公布日:2024.01.09
申請日:2023.08.22
分類號:C02F9/00(2023.01)I;C07C29/151(2006.01)I;C07C29/80(2006.01)I;C07C31/04(2006.01)I;C02F3/30(2023.01)N;C02F1/00(2023.01)N;C02F1/04(2023.01)N;
C02F101/30(2006.01)N
摘要
本發明公開了一種利用高濃度有機污水制備甲醇的方法,第一步:植物素補碳除臭,S1、將植物素按一定比例稀釋后,通過噴霧器或霧化器將其噴灑到有機污水表面;S2、將經過植物素處理后的有機污水送入厭氧反應器,利用厭氧微生物將有機污水中的有機物轉化為甲酸、乙酸等揮發性脂肪酸,并同時產生氫氣和二氧化碳;S3、將厭氧反應器出水送入好氧反應器,利用好氧微生物將揮發性脂肪酸進一步降解為無機鹽,并同時消耗氫氣和二氧化碳。本發明利用高濃度有機污水中難以處理的有機物和碳水化合物,結合植物素補碳除臭工藝,通過六級微生物深度處理后轉化為甲醇半成品,再通過蒸餾工藝進一步蒸餾為成品甲醇。
權利要求書
1.一種利用高濃度有機污水制備甲醇的方法,其特征在于,包括以下步驟:第一步:植物素補碳除臭,S1、將植物素按一定比例稀釋后,通過噴霧器或霧化器將其噴灑到有機污水表面;S2、將經過植物素處理后的有機污水送入厭氧反應器,利用厭氧微生物將有機污水中的有機物轉化為甲酸、乙酸等揮發性脂肪酸,并同時產生氫氣和二氧化碳;S3、將厭氧反應器出水送入好氧反應器,利用好氧微生物將揮發性脂肪酸進一步降解為無機鹽,并同時消耗氫氣和二氧化碳;S4、將好氧反應器出水經過沉淀、過濾后處理工藝;第二步:六級微生物深度處理,通過不同類型的微生物進行厭氧和好氧的生物反應,將有機污水中的有機物轉化為甲酸、乙酸等揮發性脂肪酸,再經過費托合成法制備成甲醇半成品;第三步:蒸餾工藝,利用蒸餾塔將甲醇半成品中的水分和雜質分離出來,得到純度較高的甲醇。
2.根據權利要求1所述的一種利用高濃度有機污水制備甲醇的方法,其特征在于,植物素與有機污水中的異味分子吸附、溶解,其反應時間為8-15小時。
3.根據權利要求1所述的一種利用高濃度有機污水制備甲醇的方法,其特征在于,植物素采用木醋液、植物油、植物精油其中任意一種或兩種組合。
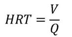
4.根據權利要求1所述的一種利用高濃度有機污水制備甲醇的方法,其特征在于,有機污水在厭氧反應器內部的時間通過以下公式計算:
式中:HRT為水力停留時間,單位為小時或天;V為反應器容積,單位為立方米;Q為進水流量,單位為立方米/小時或立方米/天。
5.根據權利要求1所述的一種利用高濃度有機污水制備甲醇的方法,其特征在于,六級微生物分別是:第一級:厭氧產氫菌,將有機污水中的多糖、蛋白質、脂肪等大分子有機物水解為單糖、氨基酸、脂肪酸等小分子有機物,并同時產生氫氣;第二級:厭氧產乙酸菌,將小分子有機物進一步轉化為乙酸、二氧化碳和更多的氫氣;第三級:厭氧產甲酸菌,將乙酸和二氧化碳還原為甲酸和水,并消耗部分氫氣;第四級:厭氧產甲烷菌,將甲酸和更多的二氧化碳還原為甲烷和水,并消耗更多的氫氣;第五級:好氧產合成氣菌,將甲烷和空氣中的氧進行部分氧化反應,生成合成氣;第六級:好氧產甲醇菌,利用特殊的催化劑,將合成氣中的一氧化碳和氫進行費托合成反應,生成甲醇半成品。
6.根據權利要求1所述的一種利用高濃度有機污水制備甲醇的方法,其特征在于,甲醇半成品在蒸餾塔中經過加熱、汽化、冷凝、回流過程,根據不同物質的沸點和相對揮發性,實現分級分離。
7.根據權利要求6所述的一種利用高濃度有機污水制備甲醇的方法,其特征在于,甲醇半成品在蒸餾塔的加熱溫度以及冷凝溫度通過以下公式計算:
TH=TB+ΔTH
TC=TD-ΔTC
式中:TH為加熱溫度,單位為攝氏度;TC為冷凝溫度,單位為攝氏度;TB為甲醇半成品的沸點,單位為攝氏度;TD為甲醇半成品的露點,單位為攝氏度;ΔTH為加熱側傳熱溫差,單位為攝氏度;ΔTC為冷凝側傳熱溫差,單位為攝氏度。
發明內容
本發明的目的之一在于提供一種利用高濃度有機污水制備甲醇的方法,通過對有機污水的處理,能夠獲得純度較高的甲醇,對有機污水加以利用,使其能夠具有更好的處理方法。
為實現以上目的,本發明通過以下技術方案予以實現:一種利用高濃度有機污水制備甲醇的方法,包括以下步驟:
第一步:植物素補碳除臭,
S1、將植物素按一定比例稀釋后,通過噴霧器或霧化器將其噴灑到有機污水表面;
S2、將經過植物素處理后的有機污水送入厭氧反應器,利用厭氧微生物將有機污水中的有機物轉化為甲酸、乙酸等揮發性脂肪酸,并同時產生氫氣和二氧化碳;
S3、將厭氧反應器出水送入好氧反應器,利用好氧微生物將揮發性脂肪酸進一步降解為無機鹽,并同時消耗氫氣和二氧化碳;
S4、將好氧反應器出水經過沉淀、過濾后處理工藝;
第二步:六級微生物深度處理,通過不同類型的微生物進行厭氧和好氧的生物反應,將有機污水中的有機物轉化為甲酸、乙酸等揮發性脂肪酸,再經過費托合成法制備成甲醇半成品。
第三步:蒸餾工藝,利用蒸餾塔將甲醇半成品中的水分和雜質分離出來,得到純度較高的甲醇。
在本發明一或多個實施方式中,上述的植物素與有機污水中的異味分子吸附、溶解,其反應時間為8-15小時。
在本發明一或多個實施方式中,上述的植物素采用木醋液、植物油、植物精油其中任意一種或兩種組合。
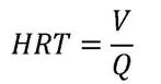
在本發明一或多個實施方式中,上述的有機污水在厭氧反應器內部的時間通過以下公式計算:![]()
式中:
HRT為水力停留時間,單位為小時或天;V為反應器容積,單位為立方米;Q為進水流量,單位為立方米/小時或立方米/天。
在本發明一或多個實施方式中,上述的六級微生物分別是:
第一級:厭氧產氫菌,這些菌可以將有機污水中的多糖、蛋白質、脂肪等大分子有機物水解為單糖、氨基酸、脂肪酸等小分子有機物,并同時產生氫氣;
第二級:厭氧產乙酸菌,這些菌可以將小分子有機物進一步轉化為乙酸、二氧化碳和更多的氫氣;
第三級:厭氧產甲酸菌,這些菌可以將乙酸和二氧化碳還原為甲酸和水,并消耗部分氫氣;
第四級:厭氧產甲烷菌,這些菌可以將甲酸和更多的二氧化碳還原為甲烷和水,并消耗更多的氫氣;
第五級:好氧產合成氣菌,這些菌可以將甲烷和空氣中的氧進行部分氧化反應,生成合成氣;
第六級:好氧產甲醇菌,這些菌可以利用特殊的催化劑,將合成氣中的一氧化碳和氫進行費托合成反應,生成甲醇半成品。
在本發明一或多個實施方式中,上述的甲醇半成品在蒸餾塔中經過加熱、汽化、冷凝、回流過程,根據不同物質的沸點和相對揮發性,實現分級分離。
在本發明一或多個實施方式中,上述的甲醇半成品在蒸餾塔的加熱溫度以及冷凝溫度通過以下公式計算:
TH=TB+ΔTH
TC=TD-ΔTC
式中:
c為加熱溫度,單位為攝氏度;TC為冷凝溫度,單位為攝氏度;TB為甲醇半成品的沸點,單位為攝氏度;TD為甲醇半成品的露點,單位為攝氏度;ΔTH為加熱側傳熱溫差,單位為攝氏度;ΔTC為冷凝側傳熱溫差,單位為攝氏度。
有益效果
本發明提供了一種利用高濃度有機污水制備甲醇的方法。與現有技術相比具備以下有益效果:
1、本發明利用高濃度有機污水中難以處理的有機物和碳水化合物,結合植物素補碳除臭工藝,通過六級微生物深度處理后轉化為甲醇半成品,再通過蒸餾工藝進一步蒸餾為成品甲醇;而植物素補碳除臭增加有機污水中的可生化性和微生物活性,同時,有效地去除有機污水中的硫化氫、氨氮等臭氣成分,提高有機污水的處理效率和質量,減少后續反應的能耗和污染。
(發明人:姚春德;劉生全;余強;游易霖;姚安仁)






