水體氟污染是全世界廣泛關注的環境問題。據統計,全球有近2億人長期飲用氟化物超標的地下水。氟攝入過量會引起氟斑牙、骨質疏松、脆性骨骼等疾病,對人體健康造成嚴重危害。世界衛生組織(WHO)要求飲用水中氟化物的質量濃度不高于1.5mg·L−1,而我國則制定了更為嚴格的飲用水氟化物標準(≤1.0mg·L−1)。工業生產是水體氟污染的重要來源之一,其中金屬冶煉、化肥、電鍍、半導體等行業在生產過程中會產生大量的酸性含氟廢水,該類廢水的穩定達標處理是相關行業可持續發展的重要保障。
當前常用的污水除氟技術包括:沉淀法、膜分離法、離子交換法、電絮凝法以及吸附法等。其中吸附法簡單高效、運行穩定,常用于含氟廢水的深度處理。近年來,納米金屬氧化物(nanosizedmetaloxides,NMOs)因比表面積大、活性位點多、吸附速率快、吸附容量大等特點,成為吸附除氟領域的研究熱點,其中最具代表性的有Al、Mg、La、Ce和Zr等金屬氧化物吸附材料。NMOs能夠通過表面羥基的配體交換作用與氟離子形成穩定的M–F內核配位結構,實現污水中氟的選擇性吸附。然而,NMOs在酸性溶液中缺乏穩定性,溶解的金屬離子將導致二次污染,這極大限制了NMOs在復雜工業廢水處理中的適用性。
近期的研究表明,磷酸鈰(ceriumphosphate,CeP)對重金屬離子表現出良好的吸附性能,且在酸性或有機配體共存的溶液中具有優異的化學穩定性。氧化鈰能通過羥基配體交換、配位絡合等作用實現氟的高效吸附,而CeP與氧化鈰具有類似的Ce–O結構,由此推測CeP也能擁有良好的除氟性能。目前,環境領域有關CeP的研究多集中于陽離子污染物的吸附去除,對陰離子吸附行為的研究較少。因此,本研究擬采用液相沉淀法制備CeP納米吸附劑,考察其對酸性廢水中氟的吸附特性,探究其理化性質及除氟機制,以期為酸性含氟廢水的深度處理提供技術支撐。
1、材料與方法
1.1 材料與試劑
實驗所用硝酸鈰銨(Ce(NH4)2(NO3)6)、磷酸、氟化鈉、無水乙醇、冰醋酸、氯化鈉、檸檬酸鈉、硫酸鈉、氫氧化鈉、硝酸鈉均為分析純,硝酸鈰銨購自Sigma-Aldrich公司,其余試劑均購自國藥集團有限公司,實驗用水為去離子水。離子交換法是污水除氟最常用的技術之一,而水合氧化鈰(hydratedceriumoxides,HCO)是目前研究較多的Ce基吸附材料,因此本研究選擇陰離子交換樹脂D201(浙江爭光實業股份有限公司)和HCO(自制)開展對比實驗。
1.2 材料制備
CeP的制備:將5g硝酸鈰銨溶解于50mL10%乙醇的去離子水中,隨后將其與200mL12moL·L−1的磷酸溶液混合,反應生成淡黃色的CeP凝膠;室溫條件下繼續攪拌反應12h,離心去除上清液得到CeP沉淀,用去離子水沖洗沉淀直到出水pH達中性,然后將其置于105℃的鼓風干燥箱內干燥12h,研磨后制得CeP納米吸附劑。
HCO的制備:將5g硝酸鈰銨溶解于50mL含10%乙醇的去離子水中,向溶液中滴加1mol·L−1的氫氧化鈉溶液至pH達12,繼續攪拌反應12h,離心去除上清液得到Ce(OH)4沉淀,用去離子水沖洗沉淀直到出水pH達中性,105℃烘干12h后研磨得到HCO納米吸附劑。
1.3 實驗方法
實驗中吸附劑用量均為0.50g·L−1,反應在含有100mL溶液的錐形瓶中進行,無特殊說明溶液初始氟質量濃度均為10mg·L−1,pH=3.0,吸附反應溫度為298K,使用濃度為1mol·L−1的HCl或NaOH調節溶液pH。分別調節不同錐形瓶中溶液的pH至1~12,于298K條件下恒溫振蕩24h,考察pH對CeP除氟性能的影響。分別加入不同濃度的共存離子(SO42−、Cl−、NO3−和HCO3−),考察CeP對氟的選擇性吸附性能。吸附動力學實驗中,將0.5gCeP放入含1000mL氟溶液的三口燒瓶中,每隔一段時間取5mL溶液測定氟離子質量濃度;取吸附平衡后的CeP樣品進行FT-IR和XPS分析,研究其吸附機理。等溫吸附實驗分別在溫度為298、303和308K的條件下開展,并控制溶液氟的初始質量濃度為10~100mg·L−1。采用1mol·L−1的NaOH溶液對吸附飽和的CeP進行脫附,考察材料的再生和重復利用性能。
1.4 分析方法
氟濃度使用氟離子選擇電極(PXS-270,INESA,上海儀電)測量;pH穩定性實驗中Ce濃度采用ICP-MS(ICP-Optima7300DV,PerkinElmer,USA)測定。采用Nova-3000氮氣吸附儀(Quantachrome,USA)測定CeP的比表面積;CeP的顆粒形貌通過掃描電鏡SEM(S-4800II,17Hitachi,Japan)和透射電子顯微鏡TEM(Tecnai12,Philips,Netherlands)測定;使用多晶X射線衍射儀XRD(D8Advance,Bruker-AXS,Germany)測定CeP的晶體形態,采用傅里葉變換紅外光譜FT-IR(Cary5000,Varia,USA)分析CeP吸附前后表面化學基團的變化,利用X射線光電子能譜(ESCALAB250Xi,ThermoFisher,USA)分析CeP吸附前后的能譜變化。
2、結果和討論
2.1 結構表征
制得的CeP納米吸附劑比表面積為95.48m2·g−1,且孔徑在微孔和中孔區域呈現雙峰分布(圖1(a))。由SEM(圖1(b))和TEM(圖1(c))表征結果可知,CeP以不規則納米片的形式存在,粒徑約為50~100nm。CeP的XRD衍射圖(圖1(d))中沒有出現明顯的衍射峰,說明CeP主要為無定形形態。樣品Ce3d的XPS高分辨能譜(圖1(e))可分解為10個特征峰,分別為Ce(IV)和Ce(III),表明制得的CeP中鈰元素以Ce(IV)和Ce(III)的混合價態存在,這可能與制備過程中CeP表面產生了部分氧空位有關。

圖1 CeP的表征圖
為進一步考察CeP在酸堿廢水中長期使用的穩定性,本研究測定了CeP在溶液pH=1~12條件下Ce的溶出率,并與HCO進行對比分析。由圖2可知,當溶液pH≥5.0時,CeP與HCO均未檢測到有Ce溶出;當pH=3.0時,CeP仍未檢測到Ce的溶出,而HCO中Ce溶出率上升至0.8%;進一步降低pH到1.0時,CeP的Ce溶出率僅為3.14%,而HCO的Ce溶出率則高達15.23%。上述實驗結果表明,CeP在酸性溶液中的穩定性明顯優于HCO,可在酸性廢水處理中長期穩定使用。

圖2 CeP和HCO在不同pH條件下Ce的溶出率
2.2 pH影響
溶液pH不僅會改變CeP的荷電狀態,還會影響氟化物在溶液中的賦存形態,從而對CeP的除氟性能產生顯著影響。由圖3(a)可知,CeP在酸性條件下(pH≤4)具有較好的除氟性能,當pH=2.5時,其除氟吸附量達到最大(14.67mg·g−1)。隨著溶液pH的升高,CeP的除氟性能開始急劇下降,當pH>8.0時其吸附量接近于零。上述現象與不同溶液pH條件下CeP的荷電狀態以及氟化物的賦存形態有關(圖3(b))。具體而言,酸性條件下CeP因質子化而帶正電,這有利于CeP對負電性氟離子的吸附(式(1)~(2));隨著溶液pH升高至4以上,CeP對氟的吸附性能開始快速下降,這主要是由于CeP去質子化后表面帶負電,對F−產生靜電排斥效應。當溶液pH進一步升高至堿性范圍,CeP對氟的吸附量降至接近于零。這主要由于pH升高后溶液中OH−濃度增加,與F−競爭CeP的表面吸附位點(式(3))。值得注意的是,當pH低于3.18時溶液中氟主要以HF的形式存在,而此時CeP對氟仍然具有較高的吸附容量,說明CeP和HF之間存在較強的內配位絡合作用(式(4))。綜合考慮材料的穩定性和除氟性能,后續實驗均在pH=3.0的條件下開展。

圖3 溶液pH對CeP除氟的影響和HF的pKa

2.3 競爭離子影響實驗
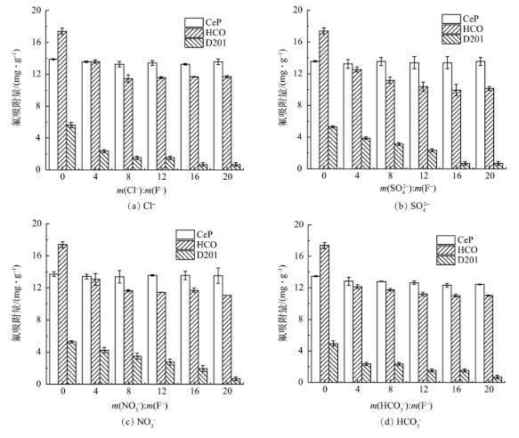
真實含氟廢水水質較為復雜,除氟化物外一般還含有一定量的共存離子。吸附過程中共存離子會與氟競爭吸附位點,從而影響吸附劑的除氟性能。本研究選擇廢水中普遍存在的SO42−、Cl−、NO3−和HCO3−作為代表性離子,考察不同濃度共存離子對CeP除氟性能的影響,并選擇HCO和D201進行對比研究。如圖4所示,CeP的除氟性能幾乎不受共存離子的影響。表明CeP對氟的吸附具有良好的選擇性,這是由于氟離子可以提供共用電子對與CeP形成較強的內配位絡合物,從而實現對氟的特異性吸附。當HCO3−與F−摩爾比大于16后CeP除氟性能出現小幅下降,這與HCO3−具有一定的堿性緩沖作用有關。HCO的除氟性能在共存離子與氟的摩爾比升高至4時出現一定程度的下降,繼續增加共存離子濃度HCO的除氟性能保持基本穩定,說明HCO對氟的吸附也具有一定的選擇性。與CeP和HCO形成鮮明對比的是,D201的除氟性能隨著共存離子濃度的升高顯著下降。這是由于D201僅能通過靜電吸引或離子交換作用除氟,而高濃度共存離子會對氟的吸附產生強烈的競爭。

圖4 共存離子對CeP、HCO和D201除氟性能的影響
2.4 吸附動力學
吸附動力學實驗結果如圖5所示。可見,CeP在前10min對氟的吸附速率較快,吸附量呈線性上升,隨后吸附速率逐漸下降并在90min達到吸附平衡。前10min較快的吸附速度是由于CeP具有較高的比表面積,在溶液中能夠暴露氟的吸附的活性位點;當CeP表面的活性位點被氟占據后,溶液中游離態的氟必須擴散到CeP內部才能夠被吸附,導致10min后吸附速率逐漸減緩直至達到吸附平衡。分別采用偽一階動力學(式(5))和偽二階動力學(式(6))模型對吸附數據進行擬合,結果如表1所示。可以看出,偽二階動力學模型能更好的擬合實驗數據,且擬合所得平衡吸附量更接近實驗結果。

圖5 CeP對氟的吸附動力學


式中:qt和qe分別為t時刻和平衡時的氟吸附量,mg·g−1;k1為偽一階動力學反應速率常數,min−1;k2為偽二階動力學反應速率常數,g·(mg·min)-1。
2.5 吸附熱力學
溫度也是影響吸附性能的重要因素之一。本研究分別考察了298、303和308K下CeP的除氟性能,結果如圖6所示。分別采用Langmuir(式(7))和Freundlich(式(8))等溫吸附模型對實驗數據進行擬合,擬合結果如表2所示。結果表明,CeP對氟的等溫吸附過程更符合Langmuir模型,所得R2值均高于0.99,且在298K條件下擬合所得最大吸附量為49.72mg·g−1。表3對比了不同吸附材料對氟的吸附性能,可以看出CeP的除氟性能明顯優于其他材料。

圖6 CeP對氟的吸附等溫線



式中:Ce為吸附平衡時氟化物的質量濃度,mg·L−1;qe為平衡吸附量,mg·g−1;qmax為最大吸附量,mg·g−1;KL為Langmuir模型的平衡常數,L·mg−1;KF為Freundlich模型的平衡常數,mg·g−1;1/n為異質性因子。
為進一步闡明CeP對氟的吸附熱力學機制,根據式(9)和式(10)計算CeP吸附氟過程中的自由能變化(ΔG)、焓變(ΔH)和熵變(ΔS),熱力學平衡常數可根據式(11)計算。

式中:R為氣體常數,為8.314J·(mol·K)−1;T為溫度,K;K為熱力學平衡常數。

式中:ρ為水的密度,為1000g·L−1。
假設在所研究的范圍內溫度恒定,且忽略∆H隨溫度變化的影響。CeP吸附氟的熱力學計算結果如表4所示。吸附過程中ΔG<0表明吸附過程為自發性的;ΔH<0表示吸附過程是放熱反應,低溫有利于CeP對氟的吸附。此外,焓變的負值較大,說明焓變是自發反應的主要原因,其對吸附過程的影響遠遠大于熵變的影響。

2.6 循環再生實驗
吸附-再生循環實驗有助于考察CeP在含氟廢水處理中的實際應用潛力。由pH影響實驗可知,CeP在堿性條件下對氟幾乎完全喪失吸附能力,因此,本研究選擇1mol·L−1的NaOH為脫附劑對吸附飽和的CeP進行脫附再生,并在脫附后依次采用5%的NaCl溶液和去離子水對CeP進行漂洗,以消除殘留NaOH對下一批次吸附實驗的影響。如圖7所示,經過連續5次吸附-再生循環后,CeP仍可保留初始吸附量的90%。表明CeP具有良好的再生性能和穩定性,可循環用于含氟廢水的處理。

圖7 CeP再生次數對除氟效果的影響
2.7 吸附機理
1)FTIR光譜分析。CeP吸附氟前后的紅外光譜如圖8所示,3150~3400cm−1處的吸收帶以及1630cm−1處的吸收峰歸屬于CeP結合水中O—H鍵的伸縮與彎曲振動峰;1016cm−1處的強吸收峰歸因于PO43-中P—O鍵的對稱伸縮振動;在1402cm−1處的特征吸收峰對應Ce—OH的彎曲振動峰,吸附后Ce—OH吸收峰強度顯著降低,這是由于CeP表面羥基被吸附的氟取代所致。吸附前CeP在535cm−1處的吸收峰主要源自Ce—O的伸縮振動,吸附后吸收峰強度明顯降低并發生一定程度的藍移(523cm−1),同時在605cm−1處出現一個新的吸收峰,說明可能形成了Ce—F配合物。綜上所述,CeP對氟的吸附機制包括表面羥基與氟離子的配體交換作用,這種吸附作用符合路易斯酸堿配位理論(金屬配位),相比于單純的離子交換或者靜電吸附,配體交換存在較強的選擇性。通過XPS能譜的表征分析,可以進一步闡明其吸附機制。

圖8 CeP吸附氟前后的FTIR光譜
2)XPS能譜分析。CeP吸附氟前后的XPS能譜如圖9所示,吸附后在683.4eV處出現了1個新的F1s峰(圖9(a)~(b)),表明氟已被CeP成功吸附;該峰與氟化鈉的標準F1s峰(684.9eV)相比向低結合能方向偏移了1.5eV,表明CeP和氟之間存在較強的吸附親和力。吸附前,O1s能譜可分解為532.5eV(結合水)、530.8eV(Ce—OH)和530.2eV(Ce—O/P—O)3個特征峰,吸附后Ce—OH的峰面積占比由62.5%下降到45.7%(圖9(c)~(d)),表明CeP的表面羥基(—OH)通過配體交換被氟離子取代,這與FT-IR分析結果一致。

圖9 CeP吸附氟前后的XPS能譜
3、結論
1)通過液相沉淀法制備納米磷酸鈰吸附劑(CeP),其比表面積為95.48m2·g−1,主要以50~100nm納米片的形式存在,在酸堿溶液中具有良好的化學穩定性。
2)溶液pH對CeP的除氟性能有較大的影響,當pH=2.5時,CeP的吸附量達到最大;CeP對氟的吸附屬于自發放熱反應,當溫度為298K時CeP的最大擬合吸附量可達49.72mg·g−1。
3)CeP的除氟機制主要包括靜電吸引、配體交換和內配位絡合等作用,其中內配位絡合具有較強的特異性,有助于CeP在高濃度競爭離子存在下對氟的選擇性吸附。
4)采用NaOH溶液可以實現吸附飽和CeP的高效再生,再生后其除氟性能沒有明顯下降,在酸性含氟廢水的深度處理領域具有良好的應用潛力。(來源:揚州大學環境科學與工程學院,江蘇啟創環境科技股份有限公司)



