臭氧是一種強氧化劑,其氧化電位可達2.07V,常用于水體的消菌和殺毒。由于臭氧分子的特殊偶級結構,使其可與苯酚、有機胺、烯烴等具有半電子結構的有機物迅速反應。但當有機物具有抽離電子結構時,臭氧的氧化作用會受到抑制。其反應的主要途徑是通過臭氧分子或臭氧分解所產生的自由基實現對目標有機物的去除,因此很多研究以催化劑催化臭氧產生更多活性物質為出發點進行探索。王兵等研究發現,采用Mn3O4催化臭氧化鉆井廢水,催化劑投加量為100mg/L時,臭氧分解率由單獨臭氧時的38.2%增至81.4%,且反應體系中TOC由191.9mg/L降至37.6mg/L,有機物被有效降解。李靈毓等采用錳鐵復合氧化物催化臭氧化脫色木醋液,試驗發現,錳鐵復合氧化物催化臭氧化相對于單一使用臭氧表現出更好的脫色效果,且含鐵比例越大,效果越好,增加催化劑使用量以及提高pH值均有利于木醋液降解脫色。張方等制備了一系列碘改性的含銅介孔復合氧化物催化劑,并以甲苯為探針測試其催化性能,結果表明,在最優反應條件下甲苯轉化率達25.6%,催化劑應用于其他苯系物(苯、乙苯、二甲苯)的氧化反應也取得了較好的催化效果。
前人研究發現,煤化工廢水中的苯系物(苯、甲苯、乙苯、二甲苯,簡稱BTEX)很難通過傳統的化學氧化作用被降解,基本均通過生物降解或生物吸附作用被去除。因此本文采用催化臭氧化對BTEX進行降解,為BTEX在實際處理過程中的技術應用提供理論基礎。
本文以加強臭氧分解產生自由基為目標,從催化劑制備、表征、處理效果以及催化臭氧化理論為出發點,系統分析了催化臭氧化對BTEX的去除效能。通過比對不同反應體系中自由基激發情況探究催化臭氧化處理BTEX的反應機理。以期通過化學手段有效去除廢水中的BTEX,減少有機物負荷,提高后續生化反應效率,提標廢水處理后出水水質,降低有毒有害物質濃度。
1、試驗
1.1 配水指標
配置含有目標有機污染物苯、甲苯、乙苯、二甲苯質量濃度分別為100mg/L的混合溶液,溶液初始TOC為460mg/L。
1.2 多孔臭氧催化劑制備方法
稱取Fe2O31kg、氧化銅300g、氧化錳400g、鋁礬土4.5kg、膨潤土8kg、石墨粉3.5kg放入不銹鋼球磨罐中研磨10h,將研磨后的粉料過49μm(300目)篩網,加入500g水,將粉料制成泥料,泥料通過機械滾動成球,尺寸為2~4mm,將球放入烘箱干燥至水分低于0.8%后,在電爐800℃下焙燒1h,制成臭氧催化劑備用。
1.3 儀器及數據測定方法
化學需氧量(COD):重鉻酸鉀法測定,總有機碳(TOC):日本島津公司TOC-LCPHCN200總有機碳分析儀,pH值:PHS-3C精密pH儀器(LeiCi,上海),反應體系溫度:水溫計,苯、甲苯、乙苯、二甲苯的濃度:氣相色譜質譜聯用儀(GC-MS),測試前需使用二氯甲烷進行萃取。
臭氧發生器為北京同林高科生產的3S-A10氣源兩用型臭氧發生裝置,最大臭氧產量為10g/h,蠕動泵為保定申辰泵業生產的LABV1智能型蠕動泵。
采用HitachiH-7500透射電子顯微鏡(TEM)和配備EDX的S-2400掃描電子顯微鏡(SEM)對催化劑形貌進行觀察,采用PANalyticalX’PertX射線粉末衍射儀(XRD)對材料進行分析,采用鎳過濾的CuKα為單色光束,掃描速度0.4(°)/min,掃描范圍5°~90°,采用ESCALAB250XiX射線光電子能譜儀(XPS)對材料元素進行分析,單色化AlKαX為射線源,采用JEM-2100高分辨透射電子顯微鏡(HR-TEM)對樣品微觀形貌進行分析。
采用BrukerA200ESP300E型電子自旋共振光譜儀(ESR)測定羥基自由基激發情況。測試前需使用羥基自由基捕獲劑(DMPO)對反應中的羥基自由基進行捕捉,設定參數如下:X-field掃描,中心點351.194G,掃描寬度10.00mT,調制振幅0.1mT,掃描時間41s,微波頻率9.858GHz,微波功率2.25mW,接收器增強為1.42×104。每個樣品進行5次測定,取平均值。
催化臭氧化反應裝置如圖1所示。

2、試驗結果與分析
2.1 催化劑表征
2.1.1 XRD分析
圖2為多孔臭氧催化劑的XRD圖,可以看出,該臭氧催化劑是含有氧化鋁、氧化硅等的混合物。在合成過程中,氧化錳含量相對較少,由于氧化錳在球磨和高溫下與氧化鐵、膨潤土生成富鐵的錳硅灰石,在X射線衍射圖中可看到該峰的存在。合成過程中氧化銅的加入量也相對較少,因此氧化銅在球磨和高溫下主要與其他反應物形成化合物(鈣銅鐵氧化物)。此外,由于反應物鋁礬土和膨潤土的加入量較大,鋁礬土主要含有Al2O3,膨潤土主要含蒙脫石((Na,Ca)0.33(Al,Mg)2(OH)2·nH2O),這是XRD圖中出現明顯的Al2O3和SiO2峰的原因。XRD結果還表明,該臭氧催化劑是含有沸石結構的化合物,這為其具有更大的比表面積提供了依據。

2.1.2 XPS分析
臭氧催化劑的XPS譜圖如圖3所示。在531.3、284.8和103.2eV,分別對應O1s、C1s和Si2p三個峰,74.2、952.5、711.4和642.6eV四個峰歸因于Al2p、Cu2p、Fe2p和Mn2p軌道。因此,XPS證明了所合成的催化劑主要含有Si、O非金屬元素(C峰主要來源于碳基底或空氣),還包含Cu、Fe、Mn、Al等金屬元素,這與XRD表征結果相符。

2.1.3 SEM分析
圖4為多孔臭氧催化劑的SEM圖,可以看出,多孔臭氧催化劑由許多不規則的細小塊狀粉末構成,表面粗糙,細小塊狀粉末表面蓬松,堆疊成多級結構,可使催化劑呈多孔性,也為其具有更大的比表面積提供了可能。

2.1.4 TEM分析
采用TEM觀測多孔臭氧催化劑的形貌及結構,如圖5所示。可以看出,多孔臭氧催化劑呈塊狀,且具有明顯的多孔結構。形成多孔的原因是由于高溫煅燒后,碳源以氣體形式逸出,使催化劑形成多孔結構。TEM圖為催化劑具有多孔性和較大的比表面積提供了直接依據,這與SEM分析結果一致。

2.1.5 比表面積分析
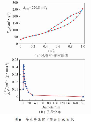
圖6(a)為氮氣吸附-脫附曲線,曲線呈現具有H3滯后環的IV型等溫線,表明材料與氮氣之間有較強的作用力,材料具有多孔性,這是由于合成過程209中氣體的逸出所致,以及片狀粒子再堆積形成狹縫孔。因此,所合成的多孔臭氧催化劑具有較大的比表面積(220.8m2/g)。圖6(b)為多孔臭氧催化劑孔徑分布,可以看出,多孔臭氧催化劑的孔隙直徑主要集中在3.8nm。催化劑的BET表征結果與SEM、TEM表征結果相吻合。

2.2 催化臭氧化對BTEX的降解效果
2.2.1 催化劑投加量的影響
在反應體系溫度30℃、溶液pH=8、臭氧投加量為3.5mg/L的條件下,催化劑投加量分別為0.1、0.5、1.0、2.0、3.0、4.0、5.0、6.0和7.0g/L,BTEX的去除率如圖7所示。

從圖7可以看出,不同的催化劑投加量對降解BTEX有一定影響,隨著催化劑投加量的增加,有機物的去除率逐漸升高。當催化劑投加量分別為0.1、0.5、1.0、2.0、3.0、4.0、5.0g/L時,有機物的去除率分別為91.3%、91.9%、93.6%、95.5%、96.3%、97.6和99.1%,催化劑投加量為5.0g/L時,有機物的降解效果最佳。在催化劑投加量為5g/L的反應體系中,苯、甲苯、乙苯、二甲苯的去除率分別為95.6%、98.2%、100%、100%,可見在催化臭氧化的反應體系中BTEX反應速率排序為:二甲苯=乙苯>甲苯>苯。當催化劑投加量較低時,催化劑的活性點位較低,導致催化反應不充分,影響有機物的去除率。
2.2.2 催化臭氧化動態模擬試驗
為區分催化臭氧化處理BTEX時,催化劑的吸附作用和臭氧氧化的降解作用,本文采取24h動態模擬試驗對配水的處理效果進行比對。試驗溶液初始pH=8,臭氧投加量為3.5mg/L,蠕動泵流量控制為10mL/min,催化劑填充量為柱容量的3/4,取樣時間間隔為1h,模擬試驗結果如圖8所示。

從圖8可以看出,在動態流化床模擬試驗中,催化劑的反應體系對溶液中有機物的去除率最低,且隨著反應時間的延長,有機物的去除率波動不大,臭氧單獨降解BTEX的反應中,與催化劑吸附體系相比,有機物的降解效率增強。在臭氧氧化體系中,當反應時間為1~2h時,溶液中有機物的去除率明顯波動,2h后反應中有機物降解效率趨于平穩,這是由于該反應中有機物進行降解的同時還會產生中間產物,如有機酸或醌類物質,說明在1~2h的反應時間內4種有機物可能未被完全礦化。在模擬試驗中,催化臭氧化反應體系的有機物降解效果最好,且在反應1~2h時,雖然有機物未被完全礦化,但其反應效率明顯優于其他反應體系。由此可見,本文所制備的多孔臭氧氧化催化劑在催化臭氧化降解BTEX時具有更好的處理效果,且該反應體系中可協同催化劑的吸附效果和自由基的氧化作用的同時,對目標有機污染物進行去除,從而增強目標有機物的降解效果。
2.2.3 自由基激發情況比對
臭氧氧化降解目標有機物時,主要是通過自由基的強氧化性對目標有機物進行有效去除。因此,臭氧氧化和催化臭氧化反應體系中,自由基的激發強度可有效揭示目標有機物被有效去除的原因。2個反應體系中超氧自由基和羥基自由基的激發強度如圖9、10所示。可以看出,催化臭氧化反應體系中羥基自由基和超氧自由基的激發強度明顯高于臭氧氧化反應體系。


本文制備的催化劑促進催化臭氧化產生自由基的可能產生過程如圖11所示。

在催化臭氧化過程中,最優反應條件可激發催化劑活性,使原本處于催化從屬位置的OH-通過高度分散在載體上的過渡金屬氧化物及其多價氧化物發生遷移,電子的轉移促使羥基自由基產生,從而有效催化臭氧間接氧化能力。本文制備的催化劑中含有Al、Fe、Mn、Cu氧化物,使催化反應過程中的金屬氧化物價態之間相互變化,轉移的電子促進臭氧分子分解產生更多的自由基,這可能是催化臭氧化產生的自由基高于傳統臭氧氧化的原因。當催化臭氧化降解BTEX時,目標有機污染物通過臭氧分子直接氧化或被催化劑表面吸附后,臭氧分子分解產生活性較高的氧原子和存在于液相的OH-,金屬氧化物通過電子的轉移以及催化劑表面活性位點形成中間產物HO-2,該陰離子與臭氧分子發生反應,生成O-3自由基,最后該自由基轉化為氧氣分子和羥基自由基。通過該反應路徑,目標有機物BTEX吸附于催化劑表面和反應溶液中的羥基自由基以及臭氧分子作用而被有效去除。因此,本文的催化臭氧化技術是以羥基自由基為主導,超氧自由基、催化劑吸附為協同作用以實現目標有機污染物BTEX的高效去除。
3、結論
1)本文制備的多孔臭氧催化劑是含有Al2O3、SiO2等的混合物,其中MnO2主要與Fe2O3、膨潤土生成富鐵錳硅灰石,CuO和其他物質形成氧化物,該臭氧催化劑為含有沸石結構的化合物,為其具有更大的比表面積提供了依據。
2)催化臭氧化降解BTEX時,催化劑投加量越多,處理效果越好,24h流化床動態試驗表明,催化臭氧化對目標有機污染物具有穩定且高效的去除效果,去除率可達99.1%。
3)由于催化劑中金屬元素可增強電子轉移,促使自由基產生,因此催化臭氧化體系中自由基的激發強度明顯高于臭氧氧化體系,自由基的增加是催化臭氧化高效去除BTEX的根本原因。(來源:大唐環境產業集團股份有限公司,中國礦業大學(北京)化學與環境工程學院)



