有色金屬濕法冶金廢水中含有大量的有機物及硫酸鹽、氯化鈉等鹽分,因其易污染環境且可使土地鹽堿化而不能外排,必須進行深度處理后才能外排或回用。對于含鹽量較低的廢水,一般采用反滲透、電滲析或者其他膜分離技術進行除鹽除雜處理。但是對于含COD高鹽廢水,無法采用常規的反滲透、電滲析或其他膜分離技術處理,存在處理費用較高、對有害物質處理不完全問題,仍需進行二次處理。對于含有單一鹽類的高鹽廢水,可利用蒸發濃縮技術,回收鹽類及高純蒸餾水。但如果廢水中含有兩種及以上的鹽類(Na2SO4、NaCl、KCl、K2SO4等),僅靠多效蒸發濃縮工藝難以得到高品質的化工產品,同時采用蒸發濃縮處理廢水,還存在設備腐蝕嚴重、能耗高、成本高、投資成本高等問題。
冷凍脫硝技術是處理高鹽廢水的一種新方法。它利用固液相平衡原理實現冷凍分離,使低溫條件下溶解度較低的溶質析出,得到高純鹽結晶和濃縮廢水。但剩余濃縮廢水中依然含有高濃度的Na2SO4、NaCl與COD,不能外排。故本文針對含Na2SO4與NaCl兩種物質的含COD高鹽廢水,提出了冷凍脫硝-蒸發濃縮技術,采用此技術處理Na2SO4及粗鹽工業產品,可實現含COD高鹽廢水資源化利用,并實現零污染排放。
1、冷凍脫硝-蒸發濃縮技術原理
1.1 冷凍脫硝技術原理
根據NaCl、Na2SO4等無機鹽在不同溫度下的溶解度不同的原理,通過控制溫度來分離NaCl、Na2SO4。通過表1可知,在-5~0℃,NaCl質量分數為5%~20%,Na2SO4質量分數為0~2.8%;在0~10℃,NaCl質量分數為5%~20%,Na2SO4質量分數為1.1%~4.6%。而冷凍至0℃以下,冰會與結晶鹽一同析出,降低結晶鹽的純度,且能耗會大幅度增加。故冷凍脫硝可利用這一原理,在0~10℃將Na2SO4·10H2O結晶出來,溶解回用,三效蒸發后得到一級品質元明粉(硫酸鈉)產品,而剩余NaCl上清液送至蒸發段,進行下一步處理。
本文將結合冷凍結晶法的優勢,研究不同冷凍溫度條件下獲得的高鹽廢水中Na2SO4、NaCl等分配及電耗情況。通過實驗結果得到最優溫度參數,為后續整體工藝研究提供依據。
1.2 蒸發濃縮技術原理
在蒸發過程中,隨著溫度的升高,混鹽溶液中硫酸鈉的溶解度下降,氯化鈉、硝酸鈉的溶解度升高,故采用高溫蒸發濃縮出料,保證氯化鈉的濃度低于共析點的飽和溶度,析出硫酸鈉產品。結合物料情況,采用多效蒸發操作,將大量的水蒸發掉,使溶液中的NaCl濃度升高(NaCl含量需<20%,防止NaCl析出,如表1所示),降低Na2SO4的溶解度,析出符合工業級的無水硫酸鈉;剩余料液再到蒸發器繼續蒸發,得到少量雜鹽。

2、冷凍脫硝溫度的影響
2.1 冷凍溫度對鹽結晶產率和化學質量的影響
某濕法冶金項目產出高鹽廢水,其中含有大量硫酸鈉與少量氯化鈉,成分參考表2。由表2看出,該廢水含有大量COD與少量氟離子,結合上文分析,對該廢水在模擬工況下0~10℃溫度段進行冷凍實驗,重點考察冷凍溫度對芒硝產率及化學質量的影響。

實驗采用控溫冰柜對高鹽廢水進行冷凍,分別取初始溫度50℃下500mL高鹽廢水,質量為655g,分別置于冷凍溫度為0、5℃、8℃、10℃的控溫冰柜,冷凍相同時間平衡后取出,過濾分離固相和液相,稱量液相體積及質量,并測定液相中Na+、SO2-4、Cl-、F-離子濃度和COD含量等,成分如表2所示。不同冷凍溫度下液相與結晶相的質量見表2。
2.1.1 芒硝化學質量
由表3可知,在0~10℃,隨著溫度升高,冷凍后液與結晶質量的分配變化不大,冷凍后液量有稍許增加,芒硝的析出量有輕微減少,但液相與結晶相質量比約為1∶2。因為溶液冷凍溫度越低,芒硝溶解度越低,析出量越大。

2.1.2 芒硝產率
由表4可知,晶體中SO2-4占比在86%以上,說明絕大多數的Na2SO4以芒硝的形式析出。且隨著溫度的升高,芒硝的產率降低,在10℃時,芒硝的產率為86.55%。

2.1.3 COD分配比
由表5可得出,在0~10℃溫度范圍內,芒硝析出結晶中COD的含量隨著溫度的升高先降低后升高。溫度為8℃時,芒硝結晶中COD的占比為18.31%。絕大多數COD殘留在冷凍后液中,約為81.69%。芒硝結晶中含有COD,一方面由于在抽濾過程中未完全分離過濾后液與結晶。另一方面,由于在晶體生長過程中,污染物處于“逃逸”狀態,由于芒硝晶體的快速生長,且芒硝晶體顆粒界面處的污染物濃度較大,部分污染物來不及“逃逸”,而被包含在Na2SO4析出晶體中,從而導致廢水中的COD去除率較低。

2.1.4 Cl、F分配比
在0~25℃時,NaCl的溶解度隨溫度的變化不明顯,因此在廢水溫度降低至10℃以下時,NaCl無結晶析出。同理,NaF同樣如此。分析表6及表7可得出,結晶中含有少量的氯離子和氟離子主要是因為采用抽濾方式進行分離芒硝,過濾后液與結晶未能完全分離,部分Cl及F被存留在芒硝析出晶體中。在實際生產中,溫度為8℃時,芒硝析出晶體中Cl含量最少,占比為4.41%;芒硝析出晶體中F含量在0℃時占比最低,為12.87%。


2.2 冷凍溫度對冷凍電耗的影響
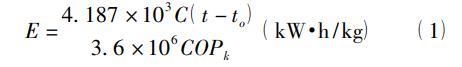
根據上述實驗數據,在國內外各學者前期研究的基礎上,從能耗角度出發,分析不同溫度下冷凍能耗的變化情況,找到最佳冷凍溫度,從而降低能耗。能耗的計算公式見式(1)。

式中:C為廢水比熱容,Na2SO4廢水溶液含量(wt.%)約為30.55,溫度為50℃時,廢水比熱約為0.79(隨著溫度不同,Na2SO4含量的不同,廢水溶液的比熱容在0.758~0.996的范圍內變化,本文中Na2SO4廢水溶液比熱選取一個固定值0.79),cal/g·℃(1kcal=4.187kJ;3600kJ/h=1kW;故1cal=4.187/3.6×106kW·h;1cal/g·℃=4.187×103/3.6×106kW·h/kg·℃);t為初始溫度(本文為50℃),to為冷凍溫度,℃;m為廢水量,本文廢水量為0.655kg;E為能耗,kW·h/kg;COP為冷凍制冷系數,其與制冷機有關,理論上的制冷性能系數為2.5~5,此處可設為定值3。通過計算得到不同溫度下的能耗值,見表8。

由表8可知,隨冷凍溫度的降低,冷凍析出結晶的能耗呈上升趨勢。隨著冷凍溫度的降低,冷凍相同量的廢水所需時間也相應的增加。因此,應結合實際工程需要,根據一級不同冷凍溫度的處理效果,確定最佳冷凍溫度。
通過對比COD及各元素分配,發現冷凍溫度在8℃時,冷凍結晶中COD、Cl占比最少,且F含量相對較少。且8℃時,冷凍能耗也相對較少,故后文采用8℃進行后續工藝實驗。
3、蒸發濃縮技術對產品質量的影響
通過表1可知,蒸發濃縮后溶液中NaCl的含量對Na2SO4的溶解度影響較大。而溫度的變化(>50℃)對其影響較小。參考表2中3#冷凍后液成分,通過向其中添加NaCl、H2O,配制不同NaCl含量的冷凍后液,同條件進行蒸發濃縮,根據NaCl的含量,濃縮不同倍數,使其中的NaCl含量濃縮至20%,考察NaCl含量對蒸發濃縮試驗析出的Na2SO4產品質量的影響。

對比不同NaCl含量原液蒸發濃縮后Na2SO4結晶成分,發現隨著NaCl含量升高,蒸發濃縮倍數降低,但Na2SO4結晶雜質含量升高。NaCl含量為5%時,Na2SO4結晶中氯化物(以Cl計)含量為0.44%,COD含量為0.48%。而1#中的Na2SO4結晶純度最高,且其原液中Na2SO4/NaCl質量含量比值與表2中3#冷凍后液相近。故后文直接采取3#冷凍后液進行后續工藝試驗。
4、冷凍脫硝-蒸發濃縮技術處理含COD高鹽廢水
高鹽廢水處理工藝包括冷凍結晶工序和蒸發濃縮工序,主要工藝設備有結晶槽、沉硝槽、冷凍裝置、催化電解除COD裝置、蒸汽壓縮機、板式換熱器、鹽漿槽等。高鹽廢水處理工藝流程簡圖見圖1。

本工藝考核的指標主要為芒硝及Na2SO4結晶產品純度。首先對原液進行低溫8℃冷凍處理,并對芒硝及Na2SO4結晶進行物相分析,如表10所示。由圖2和表10可得,冷凍后,絕大多數的硫酸鹽被結晶,其顏色較白,結晶鹽中僅含有少量的COD及極少量的Cl,未檢出油。絕大部分的COD及Cl、F等殘留在冷凍后液中,后續針對冷凍后液進行COD去除、蒸發結晶處理也可得到純度較高的Na2SO4結晶及部分雜鹽。


5、結論
本文采用冷凍脫硝-蒸發濃縮技術處理含COD高鹽廢水,對冷凍脫硝溫度和NaCl初始含量對產品的影響進行了分析,得出以下結論。
1)通過對冷凍溫度的研究,確定該高鹽廢水在0~10℃冷凍溫度范圍內,冷凍結晶中COD殘留量低于30%,最佳冷凍溫度為8℃,在最佳冷凍溫度條件下冷凍析出結晶的能耗較低。
2)Na2SO4/NaCl質量含量比值越高,析出的Na2SO4結晶純度越高。
3)冷凍脫硝-蒸發技術利用氯化鈉-硫酸鈉-水三相體系中物質濃度比和溶解度的不同,有效實現了硫酸鈉與氯化鈉的分離,實驗產物為芒硝、Na2SO4結晶及雜鹽產品。(來源:中國恩菲工程技術有限公司)



