傳統污水處理過程中會使用大量的化學藥物,對污水處理過后會有大量化學藥物殘留,并且占地面積十分的廣闊,在長期的污水處理過程中消耗大量的資金不利于長期的使用,針對上述問題,設計了一種基于薄膜生物反應技術的環境污水處理方法。設計的方法由兩部分組成,一部分是膜分離單元,一部分是生物處理單元。膜分離單元完成有毒物質以及漂浮物的隔離,通過MBR反應對污水中大分子有機物以及可溶性微生物進行反應消化,最終通過沉淀池的把多余的活性污泥進行沉淀完成污水的處理。為了保證設計的準確性模擬了使用過程進行仿真對比試驗,通過實驗的有效分析以及驗證可以看出,設計的基于薄膜生物反應技術的環境污水處理方法能夠有效的對環境污水進行綜合處理。
1、引入膜分離技術
設計的基于薄膜生物反應技術的環境污水處理方法,對污水的處理過程比傳統方法多出兩大模塊,第一模塊是模分離單元,其中應用的是膜分離技術。污水經過進水井口設計的格蘭以及過濾裝置可以將污水中的各種纖維、廢渣以及非溶于水的雜物攔在格蘭以外,方便污水的多次過濾,引人的膜分離技術使用的是高MLSS微濾膜過濾代替活性炭過濾。設計的過程一共需要經過多重膜過濾,其中包括粒子交換膜過濾、滲透膜過濾、基礎反應膜過濾,經過三重膜過濾后能夠達到:BOD<250mg/L,CODcr<400mg/L,SS<250mg/L,T-N<40mg/L,渾濁度<7NTU,總大腸細菌總數<8個/L。
1.1 使用MBR反應凈化污水
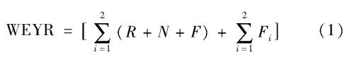
使用MBR反應對污水進行徹底凈化,污水在反應過程中對可分解有機物以及可降解分離污染物進行反應,反應發生在第一道冗余池中進行,當污水與泥水等大塊的污染物[],在第一次反應過程中能夠把SS標準值以及T-N標準值降至正常使用指標。表示污水處理過程中使用活性氧化的反應能力,值越高說明設計的方法對污水處理的方式越正確,WEYR的有效計算過程可以用公式表示為:

公式中,R表示污水反應正離子的數量,N表示污水反應溶于水的可分解有機物的數量,F表示冗余池中的曝氣程度,Fi表示在污水i的情況下使用第一次冗余效果的反向指標平,由于反應過程需要進行添加,因此添加過程也會適當對水產生影響。
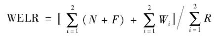
二次反應過程中的去除污水細菌的長度直接關系水質的合格度,反應過程中應用硝化細菌以及硝化基進行反應,過程可以用WELR進行統計表示:

公式中,Wi代表污水處理中生態系統的媒介細菌群落值:通過上述的兩次反應能夠達到基本除污標準,但是由于處理過程的需要達到生活飲用的標準值,因此需要進行一次綜合反應,但是反應處理無需進行反復過濾,綜合反應指標可以用WESI進行表示:

經過上述過程基本完成了對污水的處理過程但是水中還存在一定的大分子有機物以及不反應的臭氧原子。
設計的基于薄膜生物反應技術的環境污水處理方法需要經過六次過濾或者反應,每一次的凈化過程見表1。

1.2 截留水中污泥與大分子有機物
設計的基于薄膜生物反應技術的環境污水處理方法經過上述反應后需要對反應后回流的水質進行一次沉積過濾,這樣可以中和水中的NH4和NaHCO3為了讓水質更加清澈,需要中和掉水中其他代屬性化合根,其中水中各種酸根見表2。

2、仿真實驗分析
為了保證提出的基于薄膜生物反應技術的環境污水處理方法有,對仿真實驗。模擬了環境污水以及勝過污水兩種形式,同時使用傳統凈水方法進行處理與方法進行對比。
2.1 參數設定
為了保證設計的基于薄膜生物反應技術的環境污水處理方法的有效性,對實驗參數進行設置定,模擬的污水主要由兩種組成,一種是源自于生活污水的排放以后總是源自環境污水,其模擬參數見表3和表4


2.2實驗測試誤差
為保基于薄膜生物反應技術環境污水處理方法的有效性,使用日本制造分子識別器對處理后的污水進行測評,但是結果需要經過誤差,修訂的參數見表5。

2.3 結果對比分析
使用對比的方法進行實驗,把不同污水放入兩種污水處理方法中進行對比,最后一次進行綜合污水的處理觀實驗。進行處理實驗,對比結果見表6。

從表6可以看出,設計的基于薄膜生物反應技術的環境污水處理方法平均COD值在11.18mg/L,遠低于傳統污水處理方法,說明生活污水基本可以進行二次使用,通過圖中的TSS實驗測試結果可以看出方法在過濾層次上要好于傳統方法(見圖1)。

對生活污水進行凈化處理后對環境污水進行處理,觀察兩種方法的BOD值,由于環境污水中化合物較少但是細菌種類以及細菌分布校對,因此使用識別器進行結果的同類別顯示,實驗結果如下。


如表7及圖2所示,設計的基于薄膜生物反應技術的環境污水處理方法處理污水后的BOD值小于傳統方法,說明這種方法能夠對定破壞以及銷毀,這樣做到了BOD值顯著下降,方便直接進入沉淀省去傳統方法中投藥的過程,節約成本過濾效果明顯。

如表8所示,兩種方法對和綜合性污水進行凈化實驗的結果,T-N衡量的是飲水級別判定指標,通常狀態下在15至195之間為最優品質,處理過程能夠打到163左右說明經過處理后的水源已經達到優質水源的標準,但是通過FPS值可以看出過濾頻率略小于傳統方法,說明在使用過程中時間會略慢于傳統方法(見圖3)。

綜上所述,基于薄膜生物反應技術的環境污水處理方法在不需要對水中進行化學藥品添加的狀態下能夠處理多種污水,并且處理效果明顯好于傳統方法;在空間占有有占用過多的凈化空間,性價比較高節約污水處理成本。
3、結語
設計出基于薄膜生物反應技術環境污水處理方法,設計的方法由兩部分組成,一部分是膜分離單元,一部分是生物處理單元。膜分離單元完成有毒物質以及漂浮物的隔離,通過MBR反應對污水中大分子有機物以及可微生物進行反應消化,最終通過沉淀池的把多余的活性污泥進行沉淀完成污水的處理。(來源:山東省環境保護科學研究設計院)



