目前, 我國的一些地區水質環境差、水環境隱患多、生態受損重等問題較為突出, 群眾健康受到嚴重損害, 影響經濟社會的可持續發展.為了切實加大水污染的防治力度, 確保國家水質安全, 截至到2020年, 全國嚴重污染水體要有大幅度減少, 水環境質量要得到階段性改善.京津冀區域人均占有水資源量只有全國平均水平的10%, 屬于水資源短缺十分嚴重的地區.另外, 該地區長期處于“有河皆干, 有水皆污”的局面.七大流域的國控斷面Ⅳ、Ⅴ類和劣Ⅴ類地表水比例依然達到了35.8%.
我國北方地區雨量較小, 地表水體生態基流較為匱乏, 除了短暫的雨季, 大部分水源來自城市污水處理廠尾水.尾水的水量比較穩定, 但現有污染物濃度限值遠高于地表水Ⅳ類標準, 水中含有的有機無機氮磷, 排入河道后由于溫度高水流緩慢, 會引起地表水體富營養化及黑臭現象等.TN是限定污水處理廠尾水回用的主要因素, 而氮在尾水中主要以無機氮(NH4+-N和NO3-N)的形式存在.因此, 如何去除城市污水處理廠尾水中的NH4+-N、NO3--N, 是尾水強化凈化的關鍵步驟.
生物治理技術具有操作簡單、運行費用低、不產生二次污染且效果顯著等優點, 目前已成為氮污染治理與控制的重要方法.其中的生物膜修復技術是使微生物附著生長在纖維膜表面, 形成生物膜, 當污水流經生物膜表面時, 污染物被膜上的微生物吸收轉化, 從而使污水得以凈化.該技術將天然過程與人工過程完美結合, 已成為污染水體治理領域的研究熱點.但目前多數研究只局限于對浮床植物的篩選以及構建預負載高效污染物降解與轉化微生物的生態浮床, 強化微生物對水體中污染物的降解能力, 另一方面主要集中在利用微生物和水生植物的協同作用達到凈化污水的目的, 卻忽視了微生物在河道不同深度所處的微環境不同, 以致于影響生物膜對水體的降解效果.其次, 水體流速較大會損害生態浮床整體的穩定性, 同時, 生態浮床的大面積覆蓋將會造成溶解氧含量的下降, 影響微生物的生長繁殖, 從而影響生態浮床的凈化效果.
因此, 試驗以模擬的城市污水處理廠一級B出水為研究對象, 選用性質穩定且透氣性較好的聚丙烯纖維膜作為微生物載體, 將生物浮床安裝在模擬河道中, 試圖增加生物膜在河道中的長度、延長微生物的作用時間、提高水體中生物膜覆蓋面積, 考察生物膜長度、HRT及生物膜覆蓋面積對生物膜生態浮床處理含氮尾水的影響, 實現水體中微生物生態系統的原位調控, 強化水體自凈能力, 以期為地表富營養化水體的治理提供理論依據.
1 材料與方法1.1 試驗用水
按照污水處理廠一級B出水標準配制模擬污水廠尾水, 初始水質指標測定結果見表 1.試驗過程全部采用HJ標準測定NH4+-N、NO3--N和TN等水質指標.
表 1 尾水初始水質指標/mg ·L-1

1.2 水樣測定方法
氨氮濃度測定采用納氏試劑分光光度法, 所用儀器裝置為上海棱光技術有限公司出產的22PC06119型可見分光光度計.硝酸鹽氮濃度的測定所用紫外分光光度計是上海UNICO電子公司出產的UV-2802, 主要包括由光源、單色器、吸收池、檢測器和信號處理器等部件組成, 測定方法及注意事項見標準.總氮濃度測定采用紫外分光光度法, 所用儀器裝置為UV-2802型紫外分光光度計.試驗過程中主要用鼓風干燥箱(101型)對玻璃器皿進行干燥以及FA2104N型分析天平對藥品進行稱量.用葡萄糖(C6H12O6, AR)、磷酸氫二鉀(KH2PO4, AR)以及硫酸銨[(NH4)2SO4, AR]配制試驗用水.
1.3 濃度計算
測定水樣中氨氮的吸光度, 用超純水代替水樣作為空白, 空白溶液和其他銨標準使用溶液按與樣品相同的步驟測定吸光度.水中氨氮的濃度按式(1)計算:
式中, ρN表示水樣中氨氮的質量濃度(以N計), mg ·L-1;As表示水樣的吸光度;Ab表示空白試驗的吸光度;a表示校準曲線的截距;b表示校準曲線的斜率;V表示試料體積(mL).
測定水樣中硝酸鹽氮、總氮的吸光度, 空白溶液和其他硝酸鉀標準使用溶液制得的校準系列完成全部分析步驟, 測定方法見標準, 用紫外分光光度計于波長220 nm和275 nm處測定吸光度后, 分別按下式求出除空白外其他校準系列的校正吸光度As和空白的校正吸光度Ab及其校正吸光度Ar.

式中, As220表示標準溶液在220 nm波長的吸光度;As275表示標準溶液在275 nm波長的吸光度;Ab220表示空白溶液在220 nm波長的吸光度;Ab275表示空白溶液在275 nm波長的吸光度.
總氮計算:按式(2)中計算標準溶液的Ar值與相應地總氮含量(μg)繪制標準曲線, 再根據水樣Ar值, 在校準曲線上查出相應地總氮含量(μg), 總氮質量濃度cN(mg ·L-1)按下式計算:
式中, Ar表示試樣校正吸光度;V表示試樣體積mL;a表示校準曲線的截距;b表示校準曲線的斜率.
硝酸鹽氮計算:按式(2)中計算硝酸鹽氮標準溶液的Ar值與相應的硝酸鹽氮質量濃度(mg ·L-1)繪制標準曲線, 根據求得的水樣吸光度Ar值, 從校準曲線中查得相應的硝態氮質量濃度.
1.4 試驗裝置構建
1.4.1 模擬河道反應器
本試驗所用裝置為模擬的河道反應器, 設定反應器長、寬和高分別為18、0.5和0.5m, 坡度為10‰.模擬河道反應器由有機玻璃制成, 設有進水區、反應區和出水區, 進水區與反應區之間用擋水板隔開.
具體設計見圖 1與圖 2.
圖 1

圖 2

(1) 進水口處設置有高度為300 mm的擋板, 形成存水槽以保證河道內的水流穩定, 避免進水對河道內產生過大攪動.
(2) 每條河道配置一臺蠕動泵, 以便設定不同的進水流量.河道每隔4 m設置一個高度不同的擋板, 使河道內水流動過程中產生跌水為河道內的水加氧, 模擬真實環境.
(3) 河道底端鋪設底泥, 模擬真實河床同時便于生物膜的形成.出水口設置高度為300 mm的擋板, 河道內的水在擋板上方溢流而出, 形成穩定水面.
1.4.2 生物浮床
浮床床體為聚乙烯板, 其4個角各有一個圓孔用來連接已經噴上菌膠液的纖維膜(圖 3).纖維膜采用聚丙烯材料, 它具有很強的散熱性能, 對水的阻力較小, 布水、布氣性能好, 有益于微生物的生長, 同時又具有切割氣泡的作用.根據河道深度, 按照比例截取生物膜長度.中間為直徑10 cm的小孔, 用于后期栽培植物, 美化河道環境.
圖 3

1.5 運行工況
試驗采用連續式進水方式, 由蠕動泵固定流速通入河道, 河道出水由相同流速的蠕動泵抽出, 以保證河道中水體的流動性和水量的一致性.試驗采用3種工況, 各運行3個周期.工況1在河道反應器內通入污水處理廠尾水, 將生態浮床上懸掛不同長度生物膜(1/2水深、1倍水深)運行, 生態浮床覆蓋面積為河道的10%, 溫度為25℃, 時間為10 d;工況2模擬污水處理廠尾水, 在不同HRT(6 d和12 d)條件下運行, 控制生物浮床生物膜長度為1/2水深, 膜覆蓋面積為10%, 溫度為25℃;工況3模擬污水處理廠尾水, 在不同生物浮床覆蓋面積(0%、10%和20%)條件下運行, 控制河道生物浮床掛膜長度為1/2水深, HRT為6 d, 溫度為25℃, 運行2個周期.具體聯系污水寶或參見http://www.bnynw.com更多相關技術文檔。
2 結果與討論
2.1 懸掛式生物膜對含氮尾水的凈化特征及影響分析
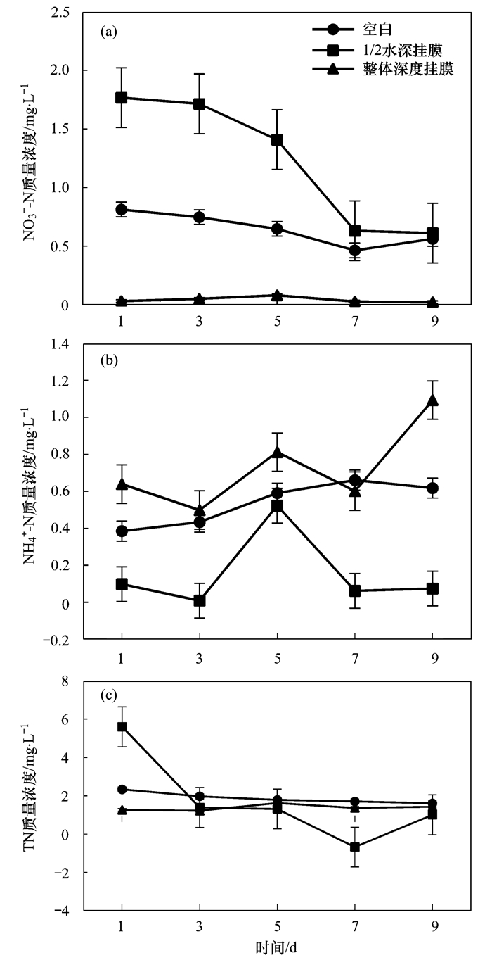
圖 4表示工況1運行條件下空白河道與懸掛生物膜河道對含氮尾水中氮素的去除效果分析.
圖 4

從圖 4(b)可以看出, 空白河道的NH4+-N濃度有一定的上升趨勢, 但變化不太明顯.懸掛1/2水深生物膜的河道內NH4+-N在前3 d處于下降趨勢, 濃度從0.098 mg ·L-1降低到0.009 mg ·L-1, 而在第5 d時NH4+-N值上升到了0.522 mg ·L-1之后又降低到0.062 mg ·L-1, 到第7 d后趨于穩定, 說明NH4+-N值在第5 d出現較大波動, 但整體變化不明顯.而整體水深懸掛生物膜的河道在第3 d和第7 d NH4+-N濃度出現拐點, 濃度值分別為0.498 mg ·L-1和0.601 mg ·L-1, 河道內初始NH4+-N值為0.639 mg ·L-1, 在第9 d時已經上升到1.093 mg ·L-1, 整體來看濃度處于上升趨勢.結果表明, 在空白河道內NH4+-N值有所上升主要是因為河道內微生物的自身代謝較微弱, 隨著時間的增加, NH4+-N不斷積累.在懸掛生物膜的河道, 水中氮素的轉化在缺氧條件下主要進行的是氨化作用, 有學者研究表明:氨化作用對溶解氧要求很廣泛, 厭氧或好氧條件下均可進行.而硝化及反硝化細菌主要是好氧自養型細菌, 由于河道下部溶解氧濃度較低并且懸浮類有機物及藻類較少, 從而影響NH4+-N的轉化.Cooper等[27]的研究指出, DO含量下降, 氨氮轉化的效率不超過15%.因此, 整體掛膜河道中的NH4+-N濃度出現上升趨勢.
由圖 4(a)和4(c)可以看出:懸掛1/2水深生物膜的河道內的NO3--N和TN都呈下降趨勢, 且NO3--N值從1.77mg ·L-1降到0.61mg ·L-1, 降解率達到了62.7%, TN值從5.60mg ·L-1降到1.01mg ·L-1, 降解率達到了81.96%.空白河道和整體水深懸掛生物膜的河道則變化不太明顯.說明在河道上部溶解氧要大于河道底部, 懸掛1/2水深生物膜的河道內硝化細菌有較優越的溶解氧環境, 繁殖較快, NO3--N的去除效果要明顯大于其他兩個河道.此前一些研究指出:系統中硝酸鹽積累量的減少和增加主要由好氧段硝酸鹽的生成量與好氧段同步硝化反硝化以及后續缺氧段反硝化脫氮量共同作用的結果.氧的可利用性會影響AOB的分布, DO濃度過高對硝化速率的影響不大, 但濃度過低則會造成硝化速率降低.生物膜懸掛到河道底部時, 河道底部溶解氧濃度較低從而抑制了生物膜上硝化作用, 在河道1/2水深處水環境中具有合適的溶解氧.因此, 河道內懸掛1/2水深的生物膜對河道內氮素的去除較明顯.
2.2 生物浮床在不同HRT下對含氮尾水的凈化特征分析
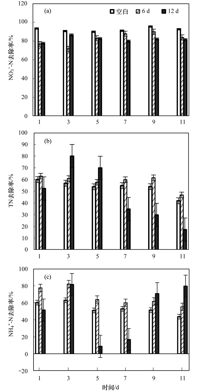
圖 5表示工況2運行條件下空白河道與不同HRT河道對含氮尾水中氮素的去除效果分析.
圖 5

由圖 5(a)可以看出, 在不同HRT條件下NO3--N去除率均維持在80% ~90%, 而空白河道的NO3--N去除率達到了90%以上, 這與苑泉等的研究HRT分別為12、8和4 h時, 對NO3--N去除率影響不大, 均能達到90%以上的結果相一致.說明在不同HRT條件下, 附著微生物生物浮床的同步硝化反硝化作用對于NO3--N的去除效率都較高, 且空白河道NO3--N的去除主要依靠河道內藻類和其他微生物代謝[30].從圖 5(b)和5(c)可以看出, 在HRT為6 d時, TN的去除率總體維持在60%左右, NH4+-N去除率能達到70%左右, 而在HRT為12 d時, NH4+-N及TN的去除率波動性較大, TN的去除率最高可達79.93%, 最低到17.23%, NH4+-N的去除率最高可達81.4%, 最低到8.73%.有研究表明, HRT較長會使生物膜脫落, 填料上附著態微生物轉化為懸浮態微生物.試驗結果說明, 當HRT為6 d時, 生態浮床上的微生物可充分與水體接觸且相對穩定, 能較好地發揮作用, 對于去除水中氮素的去除效果更明顯.
2.3 生物浮床在不同覆蓋面積下對含氮尾水的凈化特征
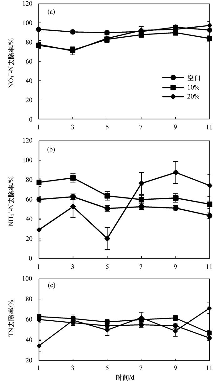
圖 6表示工況3運行條件下空白河道與不同生物膜覆蓋面積河道對含氮尾水中氮素的去除效果分析.
圖 6

由圖 6(b)可以看出:在生物浮床覆蓋面積為10%時, 覆蓋面積較小, 微生物數量少, 而水中NH4+-N的去除效率在逐步降低, 且和空白河道變化趨勢相同, 說明當生物量較小時, 隨著時間的增加, 水中的硝化細菌的轉化效率減弱, 但在生物浮床覆蓋面積為20%時, 在初期由于微生物濃度的急劇增加, 產生了一定的抑制作用, 使得NH4+-N去除效果有所下降, 但隨著時間的增加, 水中NH4+-N的去除效率在不斷增加, 去除率達到了87.62%.有學者研究表明, 成倍加入人工掛膜的浮床對于水中NH4+-N的去除有很明顯的作用.因此, 生物浮床覆蓋面積為河道的20%時對水中NH4+-N的去除效果較好.從圖 6(c)可以看出, 在生物浮床覆蓋面積為10%和20%時, TN最高去除率分別為62.88%和71.09%, 但在覆蓋面積為10%時TN的去除率是呈下降趨勢, 而覆蓋面積為20%時TN的去除率是呈上升趨勢的.而從圖 6(a)結果中不難發現, NO3--N的去除效率都達到80%以上, 但覆蓋生物浮床河道去除率是呈現上升趨勢.結果表明, 由于生物浮床的覆蓋面積增加, 作用于水體的氨化、硝化和同步硝化反硝化細菌的生物量相應地增加, 活性增強, 因此, 當生物浮床面積為20%時對含氮尾水中氮素的去除具有明顯效果.
3 結論
(1) 在河道反應器內懸掛不同長度生物膜(1/2水深和1倍水深)運行條件下, 懸掛1/2水深生物膜的河道內硝化細菌有較優越的環境, NO3--N的去除效果要明顯大于空白河道和整體水深掛膜河道, 對含氮尾水中氮素有較明顯的去除效果.
(2) 在控制生物浮床生物膜長度為1/2水深, 膜覆蓋面積為10%, 溫度25℃, 不同HRT(6 d, 12 d)運行條件下, 不同HRT對NO3--N去除率影響不大, 當HRT為6 d時, 生態浮床上的微生物可充分與水體接觸且相對穩定, 能較好地發揮作用, 對于去除水中氮素的去除效果更明顯.
(3) 在控制河道生物浮床掛膜長度為1/2水深, HRT為6 d, 溫度為25℃, 不同生物浮床覆蓋面積(0%、10%和20%)運行條件下, 生物浮床覆蓋面積為20%時, 對含氮尾水中氮素的去除具有明顯效果.(來源:環境科學 作者: 趙志瑞)


