金川集團股份有限公司鎳冶煉廠冶煉生產主要以硫化礦為原料,在火法冶煉過程中,礦石中伴生的硫化物則轉化成為二氧化硫,夾雜在高溫含塵的多組分煙氣中進入配套的冶煉煙氣制酸系統,煙氣經過凈化工序的洗滌降溫、除雜除塵后用于硫酸生產。在煙氣凈化過程中會產生大量成分復雜、重金屬離子含量高的酸性廢水,該酸性廢水主要含有鎳、銅、鉛等重金屬及砷、氟、氯元素等有害雜質。由于這部分酸性廢水無法直接回用,造成了水資源的浪費和生產成本的增加。為此,鎳冶煉廠開發了鎳冶煉酸性廢水綜合治理技術,該技術克服了傳統技術對酸性廢水非穩態成分達標治理的制約,可實現酸性廢水穩定達標排放。
1、常規酸性廢水處理工藝
目前有色冶煉煙氣制酸的酸性廢水常規處理采用硫化鈉除重金屬、電石渣中和、鐵鹽除砷等工藝。
1.1 硫化工序
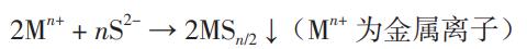
硫化工序主要采用硫化沉淀法處理酸性廢水,向酸性廢水中投加硫化鈉,基于各種硫化物溶度積不同,使酸性廢水中大部分重金屬離子與硫化鈉反應生成難溶性金屬硫化物沉淀而分離。其反應式如下:

制酸系統排出的酸性廢水進入原液儲槽,用原液泵送至硫化反應槽,投加硫化鈉溶液去除砷元素。酸性廢水原液與硫化鈉溶液在文丘里反應器中進行反應,隨后進入硫化反應槽進一步反應,硫化后酸性廢水自流進硫化濃密機進行沉降分離。濃密機上清液進入稀酸槽,底流經泵加壓送至硫化壓濾機,經壓濾機脫水后,硫化渣作為危廢渣外運或堆存,濾液進稀酸槽。
1.2 中和工序
中和工序主要采用電石渣作為中和劑,加入的中和劑與酸性廢水中的砷和重金屬污染物生成氫氧化物沉淀,從而達到脫除廢水中的重金屬離子的目的。在一級石膏反應槽中加入電石渣,將硫化后液中和到pH=3。在該pH值條件下,主要進行兩部分反應:中和硫酸和除氟。其反應式如下:

在二級中和槽中進一步加入電石渣,提升pH值到9~10,后進入除氟反應槽,在除氟反應槽分別加入PAM凝聚劑。在該條件下,主要進行兩部分反應:與重金屬離子形成氫氧化物沉淀和除氟。其反應式如下:

1.3 深度處理工序
酸性廢水經硫化工藝去除大部分重金屬離子和砷后,經兩級中和工藝脫除酸水中的H2SO4和F-,進入深度處理工序,利用鐵鹽進一步去除廢水中殘存的重金屬離子和砷。鐵的氫氧化物具有強大的吸附和絮凝能力,可達到去除廢水中砷、鎘等有害雜質的目的。pH值在9左右時可將廢水的重金屬離子以氫氧化物的形式脫除。其反應式如下:

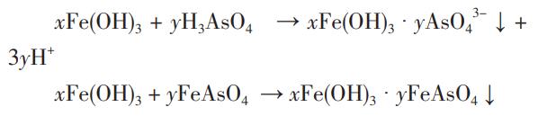
鐵離子與砷除生成砷酸鐵外,氫氧化鐵可作為載體與砷酸根離子和砷酸鐵共同沉淀。其反應式如下:

酸性廢水處理系統通常采用硫化鈉作為硫化劑,大量的鈉離子加入在回用過程中造成鈉離子累積,會產生大量結晶鹽,增加酸性廢水處理成本。同時,目前工業用硫化鈉質量分數在60%,其中含有硫代硫酸鈉、亞硫酸鈉及水不溶物等雜質,會造成硫化鈉藥劑用量過大。并且,中和工序中電石渣用量大,導致出水的硬度很高,出水難以直接回用。中和石膏渣中砷含量偏高,屬于危險固體廢物,不利于石膏渣的資源化利用,同時也增加了廢物處理難度和費用。
2、酸性廢水綜合治理及回收工藝
目前,鎳冶煉廠制酸系統產生的酸性廢水一部分排放至銅業公司硫酸裝置酸性廢水處理系統,采用硫化-中和沉淀法綜合處理。另一部分酸性廢水采用硫化氫去除重金屬、濃密壓濾分離固廢、三效蒸汽吹脫溶液中氟氯后用于硫酸系統成品酸配酸。酸性廢水綜合處理系統包括硫化氫合成、硫化凈化、污酸濃縮、氟氯吹脫、混酸等工序。
2.1 硫化氫合成
采用甲醇裂解制氫工藝,將甲醇與水的混合蒸氣在反應器中加壓催化完成轉化反應,反應生成氫氣和二氧化碳混合轉化氣。其反應式如下:

在一定溫度及壓力下,氫氣與液態硫磺發生合成反應生成硫化氫。在合成反應洗滌塔內,硫磺從塔頂流入塔底,純氫從塔底進入,使氫氣在反應室內與液硫充分接觸并反應生成硫化氫。其反應式如下:

2.2 硫化凈化
主要以合成的硫化氫為硫化劑,在反應器內與酸性廢水進行兩級氣液接觸反應,通過重金屬污染物(As、Cu、Pb等)與解離出的硫離子結合生成不溶沉淀物后,再進行固液分離以實現污酸廢水中重金屬雜質的凈化去除。反應后過量的硫化氫氣體和濃密機中溢出的硫化廢氣經管道匯集后,進行尾氣吸收處理后達標排放。
2.3 污酸濃縮
硫化凈化后的稀酸通過三效蒸發系統進行濃縮,三效蒸發濃縮技術是通過蒸汽作用將混合液體中的不同組分按沸點不同進行濃縮分離。采用蒸汽為熱源對料液進行升溫,隨著料液溫度的升高,首先達到水的沸點,水分從液體狀態汽化轉化成水蒸氣,并通過氣液分離使溶質濃度不斷提高。在一定壓力下,溶液的沸點隨溶質濃度的升高而升高。溶質濃度越高,沸點越高,需要的蒸汽的壓力也就越高。三效蒸發將幾個蒸發器串聯運行蒸發操作,產生的二次蒸汽作為下一蒸發器的熱源,使蒸汽熱能得到多次利用,從而有效提高了熱能的利用率。
2.4 氟氯吹脫
在污酸濃縮的過程中,氟、氯離子也在發生濃縮富集,大部分氟、氯離子的富集嚴重影響了濃縮酸的資源化回用。因此,對濃縮后的濃縮酸液采用氟氯吹脫裝置進行氟、氯離子轉化分離。利用氟氯吹脫塔的獨特設備結構,液相在器壁內形成微米態的液膜,極大增加了氣液傳質面積,并促使液相中的氟、氯離子向分子態轉變。
氟化氫和氯化氫以氣態形式揮發逸散,同時通過外界迅速的氣液傳質進一步加快了揮發過程,最終實現硫酸中氟、氯離子的深度凈化處理,使濃縮后硫酸滿足回用指標要求。脫除氟、氯的尾氣進入尾氣吸收裝置,采用液堿進行吸收后達標排放。
2.5 混酸
鎳冶煉酸性廢水經硫化、濃縮凈化后,先輸送至壓濾緩沖罐,經壓濾泵輸送至壓濾機固液分離。壓濾清液進入酸水高位槽,與700kt/a硫酸系統生產的w(H2SO4)98%硫酸一起進入混酸槽,配酸后生成w(H2SO4)93.0%~93.5%的濃硫酸,再經濃硫酸板式換熱器冷卻后送入硫酸庫儲存,作為成品硫酸外銷。混酸過程中脫析的氟化氫、氯化氫和少量硫酸霧經脫氣風機抽入氟氯吸收塔,經堿液中和、吸收。氟氯吸收塔中的循環液間歇式排放,排放液輸送至700kt/a硫酸系統尾吸工序,進一步堿洗后的潔凈氣體經尾氣煙囪達標排放。
3、運行效果及效益
酸性廢水綜合治理及回收工藝采用高純度硫化氫作為硫化劑,有效地保證了硫化的效果和硫化速率,同時避免了鈉離子和其他雜質帶入系統。采用新工藝后,替代了中和工序,極大地減少了渣量的產生。同時將凈化后的酸性廢水進行混酸回收,實現了酸性廢水的資源化利用。
2018年9月鎳冶煉廠成功應用冶煉酸性廢水綜合治理及回收工藝,形成了處理規模為300m3/d的鎳冶煉酸性廢水處理系統。目前該系統各工序運行平穩,生產指標正常。混酸后產品酸質量達到GB/T534—2014《工業硫酸》一等品指標,排放尾氣各項指標均滿足環保要求。
該系統有效減排酸性廢水47520m3/a,創造直接經濟效益約798萬元/a,經濟效益和環境社會效益顯著。
4、結語
鎳冶煉酸性廢水綜合治理技術在金川集團股份有限公司鎳冶煉廠的應用,從源頭上顯著降低了酸性廢水的產生量,大大縮減了危險固廢的產生,實現了酸性廢水的綜合治理和資源化回用。該技術對同類有色金屬冶煉酸性廢水的治理具有較好的應用推廣價值。(來源:金川集團股份有限公司鎳冶煉廠)



