1 引言
污泥是污水處理的副產物,隨著生活污水處理廠及污水處理量的增加,污泥的產量也日益增加,2011年我國污水污泥年產量約440萬t(干污泥).污泥中富集了大量植物營養元素氮、磷和鉀,尤其是農業生產必需的磷元素.我國污泥的總磷平均值約為2.2%,最高可達3.7%.以均值計算,每年所產污泥約含磷資源(以P2O5計)22萬t,相當于2010—2050年我國每年磷肥需求量1100~1200萬t(以P2O5計)的2%.國外一些污水處理廠污泥中總磷含量較高,甚至高達15%.因此,國內外多數學者認為污水污泥目前是磷酸鹽礦的二次資源.但是污泥中還含有大量的有害物質,如重金屬、有機污染物等.因此,在回收營養物的同時對污泥進行減量化、無害化已成為人們研究的熱點.
污泥經焚燒處理后可以實現污泥的最大減量化及無害化,且可以提升污泥作為磷資源的礦物品位,但灰渣中還有大量的重金屬,要得到安全的磷資源,需進一步除去灰渣中的重金屬.對此,國內外學者研究了不同工況下污泥灰渣中重金屬的去除特性,并對Cl添加劑的影響進行著重研究.研究發現:Cl的存在可以促使重金屬的揮發,尤其是Cl2的作用效果更明顯.在添加堿金屬或堿土金屬氯化物的熱處理過程中,污泥灰渣中的重金屬可與生成的Cl2和HCl反應生成重金屬氯化物而揮發.例如,Nowak等分別在實驗室規模的流化床和回轉爐中對污泥灰進行了熱處理,研究了不同反應時間,不同反應溫度等條件下加入CaCl2時重金屬的揮發率,發現Cu和Zn的揮發率有較大的變化.而Pb和Cd在研究條件下都有>95%的揮發率.Mattenberger和Adam對污泥焚燒灰渣進行熱處理從而回收磷,研究發現加Cl熱處理后多種重金屬絕大部分都會由揮發而脫除,且得到的磷的生物有效性比只經過焚燒時提高了很多.Christian Vogel和Christian Adam以HCl氣體為氯源在800~1000 ℃在回轉爐中對污泥灰進行了熱處理,發現重金屬的揮發率隨HCl濃度的增加,反應時間的延長以及溫度的升高而增加,同時以HCl氣體和MgCl2為氯源的經熱處理后的污泥灰中的P有更好的生物可利用性.Nowak等就污泥灰和城市生活垃圾飛灰中的重金屬在熱處理過程中的脫除情況作了研究比較,發現在一定的條件下污泥灰中的重金屬Zn、Cu和Pb的揮發率要高于固廢飛灰中這些金屬的揮發率.
以某城市污水處理廠脫水污泥焚燒灰渣為研究對象,研究高溫煅燒處理對重金屬的脫除規律,主要分析煅燒時間、溫度及Cl添加量對代表性重金屬(Pb、Zn和Cu)去除率及在煅燒灰渣中的賦存形態的影響,根據前人的研究結果,同時考慮促進污泥中的P向磷灰石無機磷轉變,選擇CaCl2作添加劑.同時,采用地累積指數法評價煅燒污泥灰渣中的重金屬的安全性.該研究結果可為我國開發污泥中磷資源的無害化回收技術提供理論支撐.
2 材料和方法
2.1 材料
選擇沈陽市某污水處理廠的脫水污泥,經105 ℃干燥后,研磨,過100目篩.取上述處理后的干燥污泥在管式電爐中多批次焚燒,每次污泥量10 g,在850 ℃下焚燒2 h,采用空氣氣氛,過剩空氣系數為1.5,收取焚燒灰渣研磨至100目后,作為實驗對象.其重金屬含量及形態分布見表 1.
表1 焚燒灰渣中重金屬的總量及賦存形態

2.2 實驗方法
向干污泥灰渣樣品中加入CaCl2·2H2O添加劑.添加量分別為1.5%、3.0%、5.0%、8.0%(以Cl含量計),然后把添加劑與樣品充分混合.取混合樣品5.00 g左右,在陶瓷纖維馬弗爐中進行定溫、定時煅燒,采用空氣為煅燒氣氛.取Cl添加量為5.0%的樣品,在煅燒時間為30 min時,改變煅燒溫度(900 ℃、950 ℃、1000 ℃、1100 ℃、1200 ℃),研究煅燒溫度對重金屬的去除率和賦存形態的影響;同時在煅燒溫度為900 ℃時,改變煅燒時間(10 min、20 min、30 min、60 min),分析煅燒時間的影響;在煅燒溫度為1000 ℃和煅燒時間為30 min時,對不同添加量的樣品進行了煅燒實驗,分析Cl添加量的影響.
考慮元素的化學反應特性與其在元素周期表中的位置相關性,將污泥中重金屬分為Pb & As、Zn & Cu、Cr & Ni、Cd & Hg 4類;同時結合我國污泥重金屬含量特點:Zn含量最高,均值為1450 mg · kg-1,其次是Cu、Cr、As;Hg、Ni和Cd含量相對較低,特別是Hg、Cd普遍低于5 mg · kg-1.綜合考慮選擇Pb、Zn、Cu作為典型代表性重金屬進行分析.
2.3 分析方法
污泥灰渣和煅燒的殘渣中的重金屬的賦存形態,采用BCR多級提取法.其將重金屬的形態分為:酸溶態(ACS);可還原態(RED);可氧化態(OXI);殘渣態(RES).一般認為酸溶態為不穩定形態.重金屬總量的分析,采用硝酸-高氯酸-氫氟酸(體積比3 ∶ 1 ∶ 1)電熱板全消解法.BCR的提取液及消解液都用美國PE公司的AAS200測定.1個樣品同時做3組平行實驗,最后數據取平均值.
煅燒底渣中重金屬的安全性評價,運用地累積指數(Igeo)法,其污染程度劃分如表 2所示,計算公式如下:
表2 重金屬的Igeo等級劃分

Igeo=log2(Cn/kBn)
式中,Igeo是地累積指數;Cn是污泥灰渣和煅燒底渣中重金屬n的實測濃度;Bn是所測重金屬元素的地球化學背景值(這里選取沈陽土壤背景值為背景值,見表 3);k是考慮各地差異可能引起背景值變動的背景差異值修正系數,通常取k=1.5.
表3 重金屬背景值

3 結果與討論
實驗發現煅燒前后樣品的質量沒有很大的改變,因而去除率的計算公式由下式表述:
Rv= m0-mi m0 ×100%
式中,Rv為重金屬的去除率;m0是污泥焚燒灰渣中某種重金屬的總含量(mg · kg-1);mi是該金屬煅燒后底渣中的總含量(mg · kg-1).
BCR提取的重金屬的各種形態的總和與消解所得的總量比較會有一定的差值.該文為了體現差值,各形態的含量均與總量相除取其百分含量.
3.1 時間對灰渣中重金屬遷移及賦存形態的影響 3.1.1 時間對重金屬去除率的影響
從圖 1a上可以看出,隨著煅燒時間的變化,3種重金屬的去除率均有變化,且都隨時間的延長而增加.結果與大多數文獻報道一致.重金屬Pb有較高的去除率.在煅燒時間30 min時去除率較大為64.6%.從圖 1a中可以看出,重金屬Zn的去除率,在900 ℃時,隨煅燒時間的延長其去除率變化不大,且去除率較低.由圖 1a還可以知道,重金屬Cu有很低的去除率,在煅燒時間為10 min的時候其去除率只有3.2%.隨著反應時間的延長重金屬Cu的揮發量變化不大.各種重金屬反應時間為60 min時,重金屬的去除率與30 min時相比變化不大.煅燒時間為60 min時Pb的去除率只比30 min時多2.3%.

圖 1 反應時間對重金屬去除率及賦存形態的影響(煅燒溫度900 ℃,Cl添加量5%)
由實驗結果可以知道,在較短的反應時間內重金屬Pb更容易從污泥灰渣中脫除,因此,在這樣的條件下從煅燒煙氣中回收Pb成為可能.
3.1.2 時間對重金屬賦存形態的影響
由圖 1b可見,不論反應時間有多長,原本在污泥灰渣中就主要以殘渣態存在的Pb(殘渣態含量為55.6%),其在煅燒底渣中都是以殘渣態存在(其它形態在AAS測試時未檢出).可以認為煅燒底渣中的Pb穩定性已很高.重金屬Zn煅燒后不論反應時間的長短,其均主要以殘渣態存在.且從圖 1c可見,在反應時間60 min時Zn的不穩定形態有最大含量5.7%,但也只是占總量的很少部分.重金屬Cu在污泥灰渣中較均勻的分布在4種形態中(ACS 29.2%,RED 13.2%,OXI 21.4%,RES 36.2%),在900 ℃經過不同時間的煅燒,殘渣態的含量增加.煅燒底渣中Cu在反應時間為20 min時殘渣態的含量最高,達到66.0%,且酸溶態的含量最低,達到8.2%,見圖 1d.在900 ℃不同時間的煅燒后,Pb和Zn的穩定性已很高,重金屬Cu的不穩定形態還占有一定含量.
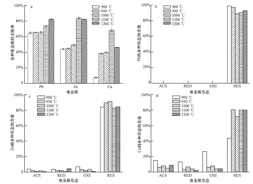
3.2 溫度對灰渣中重金屬遷移及賦存形態的影響 3.2.1 溫度對重金屬去除率的影響
由圖 2a可見,重金屬Pb的去除率隨煅燒溫度的升高有顯著增加,從900 ℃時的64.6%升高到1200 ℃時的82.4%,此時,較大部分的Pb從灰渣中脫除.這說明Pb在氯化作用和高溫條件下有較高的去除率,有的研究發現其去除率更高,會大于95%.在實驗溫度范圍內,重金屬Zn在1100 ℃時去除率最大,為83.9%.一般的污泥灰渣的熔點在1200 ℃左右,此時污泥熔融可能抑制Zn的氯化物生成及揮發.從圖 2a中也可以看出,在1200 ℃時重金屬Zn的去除率有所降低.跟Zn相似,重金屬Cu在1100 ℃時有最大的去除率,為68.2%,隨著溫度升高到1200 ℃,Cu的去除率有顯著降低.在900 ℃到1100 ℃,Zn和Cu的去除率均有較大幅度的增加,見圖 2a,其他學者研究也發現污泥灰渣在1100 ℃以下熱處理時,重金屬的去除率會隨著溫度的升高而增加.在不同溫度下各種重金屬的去除率變化各不相同,在1100 2011℃時,這三種重金屬均可以大部分從灰渣中脫除.

圖 2 煅燒溫度對重金屬去除率及賦存形態的影響(煅燒時間30 min,Cl添加量5%)
3.2.2 溫度對重金屬賦存形態的影響
重金屬Pb在煅燒底渣中還是全部以殘渣態存在,由圖 2b可知,Pb在加Cl及熱處理的作用下有很高的去除率,底渣中易轉移的形態都會跟Cl結合以氯化物的形式揮發,殘渣態的一部分也會隨著溫度的升高進一步跟Cl結合以氯化物的形式揮發.從圖 2c中可以看出,煅燒底渣中重金屬Zn主要也是以殘渣態的形式存在,且隨溫度的變化不大,在1200 ℃時酸溶態達到最低的含量為0.6%.煅燒底渣中的重金屬Cu在1100 ℃時,其殘渣態的含量最高達80.3%,酸溶態的含量最低為5.1%.由圖 3d可以看出Cu隨溫度的升高,其他三種形態明顯的向殘渣態轉變,使其在煅燒底渣中的穩定性增強.

圖 3 不同Cl添加量對煅燒底渣中重金屬去除率及賦存形態的影響(煅燒溫度1000 ℃,煅燒時間30 min)
3.3 Cl含量對灰渣中重金屬遷移及賦存形態的影響
3.3.1 Cl含量對重金屬去除率的影響
從圖 3a可以看出各種重金屬的去除率均受到Cl含量的影響,但是影響結果不盡相同.重金屬Pb和Zn的去除率,隨Cl含量的增大而升高,Pb的升高趨勢更明顯.重金屬Cu在Cl含量為3.0%時有最低的揮發量.造成這一結果的原因目前尚不明確,需進一步研究.由圖 3a還可以知道,在Cl含量為8.0%時,Zn和Cu均有較高的去除率.在該實驗范圍內,隨著Cl含量升高到一定的程度,Pb、Zn和Cu的去除率均增加,可見高的Cl含量是重金屬脫除的有效條件.同時由實驗結果來看,Pb的去除率受Cl含量的變化影響較大.該實驗條件下重金屬的去除率較文獻報道的結果低,可能是由于添加的添加劑的含量較少,Benedikt報道中Cl含量高達20%(2012),再者可能跟爐型有關.
3.3.2 Cl含量對重金屬賦存形態的影響
由圖 3b可知,不同Cl含量對重金屬Pb在煅燒底渣中的形態轉變與時間和溫度對其的影響相同.重金屬Zn主要也存在于殘渣態中,且形態變化隨Cl含量的變化不大,見圖 3c.從圖 3d上可以看出,煅燒底渣中的重金屬Cu殘渣態的含量隨Cl含量的升高而增加,在Cl含量為8.0%時酸溶態的含量最低為3.3%.從Cl含量對污泥灰渣的煅燒過程中重金屬的遷移轉化的影響來看,增加Cl的含量有助于重金屬的揮發,且對煅燒底渣中的重金屬也有穩定作用.
3.4 煅燒底渣中重金屬安全評價
對在1000 ℃、Cl含量為8%,1100 ℃、Cl含量為5%條件下煅燒后的煅燒底渣,利用地累積指數(Igeo)進行了安全性評價.結果如表 4所示.煅燒后重金屬的污染程度都降低.重金屬Pb在煅燒底渣中的污染程度都是偏中度污染.重金屬Cu在煅燒底渣中的污染程度都是中度污染.而重金屬Zn在1100 ℃、具體參見污水寶商城資料或http://www.bnynw.com更多相關技術文檔。
表4 重金屬煅燒前后Igeo值及污染程度

Cl含量為5%的條件下污染程度是輕度污染.因此在該實驗結果中可以認為,污泥灰渣在1100 ℃下煅燒,能得到較為安全的磷資源.
4 結論
1)重金屬Pb的去除率均隨時間的延長、溫度和Cl含量的升高而增加.且在煅燒過程中重金屬Pb都有較高的去除率,最大揮發量在1200 ℃、Cl含量為5.0%時為82.4%.根據實驗結果發現在較低溫度較短反應時間的條件下可以實現對重金屬Pb的回收.而且煅燒底渣中的Pb都是以殘渣態的形態存在.
2)重金屬Zn的去除率受溫度的影響較大,低溫時其去除率較低,到1100 ℃時就有較高的去除率,高達83.9%.Zn在煅燒底渣中也主要是以殘渣態的形態存在.
3)重金屬Cu在低溫和低Cl含量時均有很低的去除率.同Zn一樣在1100 ℃時有最高的去除率,為68.2%.煅燒底渣中的Cu同樣在1100 ℃時殘渣態的含量最高,為80.3%.1100 ℃可以作為煅燒污泥灰渣脫除重金屬的最佳溫度.
4)在一定的條件下,添加越多的Cl越有助于重金屬的揮發,且煅燒底渣中的重金屬也越穩定.
5)煅燒后重金屬的污染程度都降低了.Zn在1100 ℃時污染程度已為輕度污染.煅燒后的底渣中重金屬已有較安全的污染等級,可以被用作磷礦資源.


