隨著微生物學在污水處理領域的深化,反硝化聚磷菌(DPAOs)的發現顛覆了人們對傳統生物脫氮除磷的認識。反硝化除磷的實現使得COD消耗量節省50%,吸磷過程由缺氧代替好氧,節省30%曝氣量,相應的污泥產量減少50%,同時釋放的CO2降低20%左右。基于反硝化除磷的理念,新型雙污泥工藝——A2/O-移動床生物膜反應器(MBBR)應運而生。它具有處理流程簡單,運行管理方便,脫氮除磷效果穩定等諸多優點,可實現低碳氮比(C/N)污水的深度脫氮除磷和節能降耗,應用前景較好。反硝化除磷工藝的改進和優化,使得傳統污水處理工藝朝著高效率、低能耗的可持續方向發展。
反硝化除隣過程DPAOs對磷的吸收依賴于電子受體(NO3−-N或NO2−-N),MERZOUKI等研究表明,反硝化除磷效率很大程度上取決于電子受體的類型和濃度,然而由于反硝化除磷體系和運行條件的不同,缺氧段對電子受體的需求不盡相同。劉建廣等采用厭氧/缺氧/好氧交替運行模式富集培養DPAOs,發現NO3−-N濃度大于30 mg·L−1時,吸磷速率幾乎不受NO3−-N濃度的影響。楊文婷等采用一次性投加硝酸鹽,當濃度小于25 mg·L−1時,硝酸鹽與磷的去除呈線性關系,每去除1 mg·L−1的NO3−-N同時吸收1.21 mg·L−1的PO43−-P,而ZHOU等得出去除1 mg·L−1的NO3−-N可吸收1.12 mg·L−1的PO43−-P的結論。作為一種新型的反硝化除磷工藝,電子受體對A2/O-MBBR系統中污泥脫氮除磷特性的影響尚不明確。
連續流系統是一個動態變化過程,水質波動較大,多種生化反應交互影響,許多實驗現象和微觀特性不能直觀體現。考慮到連續流系統影響因素的復雜性以及不可控性,本研究以A2/O-MBBR系統長期處理低C/N生活污水的反硝化除磷污泥為研究對象,采用批次實驗,考察單因素——不同電子受體濃度對反硝化除磷和動力學特性的影響,從而為A2/O-MBBR系統的工程實踐和推廣應用提供理論依據。
1 實驗部分
1.1 實驗裝置
如圖1所示,A2/O-MBBR系統由A2/O反應器、中間沉淀池、MBBR、沉淀區順序連接組成。原水經進水泵進入A2/O反應器,在厭氧區、缺氧區、好氧區的推流作用下完成同步脫氮除磷,出水進入中間沉淀池實現泥水分離。上清液進入MBBR系統,沉淀污泥回流到A2/O反應器的厭氧區(污泥回流比100%)。含有氨氮的上清液在MBBR沿程推流完成氨氮的氧化,硝化液經沉淀區回流到A2/O反應器的缺氧區(硝化液回流比300%),為反硝化除磷過程提供電子受體。
A2/O反應器有效容積28 L,均分為8個格室,水力停留時間8 h,厭氧、缺氧、好氧區容積比為1:6:1;厭氧區和缺氧區內設有攪拌裝置,好氧區進行短暫曝氣,污泥齡(SRT)控制在10 d左右。中間沉淀池為豎流式,采用中間進水周邊出水的運行方式,有效容積10 L,剩余污泥定期排放。MBBR 3格串聯,有效容積10.5 L,內設聚丙烯懸浮填料(尺寸D × H為5 mm × 3 mm,填充率50%),溶解氧3.0~4.0 mg·L−1,總曝氣量 0.15 m3·h−1左右,主要完成氨氮的氧化,最后出水直接排放。
圖1 A2/O-MBBR裝置流程圖
1.2 污泥特性
A2/O-MBBR系統的接種污泥取自揚州市湯汪污水處理廠CASS反應池的生化污泥,實驗用水取自揚州大學生活區的化糞池,進水C/N為2.25~3.40,屬于典型的低C/N污水。系統連續運行200 d左右,脫氮除磷性能基本穩定(氮磷去除率分別為80%和96%),進出水的水質特性見表1。采用WACHTMEISTER等推薦的方法得出DPAOs占聚磷菌(PAOs)的比例約為65%,菌群生物活性較好,本研究在此條件下開展了批次實驗。
表1 A2/O-MBBR系統進出水水質特性
1.3 批次實驗安排
實驗污泥取自連續流系統長期穩定運行條件下的活性污泥,用蒸餾水清洗3遍,防止殘留基質對反應過程造成不利影響。批次實驗分為2個階段:階段І,采用人工配水,將清洗后的污泥定容至有效容積5 L的密閉反應瓶中,混合液揮發性懸浮固體濃度(VSS)為3 000 mg·L−1左右,投加乙酸鈉后開始厭氧攪拌,在消耗外碳源儲存聚-β-羥基鏈烷酸脂(PHAs)的同時完成釋磷過程;階段Ⅱ,厭氧反應結束后將混合液等分為5份,分別置于有效容積1 L的反應瓶中,投加NO3−-N作為電子受體,以階段І中的PHAs為電子供體,同步脫氮除磷。
在階段Ⅱ中,通過改變初始電子受體濃度(NO3−-N:10,20,30,40,50 mg·L−1),探究不同條件下內碳源轉化利用情況及其對缺氧反硝化除磷的影響,并通過動力學特性的對比分析闡釋脫氮除磷機理。實驗在室溫(20 ℃)下進行,反應過程中為防止形成聚磷酸鹽沉淀,通過投加1 mol·L−1的HCl或NaOH溶液調節pH在7.5左右。
1.4 常規項目監測方法
COD采用快速消解儀(SUNTEXTR-1100)測定;PO43−-P,NO3−-N,NO2−-N等指標以及污泥濃度MLSS、VSS根據標準方法測定;PHAs采用氣相色譜(Agilent 6 890N)及DB-1型色譜柱檢測;糖原(GLY)采用蒽酮法測定。
1.5 動力學參數計算
在厭氧階段,DPAOs通過吸收外碳源以PHAs的形式儲存在細胞體內,GLY的分解和多聚磷酸鹽的水解為此過程提供能量,動力學參數計算如下:
釋磷量: QPRA = PAn-t2 − PAn-t1(1)
比釋磷速率: RPRR = (PAn-t2 − PAn-t1)/(CVSS-An·ΔTAn) (2)
比耗碳速率: RCUR = (CAn-t1 − CAn-t2)/( CVSS-An·ΔTAn) (3)
在缺氧階段,DPAOs分解PHAs,以NO3−-N為電子受體同步脫氮除磷,動力學參數計算如下:
反硝化脫氮量: QDNA = NA-t1 − NA-t2(4)
吸磷量: QPUA = PA-t1 − PA-t2(5)
比反硝化速率: RDNR = (NA-t1 − NA-t2)/( CVSS-A·ΔTA) (6)
比吸磷速率: RPUR = (PA-t1 − PA-t2)/( CVSS-A·ΔTA) (7)
式中:CAn-t1、CAn-t2為厭氧階段t1、t2時刻的COD濃度,mg·L−1;PAn-t1、PAn-t2為厭氧階段t1、t2時刻的PO43−-P濃度,mg·L−1;PA-t1、PA-t2、NA-t1、NA-t2為缺氧階段t1、t2時刻的PO43−-P和NO3−-N濃度,mg·L−1;CVSS-An、CVSS-A為厭氧和缺氧階段的平均污泥濃度,mg·L−1;ΔTAn或ΔTA為t1、t2反應時間間隔,h。
2 結果與討論
2.1 實驗條件的選擇和確定
2.1.1 碳源投加量及厭氧反應時間
如圖2所示,當乙酸鈉(以COD計)濃度在50~250 mg·L−1變化時,釋磷量隨著反應時間的進行不斷增加,但在90~20 min之間出現釋磷平臺,最高PO43−-P濃度分別為16.35、27.88、35.29、40.88和39.24 mg·L−1,隨后PO43−-P含量均呈現下降趨勢。由于DPAOs吸收外碳源合成PHAs的能力存在極限值,一旦PHAs合成量達到最大值,便不再利用外碳源,導致高COD濃度時出現無效釋磷;而厭氧反應時間過長容易導致微生物暴露于饑餓狀態,出現吸磷現象。本實驗條件下,最佳乙酸鈉投加量和厭氧反應時間分別為200 mg·L−1、90 min。
圖2 不同COD濃度下釋磷情況
2.1.2 缺氧反應時間
由于反硝化除磷主要在缺氧段完成,維持適當的缺氧反應時間對保證良好的脫氮除磷效果至關重要。表2對比了缺氧反應時間60~300 min的反硝化除磷特性(初始NO3−-N、PO43−-P濃度分別為(35 ± 2) mg·L−1、(40 ± 3) mg·L−1),當缺氧反應時間120 min時,同步脫氮除磷性能最佳(均超過99%),PUR為7.45 mg·(g·h)−1,DNR為5.82 mg·(g·h)−1,平均每吸收1 mg PO43−-P可去除0.78 mg NO3−-N。缺氧反應時間過短,反硝化吸磷不充分;缺氧反應時間過長,微生物因電子供體、電子受體消耗殆盡而處于饑餓狀態,生物活性下降,甚至發生2次釋磷現象。
表2 不同缺氧反應時間下的反硝化除磷特性
綜上,確定本研究的實驗條件:階段І,投加200 mg·L−1乙酸鈉,厭氧反應時間90 min;階段Ⅱ,投加電子受體NO3−-N,缺氧反應時間120 min。在此基礎上,考察不同NO3−-N濃度(10~50 mg·L−1)條件下的反硝化除磷特性。具體聯系污水寶或參見http://www.bnynw.com更多相關技術文檔。
2.2 厭氧釋磷及碳源的轉化利用
如圖3所示,厭氧初始時刻COD濃度為196.72 mg·L−1,隨著反應的進行,COD濃度快速降低,到75~90 min時,COD濃度從32.10 mg·L−1降為30.61 mg·L−1,可利用外碳源基本消耗殆盡。與此同時,PHAs與GLY含量此消彼長,PHAs含量從53.11 mg·g−1增加至133.40 mg·g−1,90 min時幾乎全部外碳源都以PHAs的形式儲存于細胞體內,同時伴隨著少量GLY分解(濃度從156.21 mg·g−1降為117.36 mg·g−1)。整個過程COD利用率為84.57%,比耗碳速率為36.91 mg·(g·h)−1。
圖3 厭氧階段碳源轉化與釋磷情況
此外,碳源轉化利用過程中,釋磷速率出現明顯的分界(階段a和階段b),PO43−-P濃度從初始時刻的0.07 mg·L−1快速上升,45 min時增大到34.13 mg·L−1;在隨后的45~90 min內,PO43−-P濃度增加緩慢,增幅僅為6.75 mg·L−1。2個階段PRR分別為15.14 mg·(g·h)−1和3.0 mg·(g·h)−1,與圖3中內碳源PHAs(ΔPHAs=57.26、23.04 mg·g−1)和GLY(ΔGLY=24.61、14.24 mg·g−1)的變化利用規律相吻合。階段a中PHAs合成量是階段b的2.49倍,表明厭氧45 min后雖然COD濃度一直在降,但是內碳源的轉化效率已經不高。內碳源轉化和釋磷情況均表明,厭氧90 min已實現最優的處理效果。WANG等在A2N-SBR中同樣發現厭氧反應時間90 min時,系統合成的PHAs含量最高,氮磷去除率分別達到91%,94%;并且當厭氧反應時間延長,PHAs含量的降低導致缺氧段PHAs分解效率下降,出現游離亞硝酸積累,脫氮除磷效果變差。
2.3 缺氧反硝化除磷特性
2.3.1 不同NO3−-N濃度下的脫氮除磷特性
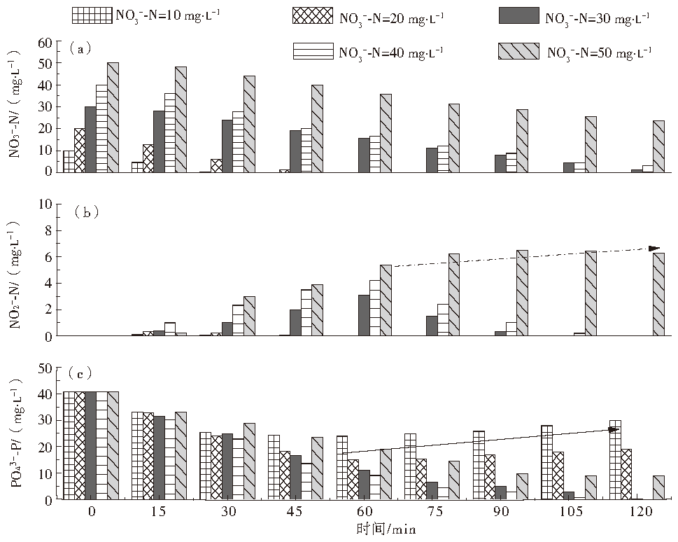
在圖4中,當NO3−-N濃度為10 mg·L−1和20 mg·L−1時,NO3−-N在45~60 min內反應完全,且整個過程NO2−-N積累很微弱(0.05~0.2 mg·L−1),基本可以忽略不計;但由于電子受體不足導致吸磷受限,到60 min時,PO43−-P濃度分別殘留23.98 mg·L−1和15.14 mg·L−1,后續反應過程都出現不同程度的2次釋磷現象(如圖4(c)箭頭所示)。
NO3−-N濃度增加到30 mg·L−1,反應時間120 min時NO3−-N和PO43−-P濃度為1.09 mg·L、0.25 mg·L−1,去除率分別為96.37%和99.39%,實現了同步高效脫氮除磷。當NO3−-N增加到40 mg·L−1,電子受體有部分剩余,反應結束時NO3−-N仍殘留3.09 mg·L−1,但PO43−-P在反應時間105 min時已完全去除,氮磷去除率分別為92.28%和100%。此外,上述2種工況在前60 min均出現不同程度的NO2−-N積累,最高可達到3.12 mg·L−1和4.26 mg·L−1,但在后續反應NO2−-N被逐步反硝化,且除磷效果基本不受影響。
而當NO3−-N濃度增加到50 mg·L−1時,整個反應過程伴隨著明顯的NO2−-N積累,到90 min時,NO2−-N濃度高達6.5 mg·L−1且后續略有上升趨勢(如圖4(b)箭頭所示)。ZHOU等和JABARI等均發現,NO2−-N的存在會抑制DPAOs的生物活性且限制同步脫氮除磷效率,到反應結束時NO3−-N和PO43−-P濃度分別為23.38 mg·L−1和9.05 mg·L−1,去除率僅為53.24%和77.86%。
圖4 NO3−-N濃度對脫氮除磷效果的影響
單從脫氮除磷效率看,在本研究條件下(取自A2/O-MBBR系統的反硝化除磷污泥,DPAOs占PAOs比例約為65%),以NO3−-N為電子受體進行反硝化除磷時,當NO3−-N投加量為30 mg·L−1時較為合適,與傅金祥等[17]的研究結論相同,即硝酸鹽型反硝化除磷過程最佳電子受體投加量為30 mg·L−1時,DPAOs能最大程度地利用NO3−-N進行同步脫氮除磷。
2.3.2 不同NO3−-N濃度下的內碳源轉化利用特性
為了進一步考察不同NO3−-N濃度條件下的反硝化除磷特性,圖5對比了內碳源PHAs和GLY的轉化利用情況(其中缺氧初始時刻PHAs、GLY的含量分別為132.4~134.5 mg·g−1和116.2~118.36 mg·g−1 )。當NO3−-N濃度為10 mg·L−1和20 mg·L−1時,前階段NO3−-N的快速反應伴隨著PHAs的消耗和GLY的合成,反應60 min時GLY含量分別為134.80 mg·g−1和138.41 mg·g−1,PHAs含量分別為89.15 mg·g−1和65.30 mg·g−1,且PHAs在后續反應中基本保持不變;但60 min后,雖然NO3−-N消耗完全,GLY卻存在降解的趨勢,2種工況ΔGLY分別為25.06 mg·g−1和17.8 mg·g−1 (見圖5)。BASSIN等認為當電子供體或電子受體消耗殆盡時,微生物會由于處于饑餓狀態而出現GLY降解的現象,長期運行對DPAOs的生長富集是不利的。
圖5 NO3−-N濃度對PHAs和GLY轉化利用特性的影響
當NO3−-N濃度為30 mg·L−1和40 mg·L−1時,整個反應過程PHAs和GLY此消彼長,PHAs的減少量分別為114.92 mg·g−1和110.77 mg·g−1,GLY的增加量分別為55.98 mg·g−1和69.16 mg·g−1。由于微生物體內需保持一定量的PHAs來維持自身的生命活動,反應結束120 min時,PHAs的含量為18.48~20.73 mg·g−1,PHAs利用率為84.6%~86.2%。研究表明改良UCT分段進水工藝中出水PHAs含量為0.8~1.1 mmol·L−1(相當于13~19 mg·g−1)時,系統展現出較好的反硝化除磷性能。
當NO3−-N濃度增加到50 mg·L−1時,NO3−-N負荷的增加以及NO2−-N積累(見圖4(b))導致DPAOs生物活性下降,同樣限制了內碳源轉化利用效率,反應結束時出水中PHAs仍殘留42.10 mg·g−1,PHAs利用率僅為68.4%,造成內碳源的浪費,該結果與2.3.1中脫氮除磷效率的下降相吻合。綜合脫氮除磷效果以及內碳源轉化效率,在本研究的特定條件下,當NO3−-N濃度為30~40 mg·L−1時較為適宜。
2.4 反硝化除磷的動力學分析
結合式(1)~式(7),表3對比了厭氧階段以及缺氧階段不同NO3−-N濃度下的反硝化除磷動力學參數。厭氧釋磷過程較高的CUR促進了磷酸鹽的快速分解,PRR最高達15.14 mg·(g·h)−1,不同NO3−-N濃度下缺氧吸磷過程PUR為4.32~8.18 mg·(g·h)−1,電子受體不足(NO3−-N濃度為10~20 mg·L−1)或電子受體過剩(NO3−-N濃度為50 mg·L−1)均不利于吸磷反應的進行。PENG等[3]考察了A2/O分段進水和UCT工藝的反硝化除磷特性,2種工藝中PRR和PUR分別為4.44 mg·(g·h)−1、1.33 mg·(g·h)−1和7.91 mg·(g·h)−1、3.19 mg·(g·h)−1。對比結果表明,A2/O-MBBR系統的污泥體現了優越的反硝化除磷性能,意味著雙污泥系統中DPAOs具有較高的生物活性。
表3 不同運行工況下的反硝化除磷動力學參數
缺氧階段NO3−-N濃度與反硝化除磷特性密切相關,DNR一定程度上反映了DPAOs的反硝化潛力。當NO3−-N濃度為30 mg·L−1和40 mg·L−1時,DNR達到了最高值5.72~6.08 mg·(g·h)−1,而NO3−-N濃度為10 mg·L−1時,DNR僅為1.81 mg·(g·h)−1,但該結果依然高于某PAOs富集的生物膜系統(DNR=1.45 mg·(g·h)−1)[21]。除此之外,NO3−-N/PO43−-P比值與NO3−-N負荷也呈現相關性,間接反映了DPAOs的反硝化除磷潛力。反硝化除磷過程平均吸收1 mg PO43−-P 可去除0.42~0.75 mg NO3−-N,高于完全混合式SNDPR系統(0.33 mg NO3−-N)以及懸浮污泥和生物膜共存的IFAS系統(0.41~0.72 mg NO3−-N)。雙污泥系統中DPAOs和硝化菌的分離、富集,是提高反硝化除磷性能的主要原因,上述分析進一步驗證了A2/O-MBBR系統在處理低C/N比污水方面的優越性。
3 結論
1)乙酸鈉投加量200 mg·L−1,厭氧反應時間90 min時釋磷完全,PO43−-P濃度最高可達40.88 mg·L−1,PHAs合成量為133.40 mg·g−1,比耗碳速率為36.91 mg·(g·h)−1;缺氧反應時間120 min時,可獲得最佳的同步脫氮除磷效果。
2)厭氧釋磷速率在45 min時出現明顯的分界,2個階段的釋磷速率分別為15.14 mg·(g·h)−1和3.0 mg·(g·h)−1,前者PHAs合成量是后者的2.49倍。
3)在本研究條件下,缺氧段NO3−-N濃度為30 mg·L−1時,可實現同步高效脫氮除磷,氮磷去除率分別為96.37%和99.39%。NO3−-N濃度增加到40 mg·L−1時,PHAs利用率從84.6%上升為86.2%且除磷效果不受影響,得出NO3−-N的最佳投加量為30~40 mg·L−1。
4)反硝化除磷過程最高PUR為8.16~8.18 mg·(g·h)−1,DNR高達5.72~6.08 mg·(g·h)−1,吸收1 mg PO43−-P 可去除0.42~0.75 mg NO3−-N,處理性能優于傳統反硝化除磷工藝,揭示了A2/O-MBBR系統中DPAOs較高的生物活性。(來源:環境工程學報 作者:張淼)









