傳統的脫氮除磷技術由于工藝形式的限制,在處理低碳氮比污水時脫氮和除磷往往無法兼得。分段進水突破了傳統AAO工藝的單點進水,具有有機物去除率高、污泥濃度較高等優點。國內外有很多學者從工藝設計參數和運行影響因素、模型模擬、性能優化等角度對分段進水進行了大量的研究。在此基礎上,劉勝軍等人提出了MAAO(multilevel anaerobic/anoxic/oxic process)工藝。該工藝有著優化利用碳源、減少曝氣能耗,降低污泥產率等優點,目前已經在西安市某污水處理廠投入使用。不過由于該工藝調節參數復雜,具體的運行機理尚不十分明確,因此本實驗對該工藝的運行優化策略進行深入研究。本研究以實驗室配水模擬的污水廠進水為處理對象,優化改良MAAO工藝的運行條件,研究該工藝的脫氮除磷性能和各污染物的去除機制。
1、材料與方法
1.1 實驗裝置和實驗方案
MAAO系統由原水箱、反應器、終沉池三部分連接組成。原水箱容積75L。MAAO系統由有機玻璃構成,有效容積14L,共分為4級,每一級由厭氧、缺氧、好氧3個區域組成,厭氧/缺氧/好氧體積比為1∶2∶4,從第一級到第四級共分為12個區域。二沉池為豎流式,總體積為9L。系統通過反應器好氧區底部安裝的砂芯曝氣頭進行鼓風曝氣,通過調整玻璃轉子流量計來調整曝氣量。各池頂部設有恒速攪拌裝置。攪拌電機為24V直流電機,轉速為200rpm。進水和分流通過小型蠕動泵控制,污泥回流由蠕動泵控制。
如圖1所示,系統共有4級進水,3級分流,進水比為本級進水量與整個系統的總進水量之比,分流比為去往下一級厭氧池的污泥量與本級缺氧池總流出污泥量之比。

1.2 接種污泥與實驗用水
用于MAAO反應器接種的活性污泥取自西安市某處理廠二期工程(MAAO工藝)的第四級好氧區污泥進行自然馴化。污水處理廠長期運行穩定,進水為城市生活污水,出水水質長期達到一級A標準。馴化三周后反應器二沉池出水懸浮物(SS)小于20mg·L-1,系統達到穩定。實驗使用人工配水模擬生活污水,總體上保持進水基質濃度為定值,配水使用無水乙酸鈉和葡萄糖按照提供COD1∶1的比例做為碳源,以氯化銨為氮源,磷酸二氫鉀為磷源,具體配水水質為見表1。每升配水中添加0。4mL微量元素。

1.3 分析項目與方法
NH4+-N、NO-2-N、NO-3-N、TP按照標準方法測定,COD由快速消解儀(哈希,美國)測定。DO由便攜式溶氧儀(HQ40d,哈希,美國)測定,溫度由酒精溫度計測定。
1.4 實驗條件與運行方案
MAAO系統在室溫(19~22℃)條件下運行。整個實驗期間總進水流量為28.8L·d-1,污泥齡控制為10~12d,污泥回流比為100%,混合液回流比為75%。具體運行條件見表2。厭氧、缺氧段DO控制在0~0.35mg·L-1,好氧區DO維持在0.5~1.2mg·L-1。

1.5 系統SND脫氮計算方法
系統通過SND途徑去除的氮量和SND率可以通過公式(1)~(4)計算。

式中:NSND、Nde、和Nass分別為系統每天通過同步硝化反硝化、反硝化過程和同化作用去除的氮量,g·d-1;Nin和Neff為每天進入和排出系統的氮量,g·d-1;Ndn1、Ndn2、Ndn3、Ndn4、Nsec分別為各段缺氧池和二沉池反硝化作用去除的氮量,g·d-1;MLSSwaste為剩余污泥濃度,g·L-1;fVSS/SS為揮發性污泥濃度與MLVSS與MLSS的比值;Vwaste是每天的剩余污泥排放量,L;fN/bio為活性污泥中氮的含量,取12.39%。
2、結果與討論
2.1 MAAO系統脫氮特性

各種工況條件下進出水氮濃度和去除率見圖2。5種工況下的平均出水氨氮濃度分別為4.41mg·L-1、0.45mg·L-1、9.65mg·L-1、8.03mg·L-1、0.74mg·L-1,去除率分別為91.4%、99.2%、81.0%、84.9%、98.6%。其中工況一、工況二和工況五的出水氨氮較低,符合國家一級A標準,而工況二和工況五的氨氮去除率最高,出水氨氮量接近于零,硝化反應徹底。對比表2可以看出,從工況五到工況二,總好氧區HRT變化為從125~113min,實際出水氨氮濃度相差不大,系統可以實現對氨氮的高效去除,說明工況五浪費了一定的剩余硝化容量。而工況三和工況四的總好氧區HRT則下降至101min,由于水力停留時間的限制,使得好氧區微生物沒有足夠的時間對進水中的氨氮進行完全的氨化作用,導致出水氨氮濃度較高。

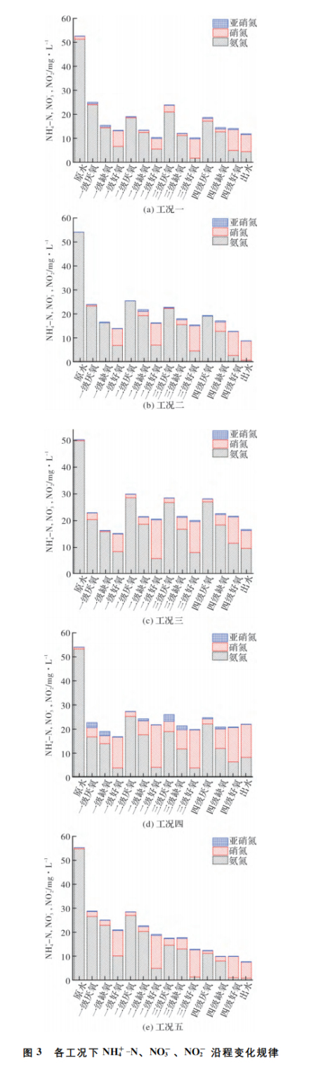
圖3為沿程各種存在形式的氮在工藝中的沿程濃度變化,表3為五種工況下的氮元素物料衡算結果。工況三和工況四的第一級和最后一級進水量均為25%,從圖3(c)~(d)可以看出,最后一級的好氧區無法氧化較多的氨氮,導致出水氨氮含量較高,而硝氮含量比起其他工況則沒有很大的變化,所以出水總氮含量偏高是由于系統最后一級硝化能力不足引起的。同時工況三的總氮去除率也明顯高于工況四,這說明在第一級的分流比增大時,對于MAAO系統的總體脫氮是有負面影響的。當第一級進水量上升為30%,第四級進水量下降為20%(工況一)時,分流比相對于工況三和工況四也提高了,此時,系統硝化效果和總氮去除性能均得到加強,出水氨氮和總氮分別為4.41mg·L-1和11.87mg·L-1。繼續提高首段進水比例到35%,末端降至15%(工況二)。此時,好氧HRT和缺氧HRT都有較大提升,硝化能力和反硝化能力繼續上升,總氮去除率達到84.2%。然而當首段進水比例過高(50%),即在工況五時,雖然總好氧HRT極大增加,但是從圖3(e)可以看出,第四級出水中的氨氮含量接近于零,系統浪費了一定的硝化余量,同時由于第一級厭氧池和缺氧池并不能完全消耗掉50%進水中的COD,進水碳源也沒有被有效利用,所以,雖然從氮的去除角度來說,該工況處于最佳工況,但是會有大量的COD沒有被有效利用,對系統的其他功能有嚴重影響。對于多段進水工藝來說,在其他運行條件不變的情況下,各段的進水量比例和缺氧池分流比例將直接影響系統的脫氮除磷效率。

從圖3中可以看出,MAAO系統中除了傳統的硝化反硝化過程和微生物的同化作用脫氮以外,在好氧區存在明顯的總氮損失,好氧區氨氮的氧化量遠遠大于硝氮的產生量,因此MAAO系統存在一定的同步硝化反硝化現象。如表3所示,系統通過傳統的硝化反硝化過程去除的氮量在21%~39%,5種工況條件下的SND作用去除的氮含量占進水總氮比例依次為28%、25%、10%、7%、29%。即在各個工況下,系統均出現明顯的SND現象,而且在SND效率較高時,系統的總氮去除量也較高,可見SND在一定程度上有利于總氮的去除。同時本研究發現,同化作用在MAAO系統中占比也較大,分別為27%、30%、28%、32%、18%。
目前對SND理論有宏觀缺氧理論、微觀缺氧理論和生物學理論。而本研究中出現SND現象的原因可能有以下2點:
(1)由于好氧池物理外形為長條形,在單點曝氣的情況下,存在曝氣不均勻現象,這會在一定的程度上使得好氧池存在局部區域DO較低甚至處于缺氧狀態,而且還會導致污泥絮體內部出現DO的梯度變化,由外到內DO濃度依次減少,絮體內部可能會處于缺氧環境。
(2)系統中可能存在好氧反硝化細菌,這會導致好氧池同步硝化反硝化現象的發生。
2.2 MAAO系統除磷特性

圖4為系統進出水TP濃度和TP去除率變化情況。5個工況下的平均出水TP濃度分別為0.39mg·L-1、0.15mg·L-1、2.49mg·L-1、2.13mg·L-1、1.09mg·L-1,平均去除率分別為91.2%、96.5%、49.9%、58.1%、75.6%。

圖5為不同工況下TP沿程變HRT分別化和各池凈去除量,從中可以看出,第一級厭氧池的TP釋磷量從工況一到工況五并無明顯變化,這是因為第一級厭氧池承接了來自二沉池的回流污泥導致HRT太小。第一級厭氧池的厭氧是19.08min,18.52min,20.00min,20.00min,16。67min,而厭氧釋磷量較高的厭氧池,其HRT都在25min以上,所以第一級厭氧池的釋磷效率低是由回流污泥量過大,HRT不足引起的。
工況三和工況四的第四級厭氧池的TP量較高,從圖5(a)可以看出,工況三和工況四的第四級厭氧池釋磷量沒有很大提升,所以第四級厭氧池TP升高是由厭氧池進水TP太多引起的,有大量的TP沒有經過處理就直接排出,導致工況三和工況四出水遠遠不達標。而工況五在系統前端進入較多原水,第四級只有7%的進水。通過圖5(b)可以看出,工況五的第四級厭氧池有很多的釋磷潛力沒有發揮,所以它的釋磷效率低于工況一和工況二。對于活性污泥法除磷工藝來說如果厭氧時無法完成大量釋磷,那么在后續的工藝處理中,即使在非常符合好氧吸磷的環境下,也是無法完成聚磷菌好氧大量吸磷的。在圖5(b)中,我們設定厭氧池TP上升取正值,缺氧池TP濃度上升取負值,下降取正值,好氧池TP下降為負值。大多缺氧池都發生了TP下降,這說明MAAO系統中發生了反硝化除磷。
3、結論
(1)當MAAO脫氮效率優先時,可以采用前端進水,同時減少分流量的策略,增加好氧和缺氧HRT,整個系統偏向多段AO工藝,此時的脫氮效率較高。但是從TP的去除來說,第一級進水量不能太高,進水最好分配在第二級和第三極。所以本工藝在參數設定上無法同時達到TN和TP的理論最高去除效率。因此,對于一個固定水質的系統,需要根據進水水質有所選擇。
(2)交替運行的缺氧好氧運行方式和進水流量的合理分配對于硝化反應的順利進行和總氮的高效去除有著非常重要的作用,MAAO工藝中除了通過好氧硝化、缺氧反硝化之外,同步硝化反硝化和污泥的同化作用也對氮元素的去除貢獻了非常大的作用,使得系統能夠進行深度脫氮。
(3)MAAO工藝除了通過傳統的厭氧釋磷、好氧吸磷來完成除磷之外,還在各個缺氧區通過反硝化除磷去除了一部分的TP。(來源:西安建筑科技大學 環境與市政工程學院,西北水資源與環境生態教育部重點實驗室,西安創業水務有限公司,中國市政工程西北設計研究院有限公司)



