階段, 硝化速率處于相對較低的水平, 表明定期反沖洗可以有效地將生物膜中硝化細菌的含量長期維持在較低水平, 完成對硝化細菌長期的抑制.
S1、S2階段厭氧氨氧化速率變化較小, S3~S5階段反沖洗后厭氧氨氧化速率上升明顯.由于反沖洗對外層生物膜的影響較大, 因此反沖洗后厭氧氨氧化細菌在生物膜中所占比例上升.反沖洗后, 由于AOB和NOB生長相對較快[28], 厭氧氧化菌在生物膜中的比例下降. S1~S5階段, 厭氧氨氧化速率處于相對穩定的狀態, 定期反沖洗對厭氧氨氧化細菌的影響極小.
3 結論
(1) 以污水處理廠A/O除磷工藝出水為基質, 48 d成功啟動CANON生物濾柱.反應器啟動成功后, DO控制在較低水平(0.2~0.5 mg·L-1), 最大出水總氮濃度為15.6 mg·L-1, 超過一級A排放標準, 硝化細菌出現了過量增殖的現象.
(2) 第129、169和213 d對濾柱進行反沖洗, 2~4 d內濾柱可恢復高效的氮素去除效果.反沖洗后的穩定運行期內, 氨氮去除率大于95%, 總氮去除率大于70%, 出水總氮濃度小于12 mg·L-1.氮素排放達到了一級A標準, 硝化細菌得到長期有效的抑制. 具體參見污水寶商城資料或http://www.bnynw.com更多相關技術文檔。
(3) 定期反沖洗后幾乎不會影響濾層結構, 對濾料生物膜厚度和功能微生物活性影響較小, 對硝化細菌抑制作用較大.在實際工程應用中可以通過定期反沖洗維持CANON工藝穩定運行.
致謝: 感謝桑德集團、北京京禹石水務有限對本研究的支持.




