公布日:2023.09.12
申請日:2023.05.23
分類號:C01G51/04(2006.01)I;C08G73/02(2006.01)I;B01J20/26(2006.01)I;B01J20/28(2006.01)I;C01G9/02(2006.01)I
摘要
本發明提供一種從DMC催化劑污泥中高選擇性吸附回收鈷的方法,通過設計全新的特定結構的“三葉草”型高分子樹脂吸附劑和特定的工藝方法的協同作用,從特定成分的DMC催化劑污泥環境中高選擇性吸附回收鈷,且具有鈷回收率高和純度高的效果。本發明所述的方法可以將DMC催化劑污泥中的鈷(Ⅲ)離子充分釋放,然后用特定的吸附劑吸附分離,最后固定成氫氧化鈷,使得鈷回收量大,鈷回收率≥90%,且氫氧化鈷的純度≥99.0%,對于鈷濃度高達17g/L時,鈷回收率仍高達90%。進一步的,在回收鈷的同時通過控制pH值也可以將鋅離子沉淀為氫氧化鋅,純度達到90%以上。

權利要求書
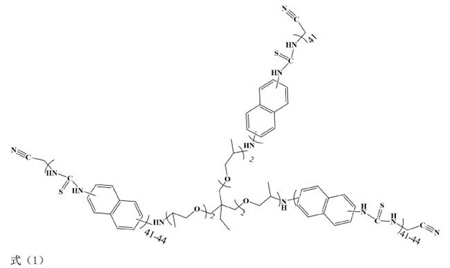
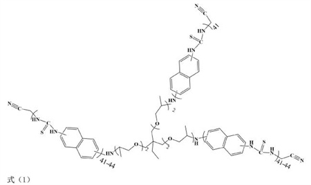
1.一種從DMC催化劑污泥中高選擇性吸附回收鈷的方法,其特征在于,具體包含以下步驟:(1)金屬元素離子化:(A)燃燒:將包含鋅鈷金屬的DMC催化劑污泥燃燒,燃燒溫度為100-300℃,得到無機混合物;(B)濃硝酸消解:選擇8mol/L-18mol/L濃度的硝酸,硝酸加入量為5-20g/g(無機混合物),加熱溫度為90-200℃,至硝酸濃縮剩余量為原加入量的1-10wt%;然后加入純水稀釋,過程中需始終控制pH<1,得到消解液;(2)吸附劑吸附:根據消解液中所含鈷的質量加入適量吸附劑,吸附劑加入量為0.153-0.5g/g(鈷),加熱溫度為30-60℃進行吸附;其中,所述吸附劑為一種“三葉草”型高分子吸附樹脂,命名為LNM,其結構如式(1)所示:

(3)過濾:吸附劑吸附后進行過濾,固液分離,得到濾液1與濾餅1,將兩者分別處理;(4)解吸:將濾餅1加入可溶性無機強堿稀溶液中攪拌,攪拌速度600-2000r/min,出現紅色沉淀,然后加入稀硝酸溶解部分固體,控制最終溶液pH<4,過濾,分別得到濾餅3和濾液3,將二者分別處理;向濾液3內加入可溶性無機強堿,調節濾液3的pH值為9-14,出現沉淀后進行過濾,濾餅4即為純凈的氫氧化鈷(Ⅱ)。
2.根據權利要求1所述的方法,其特征在于,步驟(1)中,所述燃燒的時間為5-12h。
3.根據權利要求1所述的方法,其特征在于,步驟(1)中,所述燃燒的時間為8-10h。
4.根據權利要求1所述的方法,其特征在于,步驟(1)中,所述稀釋后若有肉眼可見顆粒可進行過濾。
5.根據權利要求1所述的方法,其特征在于,步驟(2)中,所述吸附劑吸附時持續攪拌時間為0.5-3h。
6.根據權利要求1所述的方法,其特征在于,步驟(2)中,所述吸附劑吸附時持續攪拌時間為0.75-1.5h。
7.根據權利要求1所述的方法,其特征在于,步驟(4)中,所述可溶性無機強堿為氫氧化鈉、氫氧化鉀。
8.根據權利要求1所述的方法,其特征在于,步驟(4)中,所述攪拌速度為1000-1500r/min。
9.根據權利要求1所述的方法,其特征在于,步驟(4)中,攪拌時間為0.25-1.5h。
10.根據權利要求1所述的方法,其特征在于,步驟(4)中,攪拌時間為0.5-0.75h。
11.根據權利要求1所述的方法,其特征在于,步驟(4)中,所述濾液3的pH值為9-11。
12.根據權利要求1所述的方法,其特征在于,步驟(1)中(A)步驟中,所述燃燒溫度為150-200℃。
13.根據權利要求1所述的方法,其特征在于,步驟(1)中(B)步驟中,所述硝酸濃度為10-15mol/L。
14.根據權利要求1所述的方法,其特征在于,步驟(1)中(B)步驟中,所述硝酸加入量為10-15g/g(無機混合物)。
15.根據權利要求1所述的方法,其特征在于,步驟(1)中(B)步驟中,所述加熱溫度為105-160℃。
16.根據權利要求1所述的方法,其特征在于,步驟(1)中(B)步驟中,所述硝酸濃縮剩余量為1-5wt%。
17.根據權利要求1所述的方法,其特征在于,步驟(2)中,所述吸附劑加入量為0.153-0.178g/g(鈷)。
18.根據權利要求1所述的方法,其特征在于,步驟(2)中,所述加熱溫度為30-40℃。
19.根據權利要求1-18任一項所述的方法,其特征在于,在所述步驟(3)得到濾液1后,還包括氫氧化鋅析出的步驟,具體包括:加入可溶性無機強堿調節濾液1的pH值為11-13,然后固液分離,留存濾液2,向濾液2中加入稀硝酸溶液,調節pH值為6-8,此條件下氫氧化鋅析出,經過濾后得到純凈氫氧化鋅。
20.根據權利要求19所述的方法,其特征在于,所述可溶性無機強堿為氫氧化鈉、氫氧化鉀。
21.根據權利要求19所述的方法,其特征在于,調節濾液1的pH值為12-13。
22.根據權利要求19所述的方法,其特征在于,調節濾液2的pH值為6。
23.根據權利要求1所述的方法,其特征在于,所述步驟(4)中濾餅3經過解吸后再生,經真空干燥后可重新作吸附劑使用。
發明內容
針對現有技術的不足,本發明提供了一種從DMC催化劑污泥中高選擇性吸附回收鈷的方法,通過設計全新的特定結構的“三葉草”型高分子樹脂吸附劑和特定的工藝方法的協同作用,從特定成分的DMC催化劑污泥環境中高選擇性吸附回收鈷,且具有鈷回收率高和純度高的效果。本發明所述的方法可以將DMC催化劑污泥中的鈷(Ⅲ)離子充分釋放,然后用特定的吸附劑吸附分離,最后固定成氫氧化鈷,使得鈷回收量大,鈷回收率≥90%,且氫氧化鈷的純度≥99.0%,對于鈷濃度高達17g/L時,鈷回收率仍高達90%。
本發明所述的鈷回收率是指所得氫氧化鈷中所含鈷的質量與濃硝酸消解步驟后所得消解液中含有的鈷的質量的比值。
本發明采用如下技術方案,一種從DMC催化劑污泥中高選擇性吸附回收鈷的方法,所述DMC催化劑污泥是指除了鋅鈷雙金屬氰化絡合物外還包含聚酯多元醇和/或聚醚多元醇和/或吸附劑所形成的污泥,鋅鈷質量濃度比范圍是1.66-2.77∶1,所述鈷為+3價,所述一種從DMC催化劑污泥中高選擇性吸附回收鈷的方法,具體包含以下步驟:
(1)金屬元素離子化:
(A)燃燒:將包含鋅鈷金屬的DMC催化劑污泥燃燒,燃燒溫度為100-300℃,通過燃燒步驟可以去除聚醚多元醇、小分子有機配體等有機物,得到無機混合物;
(B)濃硝酸消解:選擇8mol/L-18mol/L濃度的硝酸,硝酸加入量為5-20g/g(無機混合物),加熱溫度為90-200℃,至硝酸濃縮剩余量為原加入量的1-10wt%;然后加入純水稀釋,過程中需始終控制pH<1,得到消解液;其中單位g/g(無機混合物)是指每g無機混合物需加入多少g的硝酸;
(2)吸附劑吸附:測試步驟(1)中消解液的鈷(Ⅲ)離子濃度,根據消解液中所含鈷的質量加入適量吸附劑,吸附劑加入量為0.153-0.5g/g(鈷),加熱溫度為30-60℃進行吸附;其中單位g/g(鈷)是指每g鈷需加入多少g的吸附劑進行吸附;
其中,所述吸附劑為一種“三葉草”型高分子吸附樹脂,命名為LNM,其結構如式(1)
所示:

所述鈷(Ⅲ)離子濃度檢測方法為采用電感耦合等離子光譜法(ICP)測其濃度,單位為g/L,具體的,準確測量步驟(1)所得消解液的體積V,然后取適量消解液,用電感耦合等離子光譜法(ICP)檢測得出鈷(Ⅲ)離子濃度為C0(鈷),單位為g/L,則鈷質量的計算公式為:m(鈷)=C0(鈷)*V。
吸附劑對鈷(Ⅲ)離子吸附量的計算公式為:吸附量(g(鈷)/g(吸附劑))=(C0(鈷)-C1)
V1/m(吸附劑),
其中,C0(鈷)是指鈷(Ⅲ)離子初始濃度,與上述鈷質量的計算公式中C0(鈷)相同;C1是指鈷(Ⅲ)離子被吸附后消解液中鈷(Ⅲ)離子濃度;V1是指被吸附后消解液的體積,吸附前后體積幾乎不變V1=V;m(吸附劑)是指吸附劑質量。
(3)過濾:吸附劑吸附后進行過濾,固液分離,得到濾液1與濾餅1,將兩者分別處理;
(4)解吸:濾餅1的主要成分是吸附劑以及吸附在上面的鈷(Ⅲ)離子,將濾餅1加入可溶性無機強堿稀溶液中攪拌,攪拌速度600-2000r/min,出現紅色沉淀,然后加入稀硝酸溶解部分固體,控制最終溶液pH<4,過濾,分別得到濾餅3和濾液3,將二者分別處理;向濾液3內加入可溶性無機強堿,調節濾液3的pH值為9-14,出現沉淀后進行過濾,濾餅4即為純凈的氫氧化鈷(Ⅱ)。
本發明所述的方法,通過嚴格控制燃燒、消解等離子化過程參數,用純水稀釋消解液是防止引入水中的雜質,形成了含有+3價鈷離子的酸性溶液,然后利用全新的特定結構的“三葉草”型高分子樹脂吸附劑和控制吸附條件進行吸附,將+3價鈷離子從含鋅、鈷、鎂、鐵、鈣等多種金屬離子存在的溶液中高選擇性高穩定性的“束縛”在吸附劑中,最后通過調節pH值達到解吸和固定鈷的目的。本發明所述的方法可以將DMC催化劑污泥中的鈷(Ⅲ)離子充分釋放,然后用特定的吸附劑吸附分離,最后固定成氫氧化鈷,使得鈷回收量大,鈷回收率≥90%,且氫氧化鈷的純度≥99.0%,對于鈷濃度高達17g/L時,鈷回收率仍高達90%。
優選的,步驟(1)(A)步驟中,所述燃燒的時間為5-12h;更優選的為8-10h;
優選的,步驟(1)(A)步驟中,所述燃燒溫度為150-200℃;
優選的,步驟(1)(B)步驟中,所述硝酸濃度為10-15mol/L;
優選的,步驟(1)(B)步驟中,所述硝酸加入量為10-15g/g(無機混合物);
優選的,步驟(1)(B)步驟中,所述加熱溫度為105-160℃;
優選的,步驟(1)(B)步驟中,所述硝酸濃縮剩余量為1-5wt%;
優選的,步驟(1)(B)步驟中,所述稀釋后若有肉眼可見顆粒可進行過濾;
優選的,步驟(2)中,所述吸附劑加入量為0.153-0.178g/g(鈷);
優選的,步驟(2)中,所述加熱溫度為30-40℃;
優選的,步驟(2)中,所述吸附劑吸附時持續攪拌時間為0.5-3h;更優選的為0.75-1.5h;
優選的,步驟(4)中,所述可溶性無機強堿為氫氧化鈉、氫氧化鉀;
優選的,步驟(4)中,所述攪拌速度為1000-1500r/min;
優選的,步驟(4)中,攪拌時間為0.25-1.5h,更優選的為0.5-0.75h;
優選的,步驟(4)中,所述濾液3的pH值為9-11。
所述氫氧化鈷的純度高達99.0%以上;
進一步的,在所述步驟(3)得到濾液1后,還包括氫氧化鋅析出的步驟,具體包括:
加入可溶性無機強堿調節濾液1的pH值為11-13,在此pH值下可將氫氧化鋅溶解且保證其他金屬離子成氫氧化物沉淀形式,然后固液分離,留存濾液2,向濾液2中加入稀硝酸溶液,調節pH值為6-8,此條件下氫氧化鋅析出,經過濾后得到純凈氫氧化鋅;
優選的,所述可溶性無機強堿為氫氧化鈉、氫氧化鉀;
所述氫氧化鋅純度≥90%以上;
優選的,調節濾液1的pH值為12-13;
優選的,調節濾液2的pH值為6。
濾液1內的金屬元素成分與濃硝酸消解后的成分相比,只是少了鈷,其他如鎂、鐵等金屬離子可能存在其中,氫氧化鋅是一種兩性氫氧化物,而氫氧化鎂、氫氧化鐵等也略顯兩性,因此氫氧化鋅的析出過程需要嚴格控制pH值才可保證氫氧化鋅的純凈度。
進一步的,所述步驟(4)中濾餅3是本發明所述的吸附劑LNM,經過解吸后再生,經真空干燥后可重新作吸附劑使用。本發明所述的吸附劑是一種“三葉草”型高分子吸附樹脂吸附劑,其三條長鏈鏈段上有相近數目的萘環與硫脲基團,末端均由氰基封端,三條長鏈連接處為特定結構的三胺聚醚胺化合物,本發明所述特定結構的樹脂吸附劑具有可解吸再生的特點,初次吸附最大吸附量高達6.0g/g(吸附劑),可多次重復利用,再生后吸附劑的吸附量仍高達5.0g/g(吸附劑),其中單位g/g(吸附劑)的含義是指每g吸附劑能吸附多少g的鈷離子。
DMC催化劑污泥由于多金屬與大量有機聚合物的共同存在,這種特定成分的DMC催化劑污泥環境對鈷的回收帶來極大的困難,更困難的是,DMC催化劑污泥中的多金屬大多數為鋅和鈷共存,鋅和鈷二者屬于同一周期,化學性質相近,且本發明所述DMC催化劑污泥鋅含量高于鈷,鋅鈷二者質量濃度比范圍是1.66-2.77∶1,宏觀上吸附劑極易優先吸附含量高的金屬離子,極難通過樹脂吸附法分離鈷。因此,本發明所述的方法,通過精確控制燃燒和消解步驟參數、控制吸附劑加入量與吸附條件參數、解吸步驟等參數,使各步驟之間緊密銜接、吸附劑與方法參數之間相互配合,通過上述多個特征的整體協同作用才能實現本發明的效果。具體的,本發明的方法選擇濃硝酸作消解酸液,而不是其他類型的酸,其目的是為了保證形成的+3價鈷離子,且消解過程危險系數低。+3價鈷離子缺電子性強,在眾多+2價金屬離子中首先被電子吸引,本發明特定的吸附劑具有三葉草型結構,其三條長鏈鏈段上有相近數目的萘環與硫脲基團,末端均由氰基封端,三條長鏈連接處為特定結構的三胺聚醚胺化合物,同時精確控制吸附劑加入量、加熱溫度、攪拌時間等吸附條件,通過上述多特征的協同作用下鈷(Ⅲ)離子形成配位金屬,鍵合能強,就表現出鈷(Ⅲ)離子牢牢“束縛”在吸附劑上。鈷(Ⅲ)離子優先被選擇后,整體電荷數提高,鈷(Ⅲ)離子孔道被占據就表現出排斥效應,就不容易再吸附其他類金屬離子,當鈷(Ⅲ)離子電荷數中和、孔道被占滿就表現出不再吸附,即達到吸附劑的最大吸附容量。當鈷離子被固定在吸附劑上,由于本發明所述吸附劑的三葉草型結構的配位包覆作用,使鈷離子不易自行解吸,從而就與其他游離態的金屬離子分別開來,經過過濾可以分離。而解吸時,由于鈷離子與吸附劑形成的配位鍵鍵能一般較低,通過改變配位化合物所處溶液環境就可以破壞其結構,因此加入氫氧根,形成堿性環境,鈷離子成為更穩定的沉淀,并無有毒性氣體釋放情況下將鈷完成從+3價向+2價的轉變。當吸附劑與氫氧化鈷同為沉淀無法進行簡單分離,因此本發明選擇氫氧化鈷沉淀消失再生成的工藝路線分離吸附劑與鈷,加入稀硝酸后,氫氧化鈷沉淀消失,只剩下吸附劑沉淀,可進行過濾分離。分離后濾液中有硝酸根、鈉離子、鈷(Ⅱ)離子,溶解性都極高,用氫氧化鈉調節濾液pH值,濾液中再次生成氫氧化鈷沉淀。相比于將濾液濃縮結晶方式固定鈷,本發明的再次沉淀獲得的鈷產物純凈度高。
本發明的技術方案具有如下有益效果∶
(1)本發明提供了一種從DMC催化劑污泥中高選擇性吸附回收鈷的方法,通過全新的特定結構的“三葉草”型高分子樹脂吸附劑和特定的工藝方法的整體協同作用,從特定成分的DMC催化劑污泥環境中高選擇性吸附回收鈷,本發明所述的方法可以將DMC催化劑污泥中的鈷(Ⅲ)離子充分釋放,具體的,通過本發明嚴格控制燃燒、消解等離子化過程參數,形成了含有+3價鈷離子的酸性溶液,然后利用特定結構的“三葉草”型高分子樹脂吸附劑和控制吸附條件進行吸附,將+3價鈷離子可以從含鋅、鈷、鎂、鐵、鈣等多種金屬離子存在的溶液中高選擇性高穩定性的“束縛”在吸附劑中,最后通過調節pH值達到解吸和固定鈷的目的,使得鈷回收量大,鈷回收率≥90%,且氫氧化鈷的純度≥99.0%,對于鈷濃度高達17g/L時,鈷回收率仍高達90%。
(2)本發明混合金屬溶液中還含有大量的鋅離子,在回收鈷的同時通過控制pH值也可以將鋅離子沉淀為氫氧化鋅,其純度達到90%以上。
(3)本發明方法中所述的吸附劑最大吸附量高達6.0g/g(吸附劑),在完成鈷的吸附后能夠解吸再生,再生后其吸附量仍高達5.0g/g(吸附劑),能夠實現多次重復利用。
(發明人:李俊巧;毛紅兵;宋一彤;陳圣岳)






