浸沒式膜生物反應器(submergedmembranebioreactor,SMBR)是在內環氣升式生物反應器基礎上改進的一種高效的生物處理與膜處理相結合的反應器,具有出水水質好、占地少、污泥產量低、易于實現自動控制、操作管理方便等優點,但其因膜污染嚴重、水通量下降快等缺點,嚴重影響了浸沒式膜生物反應器在工程中的推廣與普及[15]。當前研究者有通過湍流促進器改善流體的流動形態[69],也有利用曝氣[10,11]在膜表面形成氣液兩相流,增加膜面剪切力,達到降低膜污染及濃差極化的目的。
近年來,有許多學者采用計算流體動力學(computerfluentdynamic,CFD)和粒子成像測速(particleimagevelocimetry,PIV)技術來模擬和測試SMBR中單相流、兩相流和多相流的流態分布,同時給出速度和剪切力等性能指標的分布信息。Judd等[12]利用CFD模擬SMBR管式膜中的流場,并結合實驗,證明了CFD模擬的膜面剪切力和膜通量具有良好的相關性。李金等[13]利用計算流體動力學CFD方法對浸沒式超濾膜過濾器內的流場進行數值模擬,通過計算得到過濾器內流體速度場,壓力場和紊流強度的分布情況。Yang等[14]利用CFD模擬了浸沒式平板膜生物反應器的兩相和三相流,并把計算結果與實驗數據進行了比較。最終結果表明,錯流速度是減輕膜污染的重要因素。Amini等[15]在市政廢水處理的CFD模擬及實驗中,使用兩相流和三相流分別考察了膜生物反應器中的氣泡直徑、污泥濃度、曝氣率、生物相和膜生物反應器的流體動力學和性能,從模擬結果及實驗數據得出,在不同污泥濃度下錯流速度是減少膜污染的必要因素。Gimmelshtein等[16]主要研究在有檔板的情況下,通過PIV測試平板膜通道間速度及混合指數的變化。結果表明,檔板會造成流體流動方向的改變。Liu等[17]探討了膜生物反應器內氣水兩相流的流動特性。利用PIV和高速相機檢測膜生物反應器系統中的氣泡大小和運動以及單相流和兩相流的速度分布情況。Willems等[18]利用PIV和CFD研究了液體和液體/氣體流過有檔板的通道內流體速度分布。結果表明,兩相流狀態下比單相流的速度變化更不穩定,更有利于防止膜污染的濃差極化。Yan等[19]通過CFD和PIV研究了在低曝氣強度下檔板的不同位置和尺寸對氣升式平板膜生物反應器流體動力學性能的影響。
本研究把曝氣與微通道湍流促進器結合在一起防治浸沒式平板膜生物反應器的膜污染和濃差極化。先采用CFD中的歐拉模型對附加微通道湍流促進器的浸沒式平板膜生物反應器內氣液兩相流進行數值模擬,并考察浸沒式平板膜生反應器內流體動力學性能指標:速度、剪切力、湍流動能、湍流強度、湍流耗散率及靜壓的變化。接著通過PIV實驗對浸沒式平板膜生物反應器膜面流場進行測試。最后結合CFD模擬結果與PIV實驗結果,找出最佳曝氣率以便改善浸沒式平板膜生物反應器流體動力學性能,減少能耗,增加膜面剪切力,有效控制膜污染和濃差極化。
1 CFD數值模擬
1.1 數學模型
由于本實驗是對反應器內流體特性的研究,因此在建立數學模型時將忽略氣體與液體流動過程中的傳熱,只模擬反應器內的流場特性,假定流體是非穩態的、定常的、不可壓的。所以建立的基本守恒方程為連續方程和動量守恒方程。
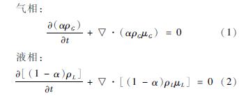
1.1.1 連續方程(continuityequation)
式中:ρ是密度,t是時間,u是速度矢量,α為氣含率。
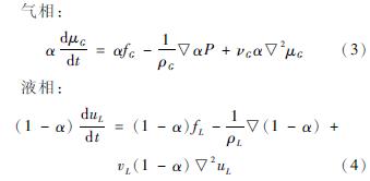
1.1.2 動量守恒方程(momentum conseravationequation)

式中:p是靜壓,f是體積力,ν是運動粘度。
1.2 幾何模型及邊界條件的設定
附加微通道湍流促進器的浸沒式平板膜生物反應器可簡化為二維算例。本文采用AutoCAD2008建模,模型如圖1(a)所示。浸沒式平板膜生物反應器為600mm×300mm的長方形,中間是膜組件,膜面上每隔64mm交錯放置微通道湍流促進器。為模擬方便將曝氣口簡化為小的圓形。膜片及曝氣孔位置與實際安裝位置相同,即距離反應器內底分別為180mm和135mm。液體入口(waterinlet)設為速度進口邊界條件,速度為0.5m/s。氣體入口(airinlet)設為速度進口邊界條件。反應器出口邊界條件設為outflow。具體參見http://www.bnynw.com更多相關技術文檔。
1.3 計算模型
根據浸沒式平板膜生物反應器流體的特性,在模擬中選用Euler模型,考察曝氣速率對附加微通道湍流促進器的浸沒式膜生物反應器性能的影響。采用非結構網格,利用Meshing對膜生物反應器進行網格劃分。網絡采用的是三角形和四邊形單元,并在局部單元特別是對曝氣孔以及微通道湍流促進器處進行加密處理,如圖1(b)所示。為了保證計算的穩定,滿足遷移性要求且盡量避免數值上的擴展誤差,在計算時離散方式選用二階迎風格式。計算方法選用了壓力耦合的SIMPLIC算法。為保證計算數值的收斂性,殘差采用10-5。




