目前,活性污泥法是應用最廣泛的污水處理工 藝[1]。活性污泥法的本質是微生物利用污水中可生物降解的有機物作為營養物質進行代謝從而將其去除。該方法在處理污水的同時不可避免地會產生大量的剩余污泥。有文獻表明,污泥處理費用占到污水處理廠總運行費用的 40% ~ 60%[2]。因此污泥減量是十分必要的。
目前主要的污泥減量方法有 3 類,即污泥溶胞和隱性增長[3]、解偶聯作用及微生物捕食。在生化處理中,微生物的新陳代謝過程使污水中的有機碳一部分被轉化為無機物質,另一部分轉化為新的有機生物體。在污泥溶胞過程中,微生物細胞中的有機物質溶解釋放于水中,形成可被細胞重新利用的自底基質,當微生物以該基質作為生長底物進行新陳代謝時,總的污泥產量減少。為了與微生物對污水中原有基質的利用相區分,微生物利用自底基質的生長被稱為隱性生長,其中污泥溶胞是其中的限制步驟。
形成污泥溶胞的方法主要有: ①機械方法,如超聲波或微波輻射,其特點為溶解性 COD 顯著增加、能量密度高、分解速度快、簡便靈活且高效[5]。②化學方法,以 O3 、ClO2 、H2 O2 等強氧化劑氧化的方法[6 - 7],該方法破解效率高,不產生有害副產物,但是處理成本高,出水水質差,特別是出水中 N、P 含量高,因此需要進一步優化。
微生物的合成代謝和分解代謝是通過呼吸速率緊密耦合在一起,通過某些方法,例如重金屬、過剩能量基團、特殊溫度、營養物質受到限制等條件,能量就會發生逸散,從而達到污泥減量的效果。解偶聯劑實際操作簡單,但使用過程中會改變污泥的沉降性能,甚至還會導致污泥膨脹。而且大部分解偶聯劑難以生物降解并具有生物毒性,可能對人體產生危害。
在活性污泥體系中利用生態系統食物鏈中高營養級的生物體( 例如原生動物和后生動物) 捕捉低營養級的生物體,根據能量傳遞的 10% 理論,可以有效降低剩余污泥產量并且不影響污水處理效果。因此在活性污泥工藝中,可以利用一些原生動物和后生動物對細菌和菌膠團的捕食有效降低污泥產量,達到污泥減量的目的。
綜上所述,污泥溶胞過程需要消耗較多的能源,成本相對較高; 采用解偶聯劑能夠實現較好的污泥
減量,但其實質是污染物的轉移,并且這些動物的大量生長以及后續的處理處置也是一個較大問題。因此,筆者采用尼泊金甲酯這種常用且對人體相對無危害的解偶聯劑( 抑菌劑) 來實現污泥減量。
1 試驗材料與方法
1. 1 試驗裝置及原水水質
采用 6 組 SBR 反應器,其有效容積為 4 L。每天運行 2 個周期: 缺氧攪拌 3 h,好氧曝氣 6 h,靜置沉淀 3 h。每次換水 2 L,每天排泥 300 mL,使溶解氧濃度在 2 ~ 5 mg / L,系統的 MLSS 維持在 1 000 ~ 2 500 mg / L。試驗采用的是模擬生活污水的人工配水,COD、NH + - N、PO3 - - P 濃度分別為 300、30、3 ~5 mg / L,分別由葡萄糖 ( 281 mg / L) 、NH4 Cl ( 115mg / L) 、KH PO ( 13 ~ 22 mg / L) 提供,并投加 CaCl減量效果,但是解偶聯劑大部分都具有一定的毒性,可能最終對人體產生危害; 微生物捕食能夠實現微生物的生長需要適量的微量元素,在每升配水中加入 1 mL 的微量元素溶液。微量元素溶液的組成見表 1。

1. 2 尼泊金甲酯及其投量
采用尼泊金甲酯抑菌劑考察其對 SBR 系統處理污水和污泥減量效果的影響。尼泊金甲酯又叫對羥基苯甲酸甲酯,白色結晶粉末或無色結晶,主要用作有機合成、食品、化妝品、醫藥的防腐劑或抑菌劑。試驗中選擇 6 個不同的尼泊金甲酯濃度梯度,分別為 0、1、5、10、30、50 mg / L,對應的反應器依次記作R0、R1、R2、R3、R4、R5。
1. 3 檢測項目及方法
COD: 重鉻酸鹽法; 氨氮: 納氏試劑分光光度法;總氮: TC - VCPN 分析儀; 磷酸鹽: 鉬銻抗分光光度法; SV30 : 30 min 靜沉法; MLSS: 重量法。
2 結果與討論
2. 1 尼泊金甲酯對污泥減量的影響

6 組反應器的污泥累計增長量見圖 1。在最初的一段時間內,各反應器的污泥累計增長量相差不大,隨著時間的不斷增加,才呈現出相對比較明顯的差異。運行結束后各反應器的污泥累計增長量分別為 22. 419、13.899、15. 909、17. 301、15. 660、18. 208g。經計算,R1 ~ R5 的污泥減量率分別為 38. 0% 、 29. 0% 、22. 8% 、30. 1% 、18. 7% 。在較低的抑菌劑濃度( 1 mg / L) 下就可以達到較好的污泥減量效果,具備較好的經濟性和可應用性。
污泥表觀產率系數( Yobs) 是實際測定的污泥產量與有機基質降解量的比值,即降解單位有機基質所增長的污泥量,是表征污泥產量的重要指標之一。由于 R0 ~ R5 反應器對基質的去除效率各不相同,為了消除有機基質降解量差異對污泥減量效果的影響,分析了各系統內污泥的表觀產率系數。
經統計,R0 ~ R5 的 COD 累計消耗量分別為48. 03、49. 23、48. 89、49. 15、48. 79、49. 10 g,結合污泥累計增長量可得各反應器的表觀污泥產率分別為0. 46、0. 28、0. 32、0. 35、0. 32、0. 37 gMLSS / gCOD。
有文獻表明,活性污泥法正常運行時的 Yobs 一般介于 0. 45 ~ 0. 75 gMLSS / gCOD 之間。可見,空白組運行正常。當抑菌劑的濃度為 1 mg / L 時污泥的表觀產率最低,說明污泥減量效果最好; 當尼泊金甲酯的濃度超過 1 mg / L 時,污泥的表觀產率會有所上升,但是都低于空白組的污泥表觀產率。說明尼泊金甲酯的濃度超過 1 mg / L 后,依然具有污泥減量的效果,但是減量效果會減弱; 同時也說明在實際工程應用中需要嚴格控制抑菌劑濃度。
2. 2 尼泊金甲酯對污水處理效果的影響
在污水處理過程中,COD 可以反映系統異養菌的活性,而 NH +- N 則可以反映自養菌的活性,因此以COD 和NH + - N 作為主要的監測指標。R0 和R1 在運行過程中出水COD 和NH + - N 濃度達標天數最多,故以 R0 和 R1 作為對比來描述尼泊金甲酯處理效果的影響。
2. 2. 1 對 COD 去除效果的影響
在試驗過程中,空白組及試驗組的出水 COD 濃度基本都在 60 mg / L 以下,基本達到國家一級 B 排放標準,但 R5 出水超標的天數較多( 見圖 2) 。

從圖 2 ( b) 可以看出,在初期每個反應器的COD 去除率都波動較大,說明抑菌劑尼泊金甲酯影響了水處理系統的穩定,但在之后去除率均逐漸趨于穩定,說明微生物對于外界環境的變化具有一定的適應性。各反應器對 COD 的平均去除率分別為 ( 88. 10 ± 9. 21 ) % 、( 90. 41 ± 8. 70 ) % 、( 89. 85 ± 7. 69) % 、( 90. 25 ± 8. 54 ) % 、( 89. 58 ± 5. 71 ) % 、( 90. 18 ± 9. 25) % 。尼泊金甲酯對系統去除COD 沒有顯著影響,COD 主要通過系統中異養型微生物進行降解,而異養型微生物增長速度較快,對環境變化具有更強的適應性,造成尼泊金甲酯對異養型微生物的抑制作用較弱,因此尼泊金甲酯的投加對系統去除 COD 的影響甚微。
2. 2. 2 對 NH + - N 去除效果的影響

在試驗過程中,隨著尼泊金甲酯濃度的升高,R3、R4、R5 出水水質超標的時間增多,系統對氨氮的去除能力受到明顯抑制。而 R0、R1 出水水質基本都能達到國家一級 B 標準( 見圖 3) 。從圖 3 ( b)可以看出,在前 18 d,R0 對 NH + - N 的去除率一直高于 R1,可能的原因是加入了抑菌劑尼泊金甲酯后,R1 內與 NH + - N 去除相關的微生物( 主要是亞硝化細菌) 的活性受到抑制。在第 18 ~ 24 天,R0 與R1 對 NH + - N 的去除率差別并不明顯,可能是隨著運行時間的延長亞硝化細菌的活性慢慢得以恢復,對氨氮的去除效果也逐步回升并達到穩定,R0和 R1 對 NH + - N 的平均去除率分別為( 82. 95 ±13. 90) % 和( 82. 48 ± 12. 70) % 。說明加入少量的尼泊金甲酯對系統的 NH + - N 去除率影響甚微。
經過對 6 組反應器去除 COD 和氨氮的比較,基本可以反映每個反應器微生物的相關活性,余下的污水指標和污泥沉降指標,主要對 R0 ( 空白組) 和R1( 污泥減量效果最好) 進行對比,分析在污泥減量效果最好的條件下,尼泊金甲酯對相關指標的影響。
2. 2. 3 對 PO3 - - P 去除效果的影響
R0、R1 出水的 PO3 - - P 濃度大部分在 2 mg / L左右波動( 這與 SBR 工藝本身的除磷效率有關) ,因此在實際工程中還需要加入磷酸鹽的深度處理裝置,以保證達標。R0 和 R1 對 PO3 - - P 的去除率基本都在 40% ~ 60% 之間,平均去除率分別為( 48. 14 ± 12. 98) % 和( 53. 91 ± 7. 64) % ,其差異不大,說明加入少量的抑菌劑尼泊金甲酯對系統去除磷酸鹽沒有影響( 見圖 4) 。

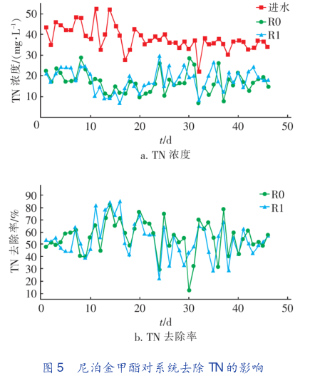
2. 2. 4 對 TN 去除效果的影響

投加尼泊金甲酯對系統去除 TN 的影響見圖 5。
運行穩定即第 20 天之后,R0、R1 出水的 TN 濃度基本都在 15 mg / L 左右,即投加尼泊金甲酯后 R1與 R0 對 TN 的去除率差別并不是很明顯,平均去除率分別為( 55. 20 ± 13. 85) % 和( 53. 12 ± 14. 42) % 。
尼泊金甲酯的加入使得系統對 TN 的去除率僅下降了約 2% ,說明 1 mg / L 的尼泊金甲酯對系統去除TN 的效果無明顯影響。具體聯系污水寶或參見http://www.bnynw.com更多相關技術文檔。
2. 3 尼泊金甲酯對污泥沉降性能的影響
污泥容積指數( SVI) 能夠反映活性污泥的凝聚、沉降性能,當處理生活污水時其值在 50 ~ 150mL / g 之間。SVI 值過低,說明活性污泥顆粒細小,無機質含量高,這樣的污泥活性較低。SVI 值過高,說明污泥的沉降性能變差,有可能出現污泥膨脹。在前 20 d,R0 與 R1 的 SVI 值變化相對不是特別明顯。從第 20 天之后,R1 的 SVI 值都高于 R0,說明R1 的沉降性能比 R0 要差。但在試驗過程中,R1 的SVI 值基本都在 50 ~ 150 mL / g 之間,能夠保持良好的沉降性能,有利于二沉池的泥水分離( 見圖 6) 。

2 結論
采用 SBR 工藝處理模擬生活污水,當尼泊金甲酯投加濃度為 1 mg / L 時,系統的污泥減量效果最佳,達到 38. 0% ,且出水 COD 及 NH + - N 濃度基本能夠達到國家一級 B 標準。在運行過程中,系統除磷效率較低,但在 1 mg / L 尼泊金甲酯投加量下,試驗組與空白組的除磷效率無明顯差異。考慮實際應用需求,需輔以強化除磷措施。在運行過程中,兩個系統均能夠保持良好的污泥沉降性能。(來源:哈爾濱工業大學 環境學院 郭婉茜,雒海潮,陳田慧,吳清蓮,季小益)


