自“水十條”提出以來,各地陸續制定了嚴于國家標準的地方水污染物排放標準,污水處理廠提標改造持續推進。膜生物反應器(MBR)集合了傳統活性污泥法中的生物處理技術和膜的高效截留作用,使系統出水水質得到大幅度提高,成為極具競爭力的水處理工藝,被廣泛應用于市政和工業污水處理廠的建造和升級改造,滿足了日益嚴格的排放標準及回用要求。陶瓷膜是無機材料經特殊工藝燒制而形成的非對稱膜,具有分離效率高、效果穩定、化學穩定性好、耐酸堿、耐高溫、抗污染、機械強度高和使用壽命長等優勢,在分離領域和水處理領域得到廣泛的關注,并形成了陶瓷平板膜MBR技術。
安徽省某工業園區主要生產高分子材料,廢水中含有聚酯、環氧樹脂、固化劑、催化劑等有毒、難降解成分,有機膜系統難以穩定運行。本研究基于該工業園區的實際廢水處理工程,采用陶瓷平板膜MBR進行中試,以確定膜系統穩定運行的工藝參數,為解決難降解有機廢水處理難題提供技術支持。
1、材料與方法
1.1 進水水質
安徽省某工業園區綜合廢水的處理工藝為“調節+催化氧化+水解酸化+好氧生化”,之后作為中試原水進入陶瓷平板膜MBR裝置,其COD為1.0~1.6g/L,Cl-、MLSS的質量濃度分別為12~13、8~12g/L,pH為6~9,溫度38~42℃。
1.2 中試裝置
中試裝置采用集裝箱式一體化廢水處理設備,主要包括膜池、產水池、平板陶瓷膜堆、進水系統、混合液回流系統、曝氣系統、產水系統、反洗系統、排泥系統和PLC控制系統等,處理工藝流程如圖1所示。

采用的陶瓷平板膜為自主研發的XM產品,膜性能如表1所示,膜組件所含的膜片數量為200片,膜面積為20m2。

1.3 研究路線
分別對在線反沖洗運行模式(反洗模式)與抽停不反洗運行模式(抽停模式)的運行情況進行研究,通過對2種運行模式系統穩定性與經濟性比較,確定該水質條件下的運行模式與運行通量,并在該運行模式與運行通量下進一步優化,保證膜系統的穩定運行。反洗模式:產水泵運行一定時間后停止,反洗泵開啟進行反洗,反洗一定時間后反洗泵停止,產水泵運行;抽停模式:產水泵運行一定時間后停止,停歇一定時間后產水泵再次啟動運行。
中試過程中采用恒通量運行模式,運行過程中連續曝氣,曝氣強度為20m3/(m2•h)。
1.4 分析測試方法
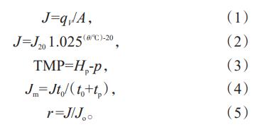
COD采用5B-3FCOD快速測定儀進行測定;濁度采用HACH1900C便攜式快速測定儀進行測定;膜通量根據產水電磁流量計示數進行計算,跨膜壓差(TMP)采用壓力變送器與液位與壓力表高度差進行測定計算。
膜性能采用膜通量(J)、TMP、通量恢復系數(r)表征。

式中:J和J20分別為溫度θ和20℃時的膜通量,Jo和Ji分別為污染前和清洗后膜通量,Jm為平均膜通量,qV為產水體積流量,A為膜組件面積,t0和tp為1個過濾周期內產水泵運行、停歇時間,p為壓力,Hp為壓力表位置距膜池液面的高度(以壓力表位置為基準零點)。
2、結果與討論
2.1 反洗模式下運行通量的優化選擇
在線反沖洗是控制膜污染較為常用的運行方式之一,也是陶瓷平板膜相比有機平板膜的優勢之一,反沖洗作用可以沖掉膜孔道內和膜表面的污染物,使TMP處于較低的水平,保證膜的高透水性。陶瓷膜應用于某些廢水處理時,可以通過控制產水時間與反沖洗頻率保證膜系統的穩定運行。當進水COD為800~1000mg/L時,采用抽吸產水9min、反洗1min、反洗水量75L/(m2•h)的運行模式。圖2為運行通量分別為20、25、30、35L/(m2•h)時TMP的變化趨勢。

由圖2可知,在相同的運行條件下,運行通量與TMP呈正相關關系。運行通量越大,對應的初始運行壓力越大,TMP增長速率也越快。運行通量35L/(m2•h)下初始TMP已達到27.80kPa,而運行通量20L/(m2•h)下初始TMP僅有9.86kPa;運行過程中,運行通量35L/(m2•h)下TMP增長速率為0.30kPa/min,而運行通量20L/(m2•h)時TMP增長速率為0.11kPa/min;運行通量30、25L/(m2•h)的TMP增長速率變化趨勢介于上述兩者之間,分別為0.28、0.20kPa/min。表明在此廢水處理項目中,為保證膜系統的穩定運行,運行通量不應高于20L/(m2•h)。
2.2 反洗水量對膜污染的恢復效果
采用與2.1節同樣的運行條件,控制運行通量20L/(m2•h),對不同反洗水量條件下的膜污染恢復效果進行分析,通量恢復率如表1所示。

由表2可知,反洗對膜污染的去除效果不佳,不同反洗水量對膜污染的恢復效果相差不大,膜通量恢復率低于69%,與文獻中的研究結果接近。其主要原因可能是,反洗對水質要求較高,而系統產水(反洗用水)COD仍然較高,存在部分粒徑與膜孔徑接近的物質在反洗過程中造成膜的二次污染的可能;其次,2倍的反洗水量即可將膜污染的濾餅層及膜孔堵塞物去除,進一步增大反洗水量并不能去除更多污染物,當反洗強度過高時,膜孔內的污染物會被水流剪切力所破碎,形成的細小顆粒更容易被膜孔吸附而不易脫落,造成反洗效果不佳甚至產生反洗效果變差的現象。
2.3 抽停方式下運行通量的優化
控制抽停時間比的目的主要在于在抽吸產水停止時,利用連續曝氣對膜面水力條件形成的紊流作用及時沖刷膜表面的污泥層,減輕膜污染程度。進水COD為800~1000mg/L,采用抽吸產水5min停止產水1min、不進行反洗的運行模式,不同運行通量下TMP隨運行時間的變化如圖3所示。

由圖3可知,運行通量與TMP的關系與2.1節一致,膜污染達到一定程度時系統將無法運行。通量20L/(m2•h)時TMP增長速率為0.12kPa/min,屬于膜污染的緩慢增長階段;通量40L/(m2•h)時運行40min后系統因無法正常產水而停機,屬于膜污染的快速增長階段,此階段膜面濾餅層被迅速壓實,TMP急劇升高,滲透通量降低,最終將導致系統崩潰;通量30L/(m2•h)膜系統在TMP低于40kPa運行時,TMP增長速率為0.45kPa/min,TMP高于40kPa時,膜污染速度達到1.41kPa/min,是前者的3.13倍,進入膜污染的第3階段。表明在此廢水項目中,與采用反洗模式相似,運行通量不應高于20L/(m2•h),運行過程中TMP應控制低于40kPa。
2.4 抽停方式與反洗方式的經濟性比較
抽停方式與反洗方式由于運行過程中進行了停歇或反洗從而影響膜系統的總產水量,降低了系統運行的經濟性,因此在保證系統的穩定運行的前提下,需盡量提高膜系統的平均通量,不同運行方案的比較如表3所示。

由表3可知,反洗方式2與抽停方式1的運行通量相同,膜污染速率相近,但反洗模式2的平均膜通量比抽停模式1低34.4%,主要原因是反洗過程消耗了大量的產水,導致平均膜通量較低;當反洗方式運行通量達到25L/(m2•h)時,平均膜通量才與抽停方式接近,但此時如圖3和圖4中所示反洗模式的膜污染速率明顯較抽停模式快;綜合比較,在相同的進水條件下,抽停方式較反洗方式的穩定性及經濟性更高。
2.5 反洗在抽停模式中的運行效果
與上述運行方式類似,控制運行通量為20L/(m2•h),對比有無反洗工藝對膜通量的影響。反洗運行條件下,抽吸5min停止1min,每2h進行1次在線汽水反沖洗,反洗水量為2倍產水量;不反洗運行條件下,抽吸5min停止1min,不進行反洗。反洗與不反洗時的通量衰減率如圖4所示。

由圖4可知,抽停模式中,有無反洗程序對膜通量的影響不大,反洗對通量的恢復效果不明顯,當運行至第10次反洗時,有無反洗程序的通量變化沒有差別,表明在本項目中,有無反洗程序對膜系統的污染控制沒有差異,為保證系統的經濟性,可不設計反沖洗程序。
2.6 抽停時間比的優化
進水COD為800~1000mg/L,控制運行通量為20L/(m2•h),分別采用4種抽停比的方式運行。不同抽停時間比下TMP變化如圖5所示。

由圖5可知,60min的運行時間內,開4min停1min、開5min停1min、開6min停1min方式下的TMP增長速率由0.03kPa/min升高至0.12kPa/min,表明相同的停歇時間內,抽吸時間越長膜污染越嚴重;其次相同有效產水時間條件下,開8停2的膜污染速率遠大于開4min停1min,主要原因為抽吸時間越長,污染物在膜面被壓實的可能性越大,空氣擦洗膜面污染物所需的停歇時間就越長,隨著膜面殘留的污染物越來越多,膜系統有效過濾孔的堵塞越來越嚴重,TMP增長加快。本項目中宜采用開4min停1min的方式運行,可以保證膜系統穩定運行,減少清洗頻率。
3、結論
陶瓷平板膜MBR在處理含聚酯、環氧樹脂、固化劑等難降解有機物的廢水時,在線反沖洗對膜通量的恢復效果不佳,增大反洗水量不能提高反洗效果。在進水COD800~1000mg/L,采用反洗運行模式和抽停運行模式下,為保證系統穩定運行,通量應不超過20L/(m2•h)。與反洗運行模式相比,抽停運行模式經濟性更好;通過控制合適的抽停比可以較好的控制膜污染。采用抽停比開4min停1min時,平板陶瓷膜MBR運行較為穩定。(來源:浙江中誠環境研究院有限公司)



