隨著我國工業經濟的快速發展,白炭黑的應用范圍在持續擴大,市場的需求量逐年增加,同時,在白炭黑生產過程中產生的大量廢水將對環境造成嚴重的污染,對此類污水的治理迫在眉睫。目前常結合混凝沉淀的方法處理此類廢水,但是普通混凝過程較復雜,容易受到多種因素的干擾,處理效果不穩定,針對普通混凝的不足,磁混凝工藝作為一種新型高效固液分離的技術在近年應運而生,這種工藝依托于絮凝形態學理論,通過對混凝過程相關參數的嚴格管控,以接觸絮凝為基礎,實現廢水高效的固液分離。該技術的主要原理是利用磁粉等磁種在廢水混凝處理過程中與廢水中懸浮的膠體顆粒以及其他細小顆粒物質聚集從而形成高密度的致密絮團,聚集成團的固相物質質量增大,加速沉降,從而實現高效固液分離。反應結束后,可針對添加的磁種等含磁性物質進行回收再利用,該法可用于去除固體懸浮物(SS)、總磷(TP)和部分化學需氧量(COD)等污染物。利用磁混凝處理技術可以在幾秒內完成固液的有效分離,反應的水力停留時間充分縮減,從而大大減少土工設施,節約占地面積,在水處理中得到廣泛應用。
1、材料與方法
本實驗針對某白炭黑工業園區生產污水進行處理,水質特征如表1所示。

如表1所示,水質pH為中性,其中COD含量較低,約為10~30mg/L,SS和TP含量較高,TP濃度約為5mg/L,針對該廢水特點,本實驗選用聚合氯化鋁PAC、氧化鈣CaO、硫酸亞鐵FeSO4、硫酸鐵、硫酸鋁五種混凝劑,分別與陰、陽離子型PAM組合開展處理此類廢水的磁混凝試驗,處理水量10L,五種混凝藥劑實驗濃度為100mg/L,陰、陽離子型PAM加入量分別為2mg/L,磁粉為四氧化三鐵粉末,均過200目處理,加入量為300mg/L。
2、結果與討論
2.1 磁混凝法與普通混凝法的對比試驗
磁混凝法與普通混凝法的對比試驗結果如圖1所示。由圖1可知,普通混凝藥劑的反應結束后,溶液中有懸浮大量白色絮體懸浮,不易沉降,致使溶液SS較高,無法達到排放標準。與普通混凝法相比,磁混凝法可顯著提高廢水中SS的去除效率,加入磁粉的五種混凝劑的SS去除效果順序為:PAC>硫酸鐵>CaO>硫酸鋁>硫酸亞鐵;PAC磁混凝組中可直接獲得SS<10mg/L的處理效果,CaO、硫酸鐵及硫酸鋁磁混凝試驗也可獲得SS<20mg/L的處理效果。綜上可知,磁混凝法作為處理此種白炭黑廢水SS可取得極好效果。

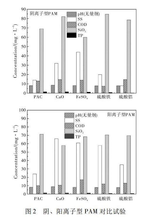
2.2 陰、陽離子型PAM對比試驗
圖2中,不同類型的PAM對于不同藥劑實驗中溶液pH影響較小,溶液pH均小于10,同時對于此廢水中的COD降解效果不佳,COD約為15mg/L,這可能是混凝過程主要可去除廢水中的膠體及懸浮類有機物,本試驗中雖形成較多絮體,但其應為無機成分,且絮體并未通過包裹、吸附等作用去除廢水COD,故此廢水中的COD應為溶解性COD。

廢水的TP濃度的降低與PAM類型關聯較小,其受混凝劑種類制約,TP去除效果順序均為:硫酸鋁>硫酸鐵>硫酸亞鐵>CaO>PAC,其中硫酸鋁組TP的去除率達到95%以上,出水TP穩定小于0.3mg/L,這主要是由于白炭黑廢水中TP主要以磷酸鹽形式存在,TP去除主要為磷酸鹽的化學沉淀反應,此實驗中,鋁鹽具有最優除磷效果。陰離子型PAM對于廢水SS的去除效果更佳,去除率可以達到92%以上,而陽離子型PAM對于廢水SiO2的去除效果更優。分析知,SiO2膠體顆粒為負電性,故陽離子型PAM的壓縮雙電層及電中和作用對其處理效果較好;陰離子型PAM對SS的處理結果表明,此廢水中存在帶正電荷的懸浮顆粒,使用陰離子型PAM可獲取更好的處理效果。綜上所述,使用陰離子型PAM進行處理時硫酸鋁組可同時獲得較好的SS及TP處理效果,故推薦使用此藥劑進行處理。
2.3 磁混凝后溶液中二氧化硅濃度的變化
為監測磁混凝后溶液中SiO2濃度的變化,查驗較長時間維度下是否有SiO2固態物質析出進而沉積于構筑物中(在污水處理廠的水解酸化池及氧化溝中沉積大量硅粉),設計本實驗對磁混凝后溶液中二氧化硅濃度的變化進行觀測,實驗結果如圖3所示。本實驗取10L廢水,選取硫酸鋁進行磁混凝試驗,硫酸鋁加入量為100mg/L,陰離子型PAM加入量為2mg/L,磁粉選用高純300目四氧化三鐵粉末,其加入量控制為300mg/L。分析知,磁混凝試驗后,溶解性SiO2的濃度基本穩定于75mg/L,45d觀測試驗表明混凝后SiO2可已硅酸鹽形態存在于溶液中,不會以固相形式析出,亦不會沉積于反應器中。

3、結論
(1)磁粉添加下的混凝試驗對白炭黑廢水SS處理效果優于普通混凝試驗。
(2)結合磁混凝后溶液SiO2濃度的變化規律,此種白炭黑廢水中SiO2濃度可長期穩定,不會以固相形式析出,廢水SS的去除較為關鍵,故更有利于SS去除的陰離子型PAM更適合于該種廢水。
(3)綜合SS及TP去除效果,建議選用硫酸鋁組合陰離子型PAM為在白炭黑生產廢水處理中磁混凝添加藥劑。(來源:安徽環境科技集團股份有限公司)



