1、引言
隨著國家對環保指標要求的日益提高,在可預見的未來COD將成為制約工廠發展的瓶頸。如何有效去除廢水中COD已成為廢水處理過程中急需解決的難題。
銅冶煉在金、銀、鉑、鈀、硒、碲等提純過程中,因使用硫酸、鹽酸、液堿以及各類氧化劑、還原劑物質,產出許多介質各異的工藝廢水,這些廢水具有一個共同點就是鈉鹽、氯鹽含量高。工藝廢水主要來自分銀液沉銀、甲醛還原銀工序,以及來自銅陽極泥一次、二次預處理脫雜、分銅液沉銀、鉑鈀置換等工序。目前,為保證工藝廢水經過處理后達標,高鹽還原性廢水與高銅砷鈉氯鹽廢水分兩個系統單獨處理。
高鹽還原性廢水加入納米鐵粉置換微量金銀后,鼓風氧化、澄清,檢測銅達標后外排。高銅砷鈉氯鹽廢水集中后,經過一次凈化、二次凈化工序回收銻、鉍后,凈化后液加入石灰沉淀銅砷。沉銅后液進入復雜多金屬廢水處理生產線,通過加入納米鐵粉、聚鐵、絮凝劑等藥劑,廢水中少量重金屬Cu、As被還原吸附、絮凝沉淀,經過濃縮壓濾、液固分離后,壓濾出水排往工廠總外排水池,其中出水中銅、砷、鉛、鋅、鎘重金屬含量可以達到GB25467-2010要求,但COD超過國家排放標準。

表1為兩股廢水COD含量情況。由此可以知道,系統處理后兩股排水COD高于國家標準(國家標準為60mg/L)。兩股排水給工廠總排水COD指標造成很大影響。
由于環保的敏感性,很難咨詢到國內其它銅冶煉生產企業相關信息。根據查閱資料顯示,國內去除COD研究最多的方法是采用試劑氧化法,包括雙氧水氧化、高錳酸鉀氧化、空氣氧化等等,而且隨著科技的發展,化學混凝法、電化學法、臭氧氧化法、生物吸附法、微電解法等治理COD的新方法、新技術陸續有成果報道。但究竟哪一種方法適合高鈉鹽、高氯鹽廢水,能實現效果好、成本低,還有待于進一步系統研究。
目前對于氯離子的去除并無十分行之有效的辦法,對于高鹽氯根濃度的廢水來說,如果水量很小,可以考慮使用膜法來去除,如離子交換、電滲析等,實驗室內去除氯離子的方法還有使用銀離子,產生的氯化銀可以沉淀,但成本極高。
去除廢水中COD的方法:
絮凝法:投資小、操作簡單。絮凝劑種類、投入量、原水的pH和COD值及原水水質等因素均會影響絮凝法去除COD的效果。有研究表明,用聚合氯化鋁作為絮凝劑,pH=7的條件下,采用兩段工藝,可以使脫硫后廢水含COD量降至40mg/L以下。
利用黃鉀鐵礬類礦物形成過程預含硫含高濃度COD廢水:對某含高濃度COD工業廢水進行預處理,除去一定量的SO4-,最佳工藝條件為pH值為2.50~3.20,氯化鐵晶體FeCl3·6H2O)最佳投入量為50g/L。經過兩次黃鉀鐵礬類礦物沉淀過程,該廢水COD的去除率達到85.29%,結合H2O2的氧化處理,COD去除率可達96%。
用硅藻土回收染料廢水中的亞硫酸鈉:研究結果表明,采用此法獲得的晶體亞硫酸鈉,其回收率和相對含量都優于篩網過濾法;應用Garman方程計算出過濾定量液體所使用的最佳硅藻土助濾劑用量及對應壓力。
添加氫氧化鈣:含亞硫酸的廢水投加氫氧化鈣反應生成氫氧化鈉和亞硫酸鈣,通過沉淀分離將難溶的亞硫酸鈣從水中清除,堿性廢水與酸性廢水中和。
Fenton氧化-生物接觸氧化工藝:陳思莉等采用Fenton氧化-生物接觸氧化工藝處理含甲醛和烏洛托品的模擬廢水(簡稱廢水),在H2O2(體積分數30%)加入量2.5g/L、H2O2與Fe2+質量濃度比3.75、反應時間3h、不調節廢水初始pH的Fenton氧化預處理最佳操作條件下,廢水COD從1000mg/L左右降至300mg/L,COD去除率達72%。原廢水完全無法直接進行生化處理,經Fenton氧化預處理后其BOD/COD約為0.5,易于生化處理。Fenton氧化-生物接觸氧化工藝處理廢水,生物接觸氧化停留時間為12h時,廢水COD去除率高達94%,處理后出水COD小于70mg/L,處理效果很好。
超聲波-Fenton試劑-曝氣相結合處理:最佳工藝條件:100mLCOD為11500mg/L的廢水(初始pH=5)在超聲功率為200W下,輻射60min,H2O2用量1.3mL,FeSO4用量為0.069的條件下,COD去除率達到83%。
尿素除COD:尿素對廢水的COD去除效果顯著,一次性去除率達到81%以上;生成白色沉淀,合成有用物質甲基脲,具有很好的經濟效益和環境效益。
用少量Fenton試劑對工業廢水進行預處理:使廢水中的難降解有機物發生部分氧化,改變它們的可生化性、溶解性和混凝性能,利于后續處理。由實驗數據可知,廢水經調酸至pH=2+曝氣+Fenton反應對此廢水COD有一定的去除效果,但效果不佳;分析可能是廢水中氯離子濃度高,對檢測造成干擾(原水氯離子濃度高達30000mg/L)。
本研究注重綜合法得到好的治理效果,同時考慮以廢治廢。
2、原料
高鹽還原性廢水處理前其主要成分如表2。

由表2可知,高鹽還原性廢水含COD極高,同時含有少量的堿和一定量的亞硫酸鈉離子,高氯根是COD難處理的最大障礙。

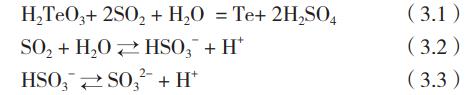
由表3可知,酸性廢水同樣含較高的COD,但同時含有一定量的有價稀散元素碲。3試驗原理及工藝流程對于高鹽還原性廢水,造成COD居高不下除了微量的有機物甲醛外,主要是亞硫酸鈉,酸性廢水含有溶解的二氧化硫,去除二氧化硫是最直接有效的方法,同時利用其還原性,得到稀散元素粗碲粉。
主要反應方程式為:

高鹽還原性廢水處理原則流程圖

由圖1可知,該工藝的主要特點有:
(1)通過對高鹽還原性廢水進行貴金屬酸性還原后液預處理,還原得到粗碲粉,亞硫酸鈉得到充分利用;
(2)三氯化鐵在pH5~6范圍內,可以較好地去除COD,同時鐵離子本身是脫除COD的良好載體;
(3)在一定pH值下,采用儀器產生的臭氧,最終大幅降解COD。
4、實驗方法與結果
4.1 應用臭氧發生儀產生的O3直接降低COD
臭氧發生儀是臭氧發生器的一種名稱,也稱為臭氧機、臭氧發生機等,就是制取臭氧的設備或裝置。制取臭氧的方法大致有DBD介質阻擋等離子體放電法、電解水、紫外照射法、核輻射法等,應用最廣泛的是DBD法制取臭氧。產生臭氧的最基本裝置成為臭氧單元,它由DBD放電體和臭氧電源組成。臭氧作為消毒劑、氧化劑、脫色劑、除味劑、氧化劑,在醫療、制藥、食品、電子、化工、水處理等行業廣泛使用。
本研究首先考慮利用臭氧直接處理高氯鹽堿性廢水降解COD,控制氧化反應時間24h,反應溫度80℃。結果見表4。

試驗結果表明,COD可將解率40%左右。分析原因,直接降解無法把影響COD物質在高pH值條件下直接氧化。
4.2 應用酸性液降低部分COD
高氯堿性廢水主要含亞硫酸鈉,利用鉑鈀置換后液酸性廢水對其對沖,鉑鈀置換后液含少量稀散元素,起到還原和中和多重作用,進行預處理取得良好的實際效果,試驗結果如下表,兩股水比例1/1。

試驗結果表明,鉑鈀置換后液/銀過量還原后液=1/1,COD降低幅度為42%,同時得到含碲59.52%,含銀2.4%,含金0.456%的富碲渣,中和后液含碲從3.38g/L降至0.01g/L,還原率為99.70%。
4.3 藥劑氧化法降低COD
4.3.1 雙氧水的脫除效果
預處理后液雙氧水氧化試驗。試驗結果表明,按雙氧水/預處理后液=1%/1.5%/3%(體積比)時,其COD降低幅度分別為36%/24%/-14%,折算總降低率分別為63%/56%和32%。試驗結果如下。

試驗結果表明,適量加入雙氧水有益于降解COD,但在給定酸性條件下,過量雙氧水效果不佳,其機理有待探討。
4.3.2 FeCl3氧化試驗
高氯堿性廢水FeCl3氧化試驗。
有資料顯示,FeCl3降解COD最佳pH值為5~6,而石灰同樣起到降解COD的作用。
按FeCl3/銀過量還原后液=5%(體積比)時,其COD降低幅度為46.03%,試驗結果如表7。

試驗結果表明高氯堿性廢水采取石灰和三氯化鐵進行降解COD,取得良好的實際效果,但降幅未能大幅降解,需要結合其它方式方法綜合處理。
4.4 綜合法降低高氯鹽堿性廢水COD
嘗試臭氧氧化法新技術為主導,對高氯鹽堿性廢水COD進行降解,并開展綜合性實驗研究,考察其脫除效果。
首先對高氯鹽堿性廢水采取預中和還原處理:調整酸性廢水/高氯鹽堿性廢水=1L/2.5L,pH=1.46,加石灰調pH值和FeCl3預氧化,利用O3發生器對其進行深度氧化5h,O3氧化液,加10mL雙氧水深度氧化。試驗結果如表8。

試驗結果表明,對沖液COD降幅為52.01%,經過O3氧化后(石灰調pH值,按3%體積比加FeCl3),經過5h常溫氧化后,總COD降幅達84.47%,適量加入雙氧水深度降解COD,但在給定終點pH條件下,COD總降幅達96.91%,加掩達到了預期目標。
5、試驗結論
(1)高氯鹽堿性廢水含有大量亞硫酸鈉,利用其還原鉑鈀置換后液中碲粉,可以得到高品位稀散元素碲,同時降解50%左右COD;
(2)臭氧對三氯化鐵載體石灰處理常溫氧化5h,除COD最佳pH值為5~6,COD總降解率達80%以上;
(3)雙氧水對深度氧化降低COD有一定效果,但應限量;
(4)建議:COD難降主要原因是氯根太高,應減少氯根排放或加以循環利用,如分金草酸還原等措施。(來源:江西銅業集團公司 貴溪冶煉廠)


