隨著環保意識的日益加強,廢水中氨氮處理引起了人們的普遍關注,氨氮廢水中氨氮外排標準不斷提高。本文論述了不同工藝在處理氨氮廢水時的應用情況及特點,并結合筆者在該技術方面的一些研究心得對后續工藝發展提出展望。
1、氨氮概述
氨氮是指水中以游離氨(NH3)和銨離子(NH4+)形式存在的氮。一般以NH3-N表示。氨氮廢水通常指含NH3和NH4+的廢水。
人類生產生活的諸多方面導致氨氮廢水的產生,如人類本身的吃喝拉撒、垃圾滲濾液等,農業方面的畜禽養殖和農田尾水,工業方面的冶金、化工、化肥、煤氣、煉焦、柔革、味精、肉類加工等作業,都涉及到氨氮廢水。
氨氮的危害:氨氮廢水中逸出來氨氣對人的眼、鼻、氣管都有強烈的刺激作用。進入血液中的氨對人體的腦、心臟、肝臟、腎臟都會造成傷害,水體中的氨氮濃度過高,會造成富營養化,從而導致湖泊出現水華現象,海洋出現赤潮現象,進而危及水生動植物的生存,供水水源中氨氮濃度過高會引起供水管網的堵塞和腐蝕,飲用水中存在氨氮有可能轉變成對人體毒害較大的NO2-N和NO3-N。
2、氨氮廢水的處理方法
氨氮廢水的處理方法分兩大類,即氨氮轉形處理法和氨氮解體處理法。氨氮轉形處理法是讓廢水中的氨氮轉換一種存在形式,從廢水中分離出來。這類方法主要有吹脫法、化學沉淀法、離子交換法、膜分離法。氨氮解體處理法顧名思義是將廢水中氨氮破壞掉,使其不復存在,消除其危害。這類方法主要包括生物法和折點氯化法。
2.1 氨氮轉形處理法
2.1.1 吹脫法
在堿性條件下,水中的氨氮主要以游離氨的形式存在,當向水體中鼓入空氣或蒸汽時,游離氨穿過氣液界面向氣相轉移,從而達到脫除的目的。劉華等對工業廢水進行蒸氨/吹脫兩段處理,取得了較好的氨氮去除效果。黃軍等對某化工企業廢水采用吹脫法進行預處理,將氨氮含量1200mg/L的廢水降至60mg/L。吹脫法對處理高濃度氨氮廢水十分有效,且設備結構簡單,容易操作,技術成熟,去除率也較高,缺點是只能去除游離的氨,去除很難徹底。能耗較高,吹出的氨氣需進一步吸收處理,且易造成二次污染,吹脫塔也容易結垢。低溫效果降低明顯,吹脫后廢水需回調pH值。
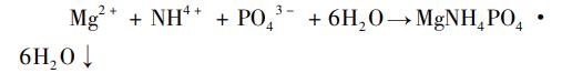
2.1.2 化學沉淀法
化學沉淀法一般指磷酸銨鎂沉淀法(簡稱:MAP),原理可用反應式表示為:

沉淀產物俗稱鳥糞石,可以作緩釋肥。文艷芬等研究了化學沉淀法脫除氨氮的工藝條件,鎂源由氯化鎂提供,PO43-由磷酸氫二鈉提供。結果表明:化學沉淀法對不同濃度的氨氮廢水均有效。最佳條件為:溫度25~35℃,pH=10,鎂∶氮∶磷=1.2∶1∶1.2(摩爾比),在此條件下處理初始氨氮濃度1000mg/L的廢水,時間20min,去除率高達98.7%。
化學沉淀法工藝簡單,占地面積小,反應速度快,回收率高,受溫度影響小,處理高濃度氨氮廢水更有效,且沉淀得到的氨氮可循環再利用。但該法除氨氮不徹底,藥劑投入量大導致成本偏高,過量的藥劑也會引起二次污染。
2.1.3 離子交換法
離子交換法是借助吸附材料對氨氮的選擇選擇吸附來脫除廢水中氨氮。常用的吸附材料有沸石、活性炭、蒙脫石和有機陽離子交換樹脂等,過渡金屬離子負載離子交換樹脂等也有研究。
劉玉亮等研究表明,天然斜發沸石具有較高的飽和氨氮吸附量,達31mg/g,且小粒徑沸石的吸附性能更好。王利平等在pH值7~8時用0.5~1.0mm的沸石處理稀土冶煉氯氨廢水,氨氮去除率可達52.6%。石峰等對KDF樹脂吸附氨氮的效果進行了研究,結果表明,KDF樹脂不僅具有良好的氨氮去除效果,而且再生效果也不錯,可長時間循環使用。劉寶敏等對焦化廢水用強酸性陽離子交換樹脂進行實驗,在靜態實驗中,陽離子交換樹脂對高濃度氨氮廢水具有較強的吸附能力,飽和氨氮吸附容量為13.3mg/g,最大吸附率達到了90.87%。彭佳樂制備了一種新型的銅基離子交換樹脂,這種樹脂對氨氮的飽和吸附容量達到了44mg/g,且該樹脂再pH值為3.5~10.5的水溶液中較為穩定。陳衛文運用膜分離方法處理高濃度氨氮廢水,分別考察了廢水流速,PTFE膜的面積,膜組件長度,處理液流向等影響因素結果表明,最佳效果時氨氮去除率達98.8%。
該方法具有投資省,工藝簡單,所占空間小,不受溫度影響等優點。但在處理高濃度廢水時,樹脂損耗嚴重,也需要頻繁進行再生、反洗,操作復雜化,成本也增高。另原液需進行預處理,再生液也必須進行處理。
2.1.4 膜分離法
借助膜的選擇性、透過性來實現氨氮與廢水的分離。常用的膜分離有反滲透、電滲析以及納濾等。膜分離法的優點是效果穩定、啟動快、操作簡便,對氨氮的回收率高,同時膜可以重復再生利用。但是對原液需進行預處理,處理高濃度氨氮,膜需要頻繁的再生水洗,成本增高,還有產物可能會引起二次污染。
2.2 氨氮解體處理法
2.2.1 生物法
生物法是利用微生物的作用,在有氧條件下,氨氮可被硝化成亞硝酸鹽氮和硝酸鹽氮,在缺氧條件下,亞硝酸鹽氮和硝酸鹽氮又被反硝化成氮氣,從而實現氨氮的去除。
傳統生物法具有工序較短、操作簡單、成本低、效率高、不造成二次污染等特點,但僅限于低濃度氨氮廢水,且對溫度、pH、碳含量、溶解氧、有毒有害物質的要求較高,反應時間也較長。為了彌補這些不足,科研工作者又開展了一系列改進技術研究,如同步硝化反硝化技術、短流程硝化反硝化技術、厭氧氧化技術等。
2.2.2 折點氯化法
折點氯化法簡單說就是利用Cl2或ClO-(次氯酸鈉)將廢水中的氨氮氧化成N2,實現除氨氮的目的。過程中當廢水中的氨氮趨近0時,水中剩余的氯也最低,這個點稱為折點。反應方程式為:

羅宇智等開展的折點氯化試驗表明,在pH=7,NaClO溶液加入量為理論量的1.4倍,反應時間15min,廢水中氨氮濃度可降至8.35mg/L,處理后的廢水滿足稀土工業廢水氨氮排放標準。
此方法效果好、反應快、不受水溫影響、操作方便、投資節省,但處理高濃度氨氮廢水運行成本高。水中有機物及與氯氣生成三氯甲烷等,需進行預處理或深度處理,并且Cl2和次氯酸鈉的儲運不方便。
2.2.3 電催化氧化技術及設備
湖南特種金屬材料有限責任公司聯合中南大學、中湘春天環保科技有限公司研發了電催化氧化處理氨氮的技術和設備,并投入生產應用。該技術具有高效、迅速、徹底、受環境變化影響小、一體化設備操作簡單等優點。不足之處是處理高濃度氨氮廢水時成本略高,總的來說,是一項很有推廣前景的技術成果。
2.3 聯合處理技術
現有技術單獨應用,存在多方面的不足,兩種或多種技術聯合使用可彌補某些不足。比如吹脫法+生物法、吹脫法+折點氯化法、化學沉淀法+生物法、反滲透+電滲析,但達到完善依舊很難。
2.4 其它研究進展
氨氮廢水處理技術除上述提到的之外,還有微波輔助技術、超聲波氧化(輔助)、濕式(催化)氧化、負壓脫氨、微電解、Fenton法除氨氮、光催化氧化等,在氨氮處理方面均有一定程度的應用。
2.4.1 機械蒸汽再壓縮法
機械蒸汽再壓縮(MVR)技術是利用蒸發器中產生的二次蒸汽,經壓縮機壓縮、壓力、溫度升高,熱焓增加,然后送到蒸發器的加熱室,當作加熱蒸汽使用,氨與水分子相對揮發度不同,通過蒸汽作用多次汽化和冷凝實現高純度分離,氨轉化為氣態從水中逸出,從而達到脫氨氮的目的。
張金鴻等采用機械蒸汽再壓縮技術處理反滲透濃水,中試結果表明:出水氨氮濃度不超過10mg/L,COD不超過50mg/L,可達到《城市污水再生利用城市雜用水水質》(GB/T18920-2002)的要求。申濤等將MVR技術引入汽提脫氨中,分別采用MVR汽提脫氨法、單塔汽提及雙效汽提處理高濃度氨氮廢水,進水質量濃度為6g/L,廢水處理量為40m3/h,使處理后的廢水均達到相關排放標準。實驗結果表明:利用MVR汽提脫氨技術處理廢水的成本為13.24元/t,是汽提精餾技術處理成本的33.16%,雙效汽提技術的57.72%。
MVR法適用于含鹽量較高且有機物難于降解的氨氮廢水,對總氮和總磷也有較好的處理效果。MVR濃縮液加工后可作為鹽粗品出售,具有良好的循環經濟效益。在蒸餾過程中,需加入氣體收集處理裝置,避免造成二次污染。該方法經濟高效,但目前仍在研究階段,工藝條件還需進一步研究。
2.4.2 氣態膜脫氨法
氣態膜法脫氨是采用疏水性的中空纖維微孔膜作為含氨廢水和吸附液的屏障,疏水的微孔結構在兩液相間提供一層很薄的氣膜結構。廢水中游離的NH3通過濃度邊界層擴散至疏水微孔膜表面,隨后在膜兩側NH3分壓差的推動下,NH3在廢水和微孔膜界面處氣化進入膜孔,然后擴散進入吸附液側與酸性吸附液發生快速的不可逆反應,從而達到氨氮脫除、回收的目的。該方法具有氨氮脫除率高、能耗和操作成本低、無二次污染等優點。
2.4.3 微波輻照法
微波在處理氨氮廢水中的作用機理尚無定論,主要的一種說法是微波的內加熱和選擇性加熱,使NH3分子與H2O分子之間產生壓力差,促進了NH3與H2O分子脫離。
LINLi開發了中試規模的連續微波處理設備,對初始濃度2400~11000mg/L的武鋼焦化廢水進行處理,氨氮去除率可達80%。
訾培建等采用微波活性炭聯合法處理氨氮廢水,當活性炭投入量為2g/L時,氨氮去除率高達92.5%,對應單一微波情況下,氨氮去除率為82.7%。
3、結語
技術進步永無止境,科研探索從來停歇。理想的氨氮處理技術應不斷向高效、徹底、清潔、易控制、低成本、適應性廣等方向而努力。(來源:湖南特種金屬材料有限責任公司,中南大學)


