硝化菌適宜的生長溫度范圍為15~35℃, 當水溫高于35℃時, 污水生物處理系統的硝化效果開始變差.例如, Shore等的研究發現, 水溫30℃時氨氮去除率高達95%, 而水溫超過42℃后, 氨氮去除率降至35%.在中國南方地區, 夏季高溫常會使污水生物處理系統的硝化功能降低[3].針對夏季高溫的污水生物處理的硝化強化技術有廣泛而迫切的需求.
Shore等通過投加一定量的30℃馴化硝化污泥, 能快速恢復受42℃沖擊下的生物系統的硝化效果, 氨氮去除率從35%提升至60%, 且強化效果可維持較長時間, 因此中溫硝化污泥能夠恢復高溫下崩潰的硝化系統.但其他研究者提出, 中溫環境下培養的硝化菌經高溫馴化后, 其對夏季高溫沖擊后的污水生物處理系統的硝化強化效果更好.例如, Lopezvazquez等選取水溫為34℃的油廠活性污泥作為接種泥, 在35~55℃之間培養獲得耐45℃的高溫硝化菌, 相比于在34℃富集的硝化菌, 所獲得的耐45℃高溫硝化菌對40℃下崩潰的生物處理系統硝化強化效果更顯著. Courtens等從35℃的堆肥設備中篩選出的硝化菌, 經高溫培養, 獲得耐50℃的硝化污泥, 將其投加受42℃沖擊的生物處理系統中, 其硝化強化效果持續到試驗結束, 而投加35℃富集的硝化污泥的僅維持了2 d.
為探究城市污水處理廠夏季受高溫沖擊后的活性污泥的硝化性能及恢復方法, 本文以江蘇省宜興市新建污水處理廠為例, 研究了好氧池活性污泥在30~45℃之間的硝化效果及微生物群落變化, 同時比對中溫富集硝化污泥高溫馴化前后對受高溫沖擊的生物處理系統的硝化強化效果, 探究污水處理廠應對夏季高溫的硝化強化方法, 以期為工程應用提供技術參考.
1 材料與方法1.1 好氧池活性污泥的溫度影響試驗1.1.1 試驗裝置及運行條件
為考察溫度對宜興市新建污水處理廠好氧池活性污泥的硝化活性的影響, 采用序批式反應器(圖 1), 共運行50 d, 按水溫將試驗分為五階段:第一階段(1~15 d), 水溫30℃; 第二階段(16~22 d), 水溫35℃; 第三階段(23~29 d), 水溫40℃; 第四階段(30~33 d), 水溫45℃; 由于反應器內硝化效率大幅降低, 為防止不可逆轉性硝化功能崩潰, 第五階段(34~50 d)重新把反應器內水溫降低至40℃.
圖 1

序批式反應器有效容積2 L, 水力停留時間(hydraulic retention time, HRT)為24 h.運行模式:每天運行4個周期, 每個周期6 h, 其中進水20 min、曝氣260 min、沉降60 min、出水20 min.裝置通過水浴加熱, 使水溫維持在設定溫度.
接種污泥取自宜興市新建污水處理廠的好氧池, 該污泥的混合液懸浮固體濃度(mixed liquor suspended solid, MLSS)、混合液揮發性懸浮固體濃度(mixed liquor volatile suspended solid, MLVSS)和硝化活性分別為3.7 g ·L-1、2.2 g ·L-1、(3.5±0.5) mg ·(L ·h)-1.接種后初始污泥濃度(MLSS)為4 g ·L-1左右.
1.1.2 試驗用水
進水組成參照課題組前期研究, 含硫酸銨、碳酸氫鈉、磷酸鹽緩沖溶液.其中, 硫酸銨提供氮源, 進水氨氮濃度為50~150 mg ·L-1; 碳酸氫鈉提供堿度, 氨氮和碳酸氫鈉質量比為9 :1;磷酸鹽緩沖溶液(磷酸氫二鉀和磷酸二氫鉀)0.05 mol ·L-1, 用于提供磷源并調節pH.
混合液pH保持在7.0~7.5, DO保持在2~4 mg ·L-1, 試驗期間除采樣外不排泥.進水氨氮濃度1~4 d為50 mg ·L-1[氨氮容積負荷0.05 kg ·(m3 ·d)-1], 5~19 d提高至100 mg ·L-1[氨氮容積負荷0.10 kg ·(m3 ·d)-1], 20 d后提高至150 mg ·L-1[氨氮容積負荷0.15 kg ·(m3 ·d)-1].
1.2 中溫富集硝化污泥的高溫馴化試驗
高溫馴化試驗共運行94 d, 主要是考察在溫度較高條件下硝化污泥的硝化活性變化.馴化裝置同圖 1, 有效容積擴大至10 L; 進水成分與1.1節相同, 但為了提高硝化污泥的氨氮去除能力, 大幅提高進水氨氮濃度至750 mg ·L-1, 并且投加有機碳源提供100 mg ·L-1 COD, 以減緩污泥絮體在高溫下的解體.
接種污泥取自前期試驗的中溫硝化污泥, 該污泥的MLSS、MLVSS和硝化活性分別為12.05 g ·L-1、7.48 g ·L-1、(62.5±5) mg ·(L ·h)-1.經過稀釋, 初始接種MLSS為4.5 g ·L-1左右, 反應器內pH在7.0~8.0, DO在2~4 mg ·L-1, 全程除采樣外不排泥.反應器內水溫變化分5個階段逐步提高:第一階段(1~15 d), 水溫30℃; 第二階段(16~22 d), 水溫35℃; 第三階段(23~29 d), 水溫40℃; 第四階段(30~41 d), 水溫45℃; 第五階段(42~94 d), 水溫為40℃.由于硝化系統未見好轉, 第52 d投加10%(體積分數)的原接種泥進行恢復.
1.3 模擬夏季溫度沖擊下的硝化強化試驗
為考察經40℃馴化前后的中溫富集硝化污泥強化受高溫沖擊生物處理系統的效果差異, 平行運行A、B兩個反應器.試驗裝置、運行模式、試驗用水同1.1節, 接種污泥為宜興市新建污水處理廠的好氧池活性污泥, 初始MLSS為4 g ·L-1.反應器共運行40 d, 混合液pH保持在7.0~7.5, 水溫為40℃, DO保持在2~4 mg ·L-1, 全程除采樣外不排泥.
在40℃水溫下, 首先通過階梯式提高進水氨氮濃度, 給生物處理系統制造高氨氮沖擊. 1~15 d, 進水氨氮濃度為30~400 mg ·L-1, 第16 d起提高進水氨氮至(550±10) mg ·L-1.反應器A使用1.2節40℃馴化硝化污泥進行強化, 硝化活性(60±5) mg ·(L ·h)-1, MLSS為(3±0.5) g ·L-1; 反應器B使用本課題組同期研究中的中溫富集硝化污泥, 硝化活性和MLSS都與反應器A類似, 分別為(62.5±5) mg ·(L ·h)-1、(3.5±0.6) g ·L-1.在運行的第24 d、30 d和35 d分別投加為1%(體積分數)、5%(體積分數)和10%(體積分數)的馴化前后的中溫硝化污泥.
1.4 分析測定項目
氨氮(P276)、亞硝態氮(P268)、硝態氮(P258), MLSS(P105)、MLVSS(P106)的測定參照標準方法.溫度、pH的測定采用日本東亞電波株式會社的便攜式pH計(DKK-TOA HM-30P); DO測定使用日本東亞電波株式會社的便攜式溶解氧儀(DKK-TOA HM-31P).
微生物生物相委托生工生物工程(上海)股份有限公司進行宏基因組測序, 分別于第19 d(35℃)、23 d(40℃)、32 d(45℃)平行采集3個1 mL的1.1節活性污泥, 保存于-70℃[9], 用于測序分析.每個樣本讀取指定的條碼, 然后通過0.20.4版本的PRINSEQ(http://prinseq.sourceforge.net)進行質量分析控制; 使用1.2.3版本的FLASH(http://sourceforge.net/projects/flashpage)讀取合并后的原始DNA片段; 利用UCHIME 4.1版本(http://www.drive5.com/uchime/uchime_download.html)開展鏈式反應, 獲得的序列根據核糖體數據庫進行校準, 依據伯杰分類系統項目分類.具體聯系污水寶或參見http://www.bnynw.com更多相關技術文檔。
2 結果與討論2.1 好氧池活性污泥硝化效率受溫度的影響
溫度對宜興市新建污水處理廠好氧池活性污泥的氨氮去除率的時間變化如圖 2所示. 1~15 d, 在30℃和進水氨氮濃度為50~100 mg ·L-1的條件下, 氨氮去除率穩定達到99%. 16~22 d, 水溫升高至35℃, 進水氨氮提高至150 mg ·L-1, 氨氮去除率達到100%. 23~29 d, 繼續升高溫度至40℃, 反應器的氨氮去除率下降至90%左右. 30~33 d繼續把水溫升高至45℃, 氨氮去除率降低至40%.上述反應器氨氮去除率隨溫度的變化現象, 與Grunditz等研究發現的反應器在40℃下能夠穩定運行但45℃硝化效率嚴重下降的試驗結果一致.此外, Bae也得出了類似的結論.第34 d將水溫降至40℃, 運行5 d后, 反應器的氨氮去除率并未恢復, 反而繼續下降. Sudarno等發現硝化系統在50℃下被破壞, 通過降溫至22℃難以恢復硝化功能, 重新接種污泥反應器才能重新運行.因此, 第38 d, 重新向反應器中投加了10%(體積分數)的原接種泥, 9 d后氨氮去除率恢復到90%以上, 說明投泥進行強化是一種快速恢復受高溫沖擊生化系統硝化功能的可行方法.上述結果表明, 來源于中溫環境的活性污泥在40℃以上的環境中硝化性能將受影響.這與很多研究者的觀點相一致, 很多研究表明硝化菌的酶系統在40℃以上環境中會受到破壞, 從而導致硝化功能下降, 因此難以自行修復.進一步的研究發現, 可能是參與硝化過程的氨單加氧酶(ammonia monooxygenase, AMO)被破壞, 利用粗酶提取法, 得到40℃時氨單加氧酶的活性低于30℃.
圖 2

MLSS和MLVSS隨運行時間的延長而降低, 如圖 3所示.運行34 d后, MLSS從4 g ·L-1逐步下降至2.5 g ·L-1, 可能有兩方面原因:一方面, 接種污泥中含有異養菌, 而進水基質未添加有機碳源, 導致異養菌沒有足夠的營養物質進行生長; 另一方面, 試驗溫度最高為45℃, 有研究表明, 40℃以上會導致污泥絮體不易成團, 導致微生物游離, 部分微生物隨出水流失.第38 d重新投加了10%(體積分數)接種污泥, MLSS也出現相似的下降情況, 最終MLSS為2 g ·L-1, 但MLSS的降低并未影響氨氮去除率, 推測MLSS降低的主要原因為異養菌數量的減少.
圖 3

2.2 不同溫度下活性污泥微生物相分析
在不同溫度下, 2.1節的好氧池活性污泥中豐度前10的屬水平的微生物群落結構分布如圖 4所示.微生物的群落組成在中溫和高溫條件下有所不同, 這與文獻中報道相一致.不同溫度下的活性污泥的優勢菌屬均為假單胞菌屬(Pseudomonadales)和伯克氏菌屬(Burkholderiales), 但其含量差異大. Burkholderiales的含量隨溫度而升高, 35℃、40℃和45℃時, 其含量分別為9%、16%和36%. Burkholderiales是一種好氧菌, 具有較強耐鎘性, 其適應的生長溫度也較高, 有些研究者就分別在50℃和65℃進行此類菌的富集培養. Pseudomonadales生長迅速且能分解脂肪和蛋白質, 其含量在40℃時降低至28%, 但在45℃下部分細菌解體后的產物可能作為Pseudomonadales生長的營養物質, 使其含量又升高至37%.
圖 4

活性污泥中硝化菌以亞硝化單胞菌屬(Nitrosomonadales)為主, 其在反應器中的含量隨溫度呈先上升后下降的趨勢, 在35℃占微生物總量的2.97%, 40℃時達到最高值4.55%, 45℃下降至1.97%, 說明40℃以下硝化菌是能夠生長的, 當溫度為45℃時硝化菌生長被抑制, 甚至部分解體后流失.陳青青分別在20℃和25℃下測定了硝化污泥中的硝化菌含量, 發現20℃的硝化菌含量略高于25℃的.周玲玲等在30℃和15℃下研究溫度對硝化作用的影響, 發現30℃硝化菌含量是15℃的2~3倍.這些研究結果均表明溫度會影響硝化菌的含量, 但其受溫度影響的變化規律還需進一步研究.
上述結果表明, 好氧池活性污泥以假單胞菌屬(Pseudomonadales)和伯克氏菌屬(Burkholderiales)為主; 當溫度大于40℃時, Burkholderiales增加, 亞硝化單胞菌屬(Nitrosomonadales)含量下降, 溫度過高不適合硝化菌生長.
2.3 中溫富集硝化污泥的高溫馴化效果
中溫富集硝化污泥在40℃下氨氮去除效果如圖 5所示.試驗共運行94 d, 提高進水氨氮濃度至750 mg ·L-1, 運行初期, 出水氨氮濃度較高, 運行18 d后出水氨氮濃度穩定低于0.5 mg ·L-1. 23 d水溫升至40℃, 運行7 d后, 出水氨氮濃度再次升高至131 mg ·L-1; 30 d進一步提高水溫45℃, 出水氨氮濃度迅速升高至400 mg ·L-1, 氨氮去除效率驟降至45%.氨氮去除率隨溫度變化的趨勢與2.1節相同. 42 d采用與2.1節相同的方法恢復其硝化功能, 重新把水溫降低至40℃, 運行10 d后, 氨氮去除效率仍為20%~30%, 表明降低溫度未取得恢復效果.因此, 52 d向反應器內重新接種10%(體積分數)的硝化污泥, 硝化功能逐漸恢復, 67 d時, 出水氨氮濃度可穩定于20 mg ·L-1以下, 氨氮去除率達到95%以上.運行至第94 d, 獲得了硝化活性為(60±5) mg ·(L ·h)-1、MLSS為(3.5±0.5) g ·L-1的40℃馴化硝化污泥, 馴化后的硝化污泥達到了未經馴化的硝化污泥的硝化活性, 且該硝化污泥高于于濛雨等在40℃下富集得到的硝化活性為50 mg ·(L ·h)-1的硝化污泥, 是普通污水處理廠的10~15倍.
圖 5

硝化污泥高溫馴化試驗的MLSS與MLVSS的變化如圖 6所示.經過94 d富集, MLSS與MLVSS都呈下降的趨勢, 與2.1試驗變化一致, 但由于馴化的過程中加入了有機碳源, 額外提供了100 mg ·L-1的COD, 使得富集試驗中MLSS與MLVSS的下降慢于2.1節, 說明COD是影響MLSS的主要原因之一.
圖 6

2.4 模擬夏季溫度沖擊下的硝化強化試驗
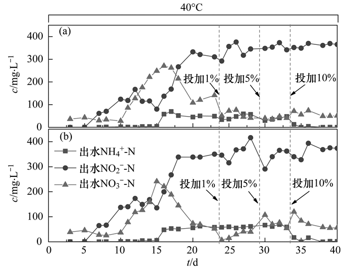
高溫馴化前后的硝化污泥對在40℃下受高氨氮沖擊的生物處理系統的硝化強化效果,如圖 7所示. 1~15 d, 進水氨氮濃度為30~400 mg ·L-1, 活性污泥對氨氮的去除率保持在98%以上.第16 d起提高進水氨氮至(550±10) mg ·L-1, 反應器A和B的出水氨氮濃度均升高至(50±5) mg ·L-1.第24、30和35 d分別向反應器A和反應器B同時投加1%(體積分數)、5%(體積分數)和10%(體積分數)的硝化污泥,反應器A經投加1%(體積分數)和5%(體積分數)的馴化后的中溫硝化污泥后, 出水氨氮濃度下降了20 mg ·L-1, 但2 d后出水氨氮濃度重新上升至55 mg ·L-1; 而反應器B的出水氨氮濃度幾乎未降低.繼續投加10%(體積分數)的硝化污泥后, 反應器A出水氨氮濃度1 d后降至0.5 mg ·L-1, 氨氮去除率上升至99%;反應器B的氨氮去除率也于4 d后達到了99%.上述結果表明, 無論是投加中溫富集硝化污泥, 還是投加40℃馴化硝化污泥, 只要劑量足夠, 對于高溫沖擊下的硝化強化都是有效果的, 但在相同的投加量下, 馴化后的硝化污泥的效果更明顯.上述結果與于莉芳等得到的試驗結果一致, 研究發現30℃富集的硝化污泥投加到水溫為20℃的反應器時, 能夠實現生物處理系統的完全恢復, 而20℃富集的硝化污泥的強化效果只維持了3 d.
圖 7

(b)反應器B, 投加未經馴化的中溫硝化污泥圖 7 硝化強化試驗
3 結論
(1) 夏季水溫低于40℃時, 氨氮容積負荷的波動不會影響宜興新建污水處理廠好氧池活性污泥的硝化功能, 但當水溫高于40℃時, 其硝化功能、污泥濃度和硝化菌含量均逐步降低, 并在45℃時硝化功能基本崩潰, 采取降溫并重新投加活性污泥是恢復其硝化功能的有效措施.
(2) 中溫富集硝化污泥在40℃下馴化61 d后, 可達到與馴化前中溫富集硝化污泥的硝化活性, 且其比未經馴化的中溫富集硝化污泥能更快地恢復受沖擊污水處理系統的硝化功能, 但投加量大于10%(體積分數)時, 馴化后的硝化污泥的優勢逐漸減弱.(來源:環境科學 作者:宋天偉)


