隨著城市化進程加快, 市政污水處理廠建設規模不斷擴大, 產生了越來越多剩余污泥需要合理處理與處置問題.厭氧消化處理剩余污泥, 不僅能有效緩解污泥填埋場地限制問題, 而且通過回收厭氧發酵產生的CH4可以實現對污泥蘊含能量的利用.污水處理廠剩余污泥具有高含水率、高熱值和有機質豐富等特點, 理論上可以作為厭氧代謝過程理想底物.但實際應用中, 受制于各種因素影響, 剩余污泥高效厭氧發酵往往難以實現.如何提高污泥厭氧消化效率, 對于解決污泥問題意義重大.
以CO2和H2為代謝底物的嗜氫型產甲烷是厭氧過程的重要組成, 該代謝和產氫產乙酸過程密切耦合.發酵細菌和產甲烷菌形成的“互營”產CH4過程關鍵環節在于種間電子傳遞, 種間H2傳遞被視為該過程主要電子傳遞方式.最新研究表明, 互營氧化產甲烷過程也存在種間直接電子傳遞(direct interspecies electron transfer, DIET), 相比于種間H2傳遞, DIET對底物和中間代謝產物的利用更加穩定和快速.通過DIET途徑, 產甲烷菌能夠利用H+、e-和CO2直接產CH4, 從而克服種間H2傳遞過程存在的缺點.向厭氧消化系統中投加碳基和金屬納米材料可以強化發酵細菌和產甲烷菌之間的DIET, 顆粒活性炭(granular activated carbon, GAC)是研究最多的碳基材料, 納米金屬氧化物材料主要為納米磁鐵礦和納米氧化鋅等.目前, 大多數研究集中在單一材料對產CH4過程的影響, 多種材料的組合作用研究相對較少.
本實驗即是針對剩余污泥厭氧消化效率普遍較低問題, 通過投加GAC和MnO2的方式, 以期利用DIET途徑改善剩余污泥厭氧消化系統效能, 研究投加物對污泥厭氧消化系統揮發性脂肪酸(volatile fatty acids, VFAs)、產CH4效果和微生物活性(包括輔酶F420、細胞色素C、電子傳遞活性)等的影響, 并分析系統微生物群落結構變化特征, 以期為使用碳基和金屬氧化物材料強化剩余污泥厭氧消化過程的實際應用提供理論依據和數據支撐.
1 材料與方法
1.1 接種污泥與剩余污泥
接種污泥厭氧顆粒污泥取自實驗室強化循環厭氧反應器(strengthen circulation anaerobic reactor, SCAR), 污泥粒徑范圍為0.6~1.4 mm;剩余污泥(脫水后泥餅, 含水率約為60%)取自上海市松江區污水處理廠.
將剩余污泥泥餅于60℃低溫干燥24 h后, 用粉碎機粉碎過篩, 制得粒徑<1 mm的污泥粉末, 根據需求配制所需濃度泥漿.接種污泥和剩余污泥基本性質如表 1所示.

表 1 接種污泥和剩余污泥基本性質
1.2 材料制備
本實驗棒狀納米MnO2采用Wang等的方法制備:稱取0.61 g KMnO4溶于78.7 mL的去離子水中, 再加入1.3 mL的HCl(37%);充分溶解后, 將混合溶液轉移至100 mL反應釜內, 在140℃的條件下熱處理12 h;待混合液冷卻至室溫后, 用定量濾紙進行過濾, 并用去離子水和無水乙醇各清洗3次, 之后在60℃的鼓風干燥箱烘干24 h;使用馬弗爐對干燥樣品進行煅燒處理, 煅燒溫度自室溫以1℃·min-1的速率升高至500℃, 并在該溫度下保持3 h, 得到的固體顆粒即為α晶型的棒狀納米MnO2.
本實驗GAC材料購買自國藥集團, GAC的詳細特征見表 2.

表 2 GAC的特征
1.3 實驗裝置與運行
本實驗反應器為有效容積250 mL的玻璃瓶, 頂端設有取樣口和出氣口各1個, 出氣口連接氣體收集袋.接種污泥和剩余污泥按照體積比1 :4的比例接種到反應器內, 實驗設置4組, 每組3個平行樣, 其中包括空白組(R0)和實驗組[GAC(R1)、MnO2(R2)和GAC/MnO2(R3)];各反應器材料具體添加量見表 3.用0.1 mol·L-1的NaOH調節反應器內pH為6.8~7.2, 并用N2吹脫30 min后密封置于轉速130 r·min-1、溫度為(37±1)℃的恒溫振蕩器中運行.每隔2 d取樣測定, 共運行28 d.

表 3 各反應器內材料添加情況
1.4 分析項目及方法
1.4.1 基本指標
MLSS和MLVSS的測定采用標準方法;用排水法測定產氣總量和CH4產量, 測CH4體積之前, 以酚酞為指示劑, 用2 mol·L-1的NaOH吸收酸性氣體(如CO2);CH4和CO2采用氣相色譜(Techcomp GC 7900)法測定;揮發性脂肪酸(VFAs)采用氣相色譜(GC-2010 Pro)法測定, 測定前樣品用0.45 μm濾膜過濾并用甲酸(3%)酸化;多糖采用蒽酮-硫酸法測定, 蛋白質采用BCA法測定;細胞色素C(Cyt C)和輔酶F420采用熒光分光光度法測量;錳離子含量采用原子發射光譜法測量.
1.4.2 電子傳遞活性(INT-ETS)
采用碘硝基氯化四氮唑藍(INT)法測定微生物電子傳遞活性(INT-ETS):取0.5 mL混合污泥于10 mL離心管中, 加入0.1 mL 0.2% INT溶液, 在黑暗條件下于搖床反應30 min(150 r·min-1, 37℃), 結束后加入1 mL 37%甲醛溶液停止該反應, 8 000 g轉速下離心5 min, 棄去上清液, 加5 mL甲醇在搖床中反應10 min(150 r·min-1, 37℃), 在8 000 g轉速下離心5 min, 最后取上清液于485 nm波長處測得其吸光度.沉淀物烘干(105℃)至恒重.
計算公式:

式中, Ai和A0分別代表實驗組和空白組在485 nm處的吸光度, Wi和W0分別代表實驗組和空白組的質量.
1.5 DNA提取與高通量測序
本實驗采用高通量測序技術對污泥樣品進行微生物群落分析.污泥樣品用磷酸緩沖溶液溶液清洗2次, 然后在8 000 g轉速下離心15 min(4℃), 使用DNA萃取試劑盒(Bioteke Corporation, Beijing, China)提取DNA.分別采用(Arch340F/Arch806R)和(338F/806R)引物對古菌和細菌的16S rRNA進行PCR擴增.經過純化和量化處理后, 委托上海美吉生物醫藥科技有限公司進行測序分析.
2 結果與討論
2.1 投加GAC、MnO2和GAC/MnO2對產氣量的影響
GAC和MnO2對厭氧系統產CH4效果影響見圖 1, 其分別反映R0、R1、R2和R3的CH4和CO2累計產生量以及產CH4速率隨時間變化情況.

圖 1 剩余污泥厭氧消化過程累計CH4、CO2氣體產生量和產CH4速率
由圖 1(a)可見, 前14 d, R1的CH4產量與R0無明顯差別, R3的CH4產量提高了18.42%(第6 d);14 d后, R1的CH4產量逐漸高于R0;運行至28 d, 與R0相比, R1和R3的總CH4累積量分別提高了6.15%和3.99%, R2的CH4產量降低了21.25%.圖 1(b)中, 第28 d, 與R0相比, R1和R2的CO2累積產量分別增加了7.14%和1.32%, R3降低了1.06%.在圖 1(c)中, 與R0相比, R1和R3的產CH4速率分別提高了68.18%(第26 d)和51.35%(第4 d), 而R2的產CH4速率基本上均低于R0.
結果表明, 單純投加GAC和MnO2, 前者促進了剩余污泥厭氧消化過程, 但也增加了系統CO2產量, 后者降低了厭氧系統的產CH4效率;聯合投加GAC/MnO2, 可以緩解單獨投加MnO2對剩余污泥厭氧消化過程的抑制作用, 而且一定時間內(前14 d)對剩余污泥厭氧消化過程的促進效果優于單純投加GAC.投加GAC可以促進嗜乙酸產甲烷菌的代謝, 同時增加CO2的生成, Ryue等在探究GAC對食品垃圾厭氧消化影響中也得到相同結論.Tian等以葡萄糖為底物, 研究納米MnO2對厭氧系統產CH4效能的影響, 發現通過Mn4+/Mn2+氧化還原過程釋放的電子可以促進嗜氫產甲烷菌將CO2還原成CH4, 從而強化厭氧消化過程, 而本實驗結果與此恰恰相反;這可能歸咎于剩余污泥組分相對復雜, Mn2+與剩余污泥中的無機鹽離子(如磷酸鹽)反應生成沉淀, 導致MnO2催化性能失活, 生成的錳鹽沉淀物堵塞了厭氧顆粒污泥代謝通道, 阻隔了產甲烷菌對酸性發酵產物的充分利用, 從而降低了產CH4效率.投加GAC/MnO2, GAC對錳鹽沉淀物具有良好吸附作用, 可以減緩錳鹽沉淀物對厭氧產CH4代謝通道的阻塞, 同時GAC在MnO2、厭氧微生物和剩余污泥之間具有橋梁作用, 其優良導電性促使Mn4+/Mn2+氧化還原過程產生的電子在酸性發酵過程和CO2還原成CH4中得以利用, 因此R3的累計產CH4量高于R0和R2, 同時累計CO2產量最低.
2.2 投加GAC、MnO2和GAC/MnO2對VFAs、蛋白質和多糖的影響
2.2.1 對VFAs的影響
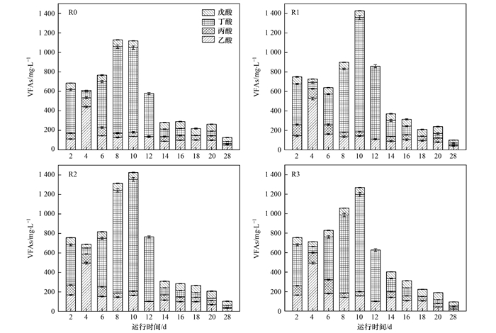
VFAs是厭氧消化過程主要中間代謝產物, 其產生與消耗速率可以用來評價厭氧消化效率[15];圖 2為實驗期間各組反應器內VFAs(包括乙酸、丙酸、丁酸和戊酸)的變化情況.

圖 2 剩余污泥厭氧消化過程各組反應器VFAs的變化
圖 2中, R0、R1、R2和R3反應器VFAs濃度在8~10 d時達到最高, 實驗后期VFAs濃度均降至100 mg·L-1左右.各組反應器VFAs在第2 d丁酸含量均較高, 第4 d丁酸含量降低, 而后至第14 d丁酸含量均較高.丁酸在系統內出現積累是厭氧產CH4受抑制的一個表征, 各組反應器在前4 d產生的丁酸均被較快降解, 表明系統存在有效的嗜氫產甲烷過程;6~12 d出現的丁酸積累意味著嗜氫產甲烷過程的受抑制, 14 d后隨著代謝底物的消耗和有機酸生成速度的減弱, 反應器內各類有機酸含量逐漸降低.另外, R1、R2和R3的VFAs濃度在前10 d均高于R0, 單獨或者聯合投加GAC和MnO2可能對酸性發酵過程的電子轉移有促進作用, 同時GAC和GAC/MnO2促進了產CH4過程和提高酸化效率.具體聯系污水寶或參見http://www.bnynw.com更多相關技術文檔。
2.2.2 對蛋白質和多糖的影響
蛋白質和多糖是剩余污泥重要有機物, 作為厭氧消化的代謝基質, 其濃度變化可以間接反映厭氧消化速率[17, 18].圖 3為各組反應器蛋白質和多糖的濃度變化情況.

圖 3 剩余污泥厭氧消化過程中蛋白質和多糖濃度變化
由圖 3可見, R0、R1、R2和R3的多糖濃度有著近似的變化趨勢, 在第4 d濃度最高, 而后出現不同程度的波動, 但整體呈下降趨勢;R0和R2蛋白質濃度逐漸升高, 第22 d達到峰值, R3蛋白質濃度第4 d最高, 第8 d降到最低, 隨后又逐漸升高.R1和R3中蛋白質和多糖濃度均低于R0, 尤其R1中蛋白質和多糖濃度均有大幅度降低, 相反R2的蛋白質和多糖濃度基本上均高于R0.投加GAC和GAC/MnO2均加速了系統的厭氧消化過程, 相較于R0, R1和R3多糖和蛋白質作為代謝底物被更多降解, 濃度也更低;R2由于產CH4過程受到抑制, 導致其蛋白質和多糖濃度高于R1和R3.
2.3 投加GAC、MnO2和GAC/MnO2對微生物活性的影響
Cyt C是參與電子傳遞過程的氧化還原蛋白, 與厭氧污泥的微生物活性有關, 互營微生物可以通過Cyt C直接傳遞電子.輔酶F420是產CH4過程的關鍵輔酶;有關研究表明CH4的產生與INT-ETS活性呈正相關.為研究投加物對微生物活性影響, 分別測定第14 d和28 d各組反應器Cyt C濃度、INT-ETS活性和輔酶F420含量, 具體見圖 4.
由圖 4可見, 第14 d R3的Cyt C濃度為38.21 nmol·L-1, 遠高于R0, R1的Cyt C濃度也高于R0, 而R2的Cyt C濃度小于R1和R3, 略高于R0, 這表明GAC和GAC/MnO2的投加明顯促進了Cyt C的產生.單純投加MnO2, 雖然R2的CH4產量和速率均低于R0, 但R2強化酸性發酵, 因此R2的Cyt C高于R0.第28 d, 代謝底物匱乏, R1、R2和R3的Cyt C濃度均低于R0.

圖 4 投加不同材料對INT-ETS、輔酶F420和Cyt C的影響
第14 d, 與R0相比, R1、R2和R3的INT-ETS活性和輔酶F420含量均有所增加, 其中R3的INT-ETS活性和輔酶F420含量分別是R0的1.6倍和2.3倍, GAC和MnO2能提高微生物的INT-ETS活性和產甲烷菌關鍵酶的含量.第28 d, R1、R2和R3的INT-ETS活性和輔酶F420含量均低于R0, 其中R1、R2和R3的INT-ETS活性分別降低了16.05%、31.35%和30.67%;產生此現象的原因與Cyt C相同.對應的R1、R2和R3的產CH4效率均在14 d之前較高, 而在14 d之后CH4產量增長緩慢.總之, 在底物充分和后續代謝正常進行條件下, 投加GAC、MnO2和GAC/MnO2均可以提高微生物活性.
2.4 投加MnO2、GAC/MnO2系統錳離子和磷酸鹽的變化
為進一步探究GAC和MnO2影響剩余污泥厭氧消化作用機制, 實驗期間監測了R2和R3反應器游離錳離子和磷酸鹽的含量, 具體見圖 5.

圖 5 厭氧消化過程中錳離子和磷酸鹽的釋放
由圖 5(a)可見, R2和R3的錳離子濃度變化趨勢相同, 在2 d內迅速增加, 第4 d達到最大, 之后迅速下降. 14 d后錳離子含量低于1 mg·L-1, 并一直維持在較低水平, 對應的R2和R3的產CH4效率也是在第14 d后開始下降.系統錳離子濃度逐步下降可能有以下3種途徑:①隨著酸性發酵的減弱, 系統pH升高, 抑制了MnO2向Mn2+轉化;②錳離子與污泥釋放的磷酸鹽反應生成磷酸錳沉淀;③錳離子被活性污泥或GAC吸附.圖 5(b)中, R2和R3磷酸鹽含量逐漸升高, 厭氧發酵過程剩余污泥儲存的磷不斷釋放, 錳離子與之結合生成磷酸錳沉淀;R3的錳離子濃度始終低于R2, 符合GAC吸附錳離子的假設.
MnO2是一種半導體, 與一些導電性好的材料共同作用, 可以強化污泥活性[24].GAC作為互營細菌和產甲烷菌之間的電子傳遞介質, 不僅可以促進功能菌的富集, 還可以促進DIET代謝途徑[25].具有良好導電性和吸附性的GAC與作為“催化劑”的MnO2共同作用, 不僅緩解了磷酸錳沉淀對產CH4代謝通道的阻塞, 還克服了MnO2導電性弱的缺點, 與單純投加GAC或MnO2相比, 聯合投加GAC/MnO2的電子傳遞活性有了較大提高, 它們共同作用提高了剩余污泥厭氧消化效率.
基于顆粒污泥內部孔道可能被磷酸錳沉淀堵塞的推測, 對污泥樣品進行SEM分析.R0厭氧顆粒污泥的表面呈現多孔、多層結構, 可以觀察到清晰的通道孔結構[圖 6(a)和6(b)], 而R2中幾乎沒有觀察到通道[圖 6(c)];R3中盡管有些通道被堵塞, 但其表面仍存在三維多孔結構[圖 6(d)].說明GAC可以將磷酸鹽和錳離子或者生成的磷酸錳沉淀吸附固定, 從而緩解磷酸錳沉淀的產生, 減緩厭氧顆粒污泥的代謝孔道被堵塞.

圖 6 厭氧顆粒污泥的SEM圖像
2.5 厭氧消化污泥的微生物群落分析
為了探究投加GAC和MnO2對反應器中微生物群落的影響, 采用高通量測序技術對各反應器中厭氧污泥微生物群落結構進行了分析, 具體見圖 7.
圖 7 反應器污泥中微生物細菌和古菌在門和屬水平的相對豐度
在細菌門水平分布中, 主要有Firmicutes、Bacteroidetes、Actinobacteria和Chloroflexi等優勢菌, 其中Firmicutes門占絕對優勢地位, 在4個樣品中的豐度均超過31%[圖 7(a)].加入GAC和MnO2, 這些細菌始終保持優勢地位, 但是其相對豐度有所改變.進一步地分析細菌的屬水平[圖 7(b)], R0的優勢菌主要有Petrimonas(7.18%)和Syntrophomonas(7.03%), R2和R3的優勢菌有所改變, Bacillus和Syntrophomonas是R2的優勢菌, 相對豐度分別為14.69%和10.09%, R3的優勢菌為Fonticella(13.67%)和Syntrophomonas(9.76%).Petrimonas是中溫發酵微生物, 能夠將復雜的有機物轉化為乙酸[26].Syntrophomonas是利用丁酸的典型產氫產乙酸細菌, 可以將丁酸轉化為乙酸, 為嗜乙酸產甲烷菌提供代謝底物.實驗中丁酸的大量產生可能是刺激Syntrophomonas富集的原因之一, 同時Syntrophomonas的富集會促進乙酸的積累和嗜乙酸產甲烷菌Methanosaeta的生長.電活性微生物Geobacter在R0中的相對豐度僅為0.13%, 加入GAC和MnO2后, R1、R2和R3的相對豐度均有所增加.
在古菌門水平分布中, R0的優勢菌為Euryarchaeota(64.68%), Euryarchaeota門在R1、R2和R3的相對豐度有大幅度的增加, 分別為95.35%、85.11%和92.77%[圖 7(c)], 產甲烷菌屬于Euryarchaeota門, GAC和MnO2促進了產甲烷菌的富集.古菌的屬水平分布如圖 7(d)所示, R0的優勢菌屬是Methanobacterium(60.37%), 在GAC和MnO2存在的條件下, 實驗組的優勢菌屬發生了改變, Methanobacterium和Methanosaeta成為了R1、R2和R3的優勢菌屬, 其中Methanosaeta在R1、R2和R3的相對豐度從2.31%(R0)分別增加為47.04%、20.83%和31.69%.R2和R3中的Methanobacterium的相對豐度有所增加, 分別為69.81%和61.52%, Methanobacterium在R1中的相對豐度下降為34.65%.Methanobacterium是一種典型嗜氫產甲烷菌, 可以利用H2還原CO2產CH4, 在維持厭氧系統氫分壓方面發揮著重要作用[27].Methanosaeta屬于典型嗜乙酸產甲烷菌[28], 能夠將厭氧代謝中間產物乙酸轉化為CH4.投加GAC和MnO2促進了乙酸的轉化和CO2的還原, 提高了產CH4效率, 降低了CO2產量.另外, GAC和MnO2促進了水解酸化, 生成的乙酸可以被富集的嗜乙酸產甲烷菌Methanosaeta利用.同時, 產甲烷菌Methanosaeta不僅可以利用乙酸生成CH4, 也可以通過DIET途徑產CH4[29].大量的研究都證實GAC的導電性可以促進CH4的產生.在GAC體系中, Methanobacterium菌的豐度低于GAC/MnO2, 這表明嗜氫產甲烷菌豐度的增加是由MnO2的存在引起的.Geobacter是目前發現具有胞外電子傳遞能力的菌屬, 也是能夠與產甲烷菌通過DIET互營代謝合作的細菌之一.有研究發現Geobacter可以在GAC孔隙中富集, Methanosaeta在GAC表面富集, GAC可以作為Geobacter和Methanosaeta之間的電子連接促進污泥降解和CH4產量[31];這與R1和R3具有更高產CH4效率相一致.
3 結論
(1) 投加GAC、MnO2和GAC/MnO2, 對剩余污泥厭氧消化系統的產酸發酵過程均有促進作用, 但是對系統產CH4影響不同, 其中投加GAC和GAC/MnO2對系統產CH4過程起到促進作用, 而單獨投加MnO2對系統產CH4有抑制作用.
(2) GAC良好的導電性和Mn4+/Mn2+轉換的催化劑作用, 提高了酸性發酵和產CH4過程的種間電子傳遞.但是單獨投加MnO2時, 剩余污泥釋放的磷酸鹽和Mn2+生成沉淀堵塞了厭氧顆粒污泥代謝通道, 造成對系統產CH4代謝的抑制.
(3) 投加GAC和MnO2促進乙酸菌Syntrophomonas和產甲烷菌Methanobacterium富集, 進而可以改善細菌和產甲烷菌之間直接或間接的種間電子傳遞, 提高系統厭氧消化效率.(來源:國家環境保護紡織工業污染防治工程技術中心 作者:楊波)


