1 引言
印染廢水是工業廢水的主要來源之一.其中有機染料是印染廢水的主要污染物之一,具有生物難降解性和三致毒性.染料污染成為印染行業發展瓶頸,尋找有效的染料降解方法迫在眉睫.
目前,工業上處理有機污染廢水的的方法主要有:物理法、化學處、生物法.物理化學方法難以大規模化,常見活性淤泥法和投菌法,利用真菌等降解有機物而達到清除目的.但由于有機染料的結構多樣性和復雜性,導致生物法處理效果難以達到預期效果,同時產生的大量的淤泥導致后處理難題.染料降解的新方法和技術的研究成為熱點.
研究發現生物法降解染料的機制主要是有效酶系的作用,諸如漆酶、過氧化物酶等.但是酶法存在產酶量低、受環境影響大、重復利用難導致成本高.利用小分子來模擬酶的活性中心,進行仿生催化得到了發展.近10年來,金屬配合物已成為化學模擬酶領域的熱點研究方向,尤其是Cu配合物.有報道水楊醛胺類席夫堿配合物具有可逆吸附氧分子和催化氧化等性能,席夫堿配合物具有良好的催化性能受到了廣泛關注.
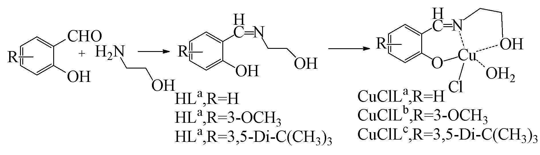
依據文獻,①具有催化染料降解的金屬酶活性中心是金屬及其周圍NO配位環境,配位結構多為三角雙錐或扭變的四面體結構;②設計三齒或四齒配體合成對應的配合物,可以很好的模擬酶的活性.所以課題組為了得到具有降解染料催化活性的仿酶催化劑,實現染料降解的仿生催化,為染料污染物的處理提供理論和實踐參考,設計合成了三齒配體水楊醛縮胺基乙醇(HLa)、鄰香草醛縮胺基乙醇(HLb)和3,5-二叔丁基水楊醛縮胺基乙 醇(HLc)的Cu2+配合物(CuClLa·H2O、CuClLb·H2O、 CuClLc·H2O)(圖 1).對其催化降解三苯基甲烷類染料酸性藍9的性能進行了研究,得到了具有仿酶催化活性的催化劑,有效進行了三苯甲烷類染料的降解,提出了可能的催化機理和降解機理.
圖1 配合物的合成
2 實驗部分
2.1 儀器與試劑
所有試劑均為市售商品,未經進一步處理.
1H NMR譜用Bruker 400 UltraShiedTM(400 MHz)核磁共振譜儀測得,CDCl3為溶劑,TMS為內標.紅外采用KBr固體壓片法,用Avatar 370 FI-IR(Nicolet)紅外光譜儀測得.C、H、N元素分析在Carlo-Erba 1106元素分析儀上進行.Cu2+含量采用PAN[1-(2-吡啶偶氮)-2-萘酚]為指示劑,EDTA絡合滴定測定Cu2+含量.降解動力學曲線和降解效果利用CARY 50 Cone 紫外-可見分光光度計進行跟蹤.利用生物繪圖軟件GraphPad Prism 5進行了米氏常數的計算.降解產物利用SPD-15C&LC-15C-HPLC測定,柱子(Wondasil C18,4.6 mm×150 mm),流動相(V甲醇 ∶ V水=4 ∶ 6),流速(1.00 mL · min-1),進樣量(25 μL),檢測器(SPD-15C型UV檢測器),波長(285 nm).
2.2 合成方法 2.2.1 配體的合成
在40 ℃條件下,將相應的醛衍生物的乙醇溶液逐滴加入到(5 mmol /20 mL)乙醇胺的乙醇溶液中(5 mmol /30 mL).滴加完畢后,保溫攪拌反應,TLC(薄層色譜,thin layer chromatography)跟蹤反應進程,結束反應濃縮至5 mL,濃縮液柱層析(CHCl3洗脫)得到目標化合物.
N-水楊醛縮乙醇胺(HLa),黃色固體,產率為95%;IR(KBr壓片,cm-1)3419,1633,1610,1582,1529,1496,1277;1H NMR(400 MHz,CDCl3)δ 8.33(s,1H),7.29(t,J=8.2 Hz,1H),7.22(d,J=7.5 Hz,1H),6.92(d,J=8.2 Hz,1H),6.85(t,J=7.5 Hz,1H),3.86(t,J=4.0 Hz,2H),3.70(t,4.0 Hz,2H);13C NMR(100 MHz,CDCl3)δ 166.8,161.4,132.5,131.5,118.6,118.5,117.1,77.4,77.06,76.8,61.9,61.4.
N-鄰香草醛縮乙醇胺(HLb),黃色固體,產率為90%;IR(KBr壓片,cm-1)3436,1645,1504,1545,1222;1H NMR(400 MHz,CDCl3)δ 8.36(s,1H),6.90(d,J=8.0 Hz,1H),6.87(d,J=8.0 Hz,1H),6.80(t,J=8.0 Hz,1H),3.92(t,J=4.8 Hz,2H),3.89(s,3H),3.76(t,J=4.8 Hz,2H).
N-(3,5-二叔丁基水楊醛)縮乙醇胺(HLc),黃色固體,產率約為95%;熔點68.8~71.1 ℃;IR(KBr壓片,cm-1)3411,2956,2911,2869,1630,1263,1207.1H NMR(400 MHz,CDCl3)δ 13.59(s,1H),8.42(s,1H),7.39(s,1H),7.11(s,1H),3.93(t,2H),3.75(t,J=4.8 Hz,2H),1.44(s,9H),1.31(s,9H).
2.2.2 配合物的合成
在攪拌回流條件下,將氯化銅的乙醇溶液(15 mmol/20 mL)逐滴加入到相應的席夫堿乙醇溶液(5 mmol,20 mL)中. 滴加完畢后,保溫攪拌反應,TLC跟蹤反應進程,當反應結束后,趁熱過濾,用乙醇和水(體積比1 ∶ 1)洗至無CuCl2檢出,得目標配合物.
配合物CuClLa·H2O:綠色固體;產率88%;熔點:大于300 ℃;IR(KBr壓片,cm-1):3416(m,OH),1635(m,CN),1289(m,ArO);元素分析,測定值(計算值): C 38.15%(38.44%),H 4.42%(4.31%),N 4.83%(4.98%),Cu 22.23%(22.60%).
配合物CuClLb·H2O:深綠色固體;產率85%;熔點:大于280 ℃;IR(KBr壓片,cm-1):3393(m,OH),1642(m,CN),1241(m,CO);元素分析,測定值(計算值): C 38.71%(38.59%),H 4.32%(4.54%),N 4.37%(4.50%),Cu 20.58%(20.42%.
配合物CuClLc·H2O:深綠色固體;產率87%;熔點:大于300 ℃;IR(KBr壓片,cm-1):3415(m,OH),1628(m,CN),1523、1462、1431(苯環特征吸收峰),1261(m,CO),1205(m,CO);元素分析,測定值(計算值): C 51.69%(51.89%),H 7.21%(7.19%),N 3.22%(3.56%),Cu 16.41%(16.15%).
2.2.3 染料的降解實驗
選擇廢水的起始濃度25 mg · L-1進行試驗.以30% H2O2為氧源,對配合物進行酸性蘭9的降解實驗,n配合物 ∶ n染料 ∶ n雙氧水=1 ∶ 10 ∶ 1000,用分光光度計跟蹤脫色進程.跟蹤波長630 nm.
降解反應結束后,對降解液進行HPLC分析,采用外標法確定其降解產物.HPLC條件:柱子(Wondasil C18,4.6 mm×150 mm),流動相(V甲醇 ∶ V水= 4 ∶ 6),流速(1.00 mL · min-1),進樣量(25 μL),檢測器(SPD-15C型UV檢測器),波長(285 nm).
3 結果與討論
3.1 配合物的組成及結構
采用元素分析儀對所合成的配合物的進行了C、H、N元素分析,數據見表 1.配合物置于坩堝于550 ℃馬弗爐灼燒8 h,用0.5 mol · L-1 HNO3浸取,采用EDTA絡合滴定測定Cu2+含量,PAN為指示劑,數據見表 1.用固體KBr壓片法,在400~4000 cm-1范圍內,測定了相關配體及配合物的紅外光譜,譜圖歸屬見表 1.
表1 配合物的表征
從表 1中的元素分析的結果發現,測定值與理論值吻合,說明推測的配合物的分子組成是正確的.表 1中紅外數據顯示配合物CuClLa·H2O、CuClLb·H2O和CuClLc·H2O的νC=N、υPh-O、υCH2—OH的吸收峰與對應的配體HLa、HLb和HLc的νC=N、υPh—O、υCH2—O的吸收峰均發生了一定程度的移動,說明C=N中的N原子、Ph—O中的O原子、—CH2—OH中的O原子參與了配位;配合物在500~550 cm-1處出現的Cu—N吸收峰,進一步說明C=N中的N原子參與配位;配合物在600~610、460~470、400~410 cm-1處的吸收峰分別是H2O參與配位時H2O的面外、面內和M—O的振動吸收,說明配位H2O的存在.說明La、Lb和Lc均作為三齒配體參與配位,中心離子Cu2+周圍有5個配位原子(La提供的一個N原子和兩個O原子,H2O提供的一個O原 子,Cl-提供的一個Cl原子,推測配合物CuClLa·H2O、 CuClLb·H2O和CuClLc·H2O可能結構見圖 1.
CuClLa·H2O、CuClLb·H2O和CuClLc·H2O在熔點測定的時候發現分別在300 ℃、280 ℃、300 ℃以下都表現熱穩定性.
3.2 酸性藍9的降解
為了模擬酶過程,參照文獻選擇廢水的起始濃度25 mg · L-1,λ=630 nm,pH=7.2,T=37 ℃,以H2O2為氧源,n 配合物 ∶ n染料 ∶ n雙氧水=1 ∶ 10 ∶ 1000,進行配合物催化酸性蘭9的降解實驗,每1 h記錄1次吸光值,計算其脫色率,降解效果見表 2.
表2 酸性藍9的降解
從表 2的數據說明,CuClLa·H2O和CuClLb·H2O 能有效的催化酸性藍9的降解,CuClLc·H2O對于酸性藍9的降解也具有一定的降解作用2 h后,CuClLb·H2O催化酸性藍9的降解率達到90%;4 h后,CuClLa·H2O催化酸性藍9的降解率達到90%;而CuClLc·H2O催化酸性藍9的降解率在6 h后才達到達到40%.可見催化降解效果是CuClLb·H2O最好,而CuClLc·H2O最差.
為了進一步了解CuClLa·H2O,CuClLb·H2O和CuClLc·H2O催化酸性藍9的脫色動力學過程,每0.5 h記錄一次吸光值,計算其脫色率,繪制了脫色率P-t 曲線(圖 2).
圖2 酸性藍9的P-t曲線
從圖 2可以發現,CuClLa·H2O、CuClLb·H2O作為仿酶催化劑的延至期很短,小于30 min;而CuClLc·H2O作為仿酶催化劑的延至期大約在100 min.CuClLa·H2O、CuClLb·H2O出現了明顯的線性期和底物耗盡期.CuClLc·H2O出現明顯的延至期和線性期,由于監測時間關系,沒有觀測到底物耗盡期.為了進一步了解CuClLa·H2O、CuClLb·H2O作為仿酶催化劑動力學過程,每10 min記錄1次吸光值,計算其脫色率,繪制了脫色率P-t曲線(圖 3).圖 3同時給出了每2 min記錄1次吸光值的P-t曲線.
圖3 酸性藍9的P-t曲線
從圖 3可以發現,CuClLa·H2O在5 min之前有明顯的延至期,而CuClLb·H2O延至期小于2 min.結合圖 2和圖 3,CuClLa·H2O在2 h以后進入底物耗盡期,而 CuClLb·H2O在1.5 h以后進入底物耗盡期.
為了進一步了解CuClLa·H2O,CuClLb·H2O催化能力,進行了CuClLa·H2O,CuClLb·H2O米氏常數的測定. 固定催化劑的量,改變染料的起始濃度,采用分光光度計跟蹤降解過程,繪制不同濃度下的脫色率時間曲線,圖 4給出了CuClLa·H2O和CuClLb·H2O在不通濃度下的C-t曲線.
圖4 CuClLa·H2O(a)或CuClLb·H2O(b)存在下酸性藍9的C-t曲線
從圖 4發現,不同濃度下,同一品種同一濃度的催化劑對不同濃度的酸性藍(S)的降解在線性區的速率(V)不一致.利用利用生物繪圖軟件GraphPad Prism 5進行了V-S曲線繪制,并進行米氏方程擬合,結果見圖 5.
圖5 CuClLa·H2O(a)或CuClLb·H2O(b)存在下酸性藍9的V-S曲線
圖 5的數據顯示,CuClLa·H2O和CuClLb·H2O 催化酸性藍9降解的V-S曲線與米氏方程曲線(圖 6)吻合,擬合常數分別為0.9493、0.9403.
圖6 米氏曲線
結合圖 5和圖 6說明CuClLa · H2O和CuClLb · H2O 催化酸性藍9降解經歷了與底物形成一種復合過渡態. 這一動力學特性是典型的酶催化動力學特性,所以進一步說明CuClLa·H2O和CuClLb·H2O 對酸性藍9的催化降解具有酶催化特性,可以用作仿酶催化劑.經擬合計算出CuClLa·H2O和CuClLb·H2O 的米氏常數Km分別為1.35×10-2 mmol · L-1和1.54×10-2 mmol · L-1.Km值可近似的反應酶與底物的親和力大小,Km值大,表明親和力小;Km值小,表明親和力大.純天然酶的米氏常數一般在1.00×10-3~10 mmol · L-1,而配合物CuClLa·H2O和CuClLb · H2O的Km落在這個區間,說明CuClLa · H2O和CuClLb·H2O具有很好的酶促效應,很好的模擬了氧化酶.因為催化劑與底物結合力越強,則產物離去也會困難,所以催化活性會有所下降.所以CuClLb·H2O具有比CuClLa·H2O高的酶促活性,與表 2、圖 2和圖 3給出的信息一致.
3.3 降解產物測定
對降解8 h后的降解液進行HPLC檢測,采用外表保留時間定性,結果發現CuClLa · H2O、CuClLb · H2O和CuClLc · H2O作為氧化酶的模型物催化酸性藍9的氧化降解,降解產物都有順式丁烯二酸和米氏酮.
采用高錳酸鉀法對不加催化劑和雙氧水的染料溶液和脫色率達到100%的降解液進行COD測試,CODMn分別為67 mg · L-1和11 mg · L-1,COD清除率達83.6%.
3.4 催化機理和降解機理
結合文獻和降解產物的跟蹤推測可能的催化劑循環機理見圖 7.
圖7 配合物的催化機理
Cu2+形成配合物時,最多可以提供6個配位點,生成八面體結構,Cu2+處在八面體的中心.而配合物CuClLa·H2O、CuClLb·H2O、CuClLc·H2O均為5配位結構,在軸向上可以允許其它的配體插入,生成6配位的結構.如圖 7所示,底物之一H2O2的過氧鍵中的一個O原子與中心離子Cu2+配位占據軸向位置產生6配位結構的中間結構(2),H2O2中的2個H原子分別與配體L的酚氧的O原子和物之二酸性藍9中叔胺中的N原子生成氫鍵,同時H2O2中的另一個O原子與配位H2O中的H原子發生氫鍵結合. 由于Cu2+的誘導激化作用和氫鍵網的作用,導致催化劑中的Cl-和H2O2的一個H+離去,H2O2的兩個O原子同時參與配位,催化劑轉化為圖 7中的6配位結構(3),同時H2O2中的一個O原子進攻底物酸性藍9中的三苯甲烯C原子,失去一個活性O,催化劑形成圖 7中的5配位結構(4),(4)中有一個HO-配體與反應體系中的Cl-交換,生成(1),實現催化劑的循環過程.可見由于配位中心的這種配位誘導極化和周圍的氫鍵作用,加快了H2O2的過氧鍵的斷裂,生成活性O原子,加快了染料的降解進程,而且降解徹底.而給電子基團有利于酚氧中的O原子參與氫鍵網,促進H2O2的過氧鍵的斷裂,有利于催化性能的提高,所以CuClLb·H2O中由于CH3O—的引入,所以CuClLb·H2O的活性優于CuClLa·H2O;大的位阻基團引入,不利于底物之二酸性藍9的靠近,不利于氫鍵網的生成,不利于H2O2的過氧鍵的斷裂,不利于催化性能的提高,所以CuClLc·H2O中由于2個(CH3)3C-的引入,位阻增加,所以CuClLc·H2O的活性不如CuClLa·H2O活 性.所以催化性能是CuClLb · H2O最好,CuClLa · H2O 其次,CuClLc·H2O最差,這與表 2和圖 2的結果一致,說明催化劑的循環機理是合理的.具體參見污水寶商城資料或http://www.bnynw.com更多相關技術文檔。
依據圖 7和HPLC跟蹤發現降解產物米氏酮和順丁烯二酸的存在,推測酸性藍9可能的降解機理(圖 8).
圖8 酸性藍9的降解
4 結論
1)制備了3個Cu2+配合物并進行了表征,發現3個配合物均為單核五配位三角雙錐結構的配合物.
2)得到了兩個性能優良的仿酶催化劑CuClLa·H2O和CuClLb·H2O,給出了配合物的催化循環機理和酸性藍9的降解機制,發現了這類配合物在配體L的苯環上引入給電子基團有利于催化效果,引入大的位阻基團不利于催化效果.這些為設計合成更有效的催化劑提供了依據,對發現新的染料降解技術和方法,解決染料廢水脫色降解的難題提供了科學和實踐依據.


