由于抗生素長期被應用于人與動物的疾病治療及在養殖業中促進動物生長,導致環境微生物耐藥性逐漸增強,并嚴重威脅到人類健康[1, 2]. 城市 污水處理廠是耐藥菌與抗性基因的重要儲存庫[3, 4, 5, 6, 7],其中城市污泥傳播抗性的潛在危險性高于污水. 例如,Munir等[8]的研究表明,城市污水處理廠的活性污泥中的耐藥菌(3.17×104~1.85×109 CFU ·g-1; colony-forming unit,CFU)遠高于出水中的耐藥菌(5.00~6.10×103 CFU ·mL-1). 葛峰等[9]發現在南京4個城市污水處理廠的活性污泥中分離出的35株細菌中,97.1%的細菌具有不同程度的耐藥性,80%的菌株具有多重耐藥性. 劉沖等[10]發現在上海2個城市污水處理廠的外排污泥中3種四環素類耐藥菌的濃度均高于進水. 此外,研究表明城市污泥的土地利用很有可能造成抗性污染傳播[11, 12]. 由此可知,如果城市污泥處理不當,則會有傳播耐藥菌與抗生素抗性基因的巨大風險; 另一方面,城市污泥的合理處理也是控制耐藥菌傳播的重要工藝過程.
然而,目前已有研究大多是針對城市污水處理過程中耐藥的好氧菌群[8, 13],或某特定菌如大腸菌群(Coliforms)[14, 15]、 腸球菌(Enterococci)[16]、 不動桿菌(Acinetobacter)[14, 17]、 大腸桿菌(Escherichia coli)[18, 19]、 金黃葡萄球菌(Staphylococcus aureus)[20]等的分布特征進行研究,缺乏對城市污泥典型處理工藝,即厭氧消化過程中耐藥菌、 尤其是厭氧耐藥菌的分布規律與去除特征的研究,污泥中耐藥菌的去除及其影響因素和控制方法都有待深入探討[21]. 因此,本研究以北京某城市污水處理廠中溫厭氧卵形消化池的進泥與出泥為對象,通過為期1 a的調查研究,重點考察應用最廣泛的獸用/人類醫用抗生素四環素類及β-內酰胺類的厭氧耐藥菌在城市污泥中溫厭氧消化過程中的分布特征與去除效果,以期為今后城市污泥處理過程中耐藥菌傳播污染控制提供科學依據. 1 材料與方法 1.1 樣品采集與處理
自2012年9月~2013年8月,定期采集北京某城市污水處理廠卵形消化池的進泥和出泥. 該污水處理廠服務人口300余萬,初沉污泥采用中溫卵形消化池(35~38℃)處理,日處理規模為2200~2600 m3濃縮污泥(含水率96.5%~97.5%),污泥停留時間為24~28 d. 將現場所取得的污泥樣品置于已滅菌的聚乙烯瓶(1 L),立刻放于冰上冷藏、 運輸到實驗室于4℃冷藏保存. 所取污泥樣品先經1 mm篩網去除大顆粒雜質后用于污泥TS等各項指標的檢測. 污泥樣品在取樣后48 h內進行總厭氧菌與耐藥菌的培養試驗. 1.2 厭氧培養基的配制
根據文獻[22, 23, 24]推薦的厭氧耐藥菌培養方法對卵形消化池進/出污泥中厭氧耐藥菌進行培養,重點考察6種抗生素耐藥菌在厭氧污泥中的分布情況,分別是3種四環素類抗生素:土霉素(oxytetracycline,OTC)、 金霉素(chlorotetracycline,CTC)、 四環素(tetracycline,TC)和3種β-內酰胺類抗生素:氨芐西林(青霉素類,ampicillin,AMP)、 頭孢噻吩(Ⅰ代頭孢菌素,cephalothin,CEP)、 頭孢噻肟(Ⅲ代頭孢菌素,cefotaxime,CFT).
分別取抗生素純品163.27 mg土霉素(純度≥98%,LKT Labs,US),173.13 mg四環素(鹽酸鹽)(≥95%,Sigma,US),229.58 mg金霉素(鹽酸鹽)(≥75%,Sigma,US),168.88 mg頭孢噻吩(鈉鹽,96.0%~101.0%,Sigma,US),分別加入到50 mL的滅菌去離子水(Milli-Q,US)中,制備成含抗生素3.2g ·L-1的母液. 將氨芐西林(鈉鹽,100 mg ·mL-1,Goldbio,US),頭孢噻肟(鈉鹽,100 mg ·mL-1,Goldbio,US)用滅菌去離子水稀釋10倍,制備成10g ·L-1母液,于-20℃避光保存備用. 耐藥菌培養采用Wilkins-chalgren 厭氧瓊脂(Oxoid,U.K.)[25, 26]作為厭氧菌培養基. 配制培養基時取相應劑量的抗生素母液加入到培養基中,配制成含抗生素32μg·mL-1的厭氧耐藥菌選擇性培養基. 1.3 厭氧菌的培養
取10 mL厭氧污泥加到含有90 mL滅菌PBS緩沖液的三角燒瓶內,加入適量滅菌玻璃珠,在恒溫搖床內180 r ·min-1振蕩1 h,制成均勻的稀釋液,即為稀釋10-1的菌液. 取1 mL水樣,采用10倍梯度稀釋法,依此制成10-2~10-8稀釋菌液. 選擇3個適宜的稀釋梯度,每個稀釋度做3個平行試驗. 吸取0.1 mL稀釋菌液,接種已倒入滅菌厭氧培養瓊脂的培養皿中,以涂布棒涂布均勻,立刻倒置于Anaero Pack密封厭氧培養罐(MGC,JP)中,加入厭氧產氣袋(用于消耗剩余氧氣)以及氧氣指示劑后密封,于37℃恒溫生化培養箱中避光培養72 h后計數. 1.4 數據處理
采用SPSS 18.0軟件對試驗數據進行統計分析. 采用的統計方法包括單因素方差分析、 配對T檢驗、 獨立樣本T檢驗等方法. 對細菌濃度取log值后再進行相應的顯著性分析(P<0.05).
2 結果與討論
2.1 厭氧耐藥菌在厭氧消化過程中的分布特征
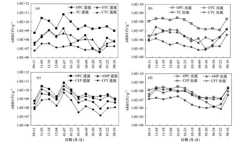
厭氧污泥中6種抗生素厭氧耐藥菌分布情況的全年考察結果見圖 1所示. 卵形消化池進泥與出泥中的總異養菌與耐藥菌在一年內大多在2個數量級之內波動. 厭氧進泥中總厭氧菌濃度為5.94×108~6.75×1010 CFU ·g-1,四環素類耐藥菌在3.57×106~1.77×109 CFU ·g-1之間,β-內酰胺類耐藥菌為1.33×107~2.98×1010 CFU ·g-1之間.

圖(a)和(c)為厭氧進泥中耐藥菌與總厭氧菌濃度; 圖(b)和(d)為厭氧出泥中藥菌與總厭氧菌濃度; HPC. 總厭氧菌; OTC.土霉素; TC.四環素; CTC.金霉素; AMP.氨芐西林; CEP.頭孢噻吩; CFT.頭孢噻肟
圖 1 厭氧消化進/出泥中耐藥菌濃度的全年分布
由圖 2可知,中溫厭氧消化污泥中β-內酰胺類耐藥菌量的年均值均高于四環素類耐藥菌量. 方差分析結果表明,厭氧進泥的耐藥菌之間存在顯著差異,氨芐西林與頭孢噻吩>頭孢噻肟、 土霉素、 四環素>金霉素(P<0.05). 已有研究表明,污水生物處理過程,如傳統活性污泥法、 氧化溝、 生物轉盤、 膜生物反應器(membrane bioreactor,MBR)等方法可以去除0~5個數量級的耐藥菌[8],但尚未見到污泥厭氧消化過程中厭氧耐藥菌變化趨勢研究的報道. 本研究中,厭氧消化過程可以顯著去除1.68 log單位總厭氧菌(P<0.05),并可顯著去除各種耐藥菌(1.48~1.64 log單位,P<0.05)(圖 2).

圖 2 中溫厭氧消化進/出泥中耐藥菌濃度的全年平均值
2.2 厭氧消化過程中厭氧菌耐藥率的變化
對耐藥菌在總厭氧菌中的比例進行分析,可知各種抗生素耐藥率在污泥厭氧消化過程中的變化情況. 厭氧進泥與出泥中各種抗生素耐藥率的變化見圖 3. 厭氧進泥中氨芐西林耐藥率最高,為58.01%,顯著高于排名其次的頭孢噻吩(23.74%)(P<0.05). 而氨芐西林與頭孢噻吩的耐藥率均顯著高于其它4種抗生素(土霉素:4.69%; 四環素:4.81%; 金霉素:0.56%; 頭孢噻肟:5.66%)(P<0.05). 雖然耐藥菌濃度經過厭氧消化被去除1.48~1.64 log單位,但氨芐西林與頭孢噻吩耐藥比例卻分別從58.01%和23.74%增加到69.99%和38.02%(P<0.05),其它4種抗生素的耐藥比例則無顯著變化(P>0.05). 其他學者在研究污水處理過程中也發現了這種處理后耐藥菌濃度降低,而部分耐藥菌的耐藥率升高的現象[16, 17, 18],但人們對此現象目前尚未有確切的解釋,只是推測可能與不同細菌對抗生素敏感程度不同,即抗生素對細菌具有選擇性,從而不同細菌在處理過程中的去除比例也有所不同[16, 17, 18].

圖 3 厭氧消化進/出泥中耐藥率的變化
本研究的厭氧污泥的厭氧耐藥菌中,四環素類耐藥率相對較低,為0.56%~5.82%,青霉素類的氨芐西林和Ⅰ代頭孢菌素類的頭孢噻吩耐藥率相對較高,為23.74%~69.99%,Ⅲ代頭孢菌素類的頭孢噻肟耐藥率為5.66%~7.30%,略高于四環素類耐藥率. 已有文獻中采用傳統微生物培養方法研究好氧菌在城市污水、 污泥中抗生素耐藥率的結果如表 1所示. 從中可知,雖然各研究者所采用的培養基、 培養方法、 抗生素濃度各有不同,但城市污水、 污泥中的耐藥菌都具有青霉素類、 Ⅰ代頭孢類抗生素耐藥率較高,四環素類抗生素耐藥率相對低的特點. 而Kerry等[27]發現在大量使用獸用抗生素的環境則有較高的四環素耐藥率,在魚塘使用土霉素治療的第3 d與24 d,魚塘沉積物中異養菌對土霉素的耐藥率從9%迅速增長到26%.

表 1 文獻中總可培養異養菌對各種抗生素的耐藥率
目前研究人員對于污水、 污泥中抗生素殘留量與耐藥菌的關系尚未有定論[29, 34]. 例如,有研究表明抗生素殘留濃度與耐藥菌的濃度呈正相關[13, 35],也有研究認為二者之間不顯著相關[30]. 然而,抗生素的大量使用可以導致耐藥菌濃度或耐藥水平的增加[36, 37]. 由于城市污水廠接納的污水主要來自人類生活污水,污水與污泥中耐藥菌的分布受到人用抗生素的影響較大. 因此筆者考察了醫院的抗生素使用量與城市污水廠厭氧污泥中耐藥菌之間的關系,并將在今后研究中繼續考察抗生素殘留量與耐藥菌之間的關系. 我國醫院所使用的抗生素以β-內酰胺類為主,使用量遠高于四環素類抗生素[38, 39, 40, 41, 42]. 根據鄭利光等[43]對北京地區19家醫院2008年6月~2009年5月的抗菌藥物采購數的統計分析,北京地區所使用的人用抗生素中,頭孢菌素類與青霉素類的使用頻率[使用頻率(DDDs)=購藥總量/限定日用劑量]所占比例分別為31.05% 和6.37%,排名分別為第1和第4,四環素類抗生素則僅為0.31%,排名第15. 這可能是城市污水廠厭氧污泥中四環素類耐藥率較低的重要原因之一. 2.3 耐藥菌與耐藥率的季節性變化
北京具有冬夏持續時間較長而春秋較短的氣候特點,在5~9月,日均最高氣溫在26℃以上,日均最低氣溫在14~22℃; 而在10月~次年4月,日均最高氣溫為2~20℃,日均最低氣溫僅為-9~8℃(http://w.zuzuche.com/weather/c235.html). 此外,我國人用抗生素使用量有冬季大于夏季的特點[44, 45],而抗生素使用量的增加常會導致耐藥菌濃度與耐藥水平的增加[27, 36]. 因此,本研究將5~9月和10月~次年4月分別作為溫暖季、 寒冷季,對耐藥菌在不同季節的分布情況進行分析. 由于卵形消化池內保持恒溫,故本研究不考慮厭氧消化溫度對耐藥菌的影響.
如圖 4所示,寒冷季的進泥中總厭氧菌量為1.78×1010 CFU ·g-1,顯著高于溫暖季的1.66×109 CFU ·g-1(P<0.05). 進泥中寒冷季各種抗生素耐藥菌為2.10×107~8.42×109 CFU ·g-1,溫暖季為1.12×107~1.04×109 CFU ·g-1,除金霉素耐藥菌外,總厭氧菌及其它耐藥菌均為寒冷季顯著高于溫暖季(P<0.05). 對于厭氧出泥,只有頭孢噻吩耐藥菌在寒冷季顯著高于溫暖季(寒冷季為7.92×107 CFU ·g-1,溫暖季為2.45×107 CFU ·g-1)(P<0.05),其它耐藥菌則無顯著差異,說明一年中厭氧消化過程在總體上對耐藥菌起到了很好的去除效果,出泥耐藥菌濃度較為穩定.
我國城市污水廠有寒冷季進水COD普遍高于溫暖季的特點,導致厭氧污泥的有機物濃度寒冷季高于溫暖季. 有機負荷的增加會導致耐藥菌增長,但對耐藥率的影響不顯著[46]. 因此,本研究中,有機負荷、 抗生素用藥量等因素均有利于耐藥菌在寒冷季的增長大于溫暖季,都是導致本研究中寒冷季耐藥菌顯著高于溫暖季的重要原因.

圖 4 厭氧污泥中耐藥菌在寒冷季與溫暖季的分布
如圖 5所示,雖然耐藥菌去除量在寒冷季均高于溫暖季,但獨立樣本T檢驗分析結果表明,除土霉素耐藥菌外(寒冷季去除1.79 log單位,溫暖季去除1.21 log單位)(P<0.05),總異養菌及其它耐藥菌并無顯著差異(P>0.05).

圖 5 厭氧污泥中耐藥菌在寒冷季與溫暖季的去除
獨立樣本T檢驗分析結果表明(表 2),厭氧進泥中各種抗生素的耐藥率在寒冷季與溫暖季無顯著區別,但厭氧出泥中金霉素耐藥率溫暖季顯著高于寒冷季(溫暖季1.02%; 寒冷季0.26%),頭孢噻吩耐藥率寒冷季顯著高于溫暖季外(溫暖季23.81%; 寒冷季48.17%),其它抗生素耐藥率無顯著差異(P>0.05). 與此不同的是,Novo等[47]發現春季與秋季中細菌對阿莫西林、 四環素、 新諾明的耐藥比例有顯著不同. 這些研究結果表明,環境微生物的耐藥率受到較多因素影響,仍然需要深入探討.具體參見污水寶商城資料或http://www.bnynw.com更多相關技術文檔。

表 2 不同季節厭氧污泥中抗生素耐藥率的變化 [均值(標準偏差)]/%
3 結論
(1)厭氧進泥中四環素類耐藥菌在3.57×106~1.77×109 CFU ·g-1之間,β-內酰胺類耐藥菌為1.33×107~2.98×1010 CFU ·g-1之間; 中溫厭氧消化可以顯著去除所有的耐藥菌(1.48~1.64 log單位,P<0.05); 但經過中溫厭氧消化,氨芐西林與頭孢噻吩的耐藥率顯著增加,分別增加了12.0%與14.3%(P<0.05),而其它抗生素的耐藥率無顯著變化.
(2)厭氧進泥中耐藥菌濃度之間存在顯著差異,整體上β-內酰胺類耐藥菌含量高于四環素類耐藥菌:氨芐西林與頭孢噻吩>頭孢噻肟、 土霉素、 四環素>金霉素(P<0.05); 厭氧污泥中四環素類耐藥率低于β-內酰胺類.
(3)厭氧進泥中耐藥菌分布有明顯季節特征:除金霉素耐藥菌外,總異養菌及其它耐藥菌均為寒冷季高于溫暖季(P<0.05); 但厭氧進泥中抗生素耐藥率在不同季節無顯著區別.(來源及作者:中國科學院生態環境研究中心 佟娟、王元月、魏源送)


