焦化廢水處理一直是國內外污水處理領域的一大難題。廢水中污染物組成復雜,含有揮發酚、多環芳烴和氧硫氮等雜環化合物,屬較難生化降解的高濃度有機工業廢水。目前最常用的方法是焦化廢水經隔油池、二級氣浮池除油后進行傳統的生化處理,深度處理后回用或排放,已達不到日益嚴格的環保要求。
Fenton流化床是高級氧化法在焦化廢水深度處理中一種有效可行的方法。
1、焦化廢水特點
焦化廢水成分復雜處理難度大,經生化處理降低焦化廢水COD、氨氮等污染物指標的含量,經二級處理后色度、COD等很難達標。采用新型的Fenton流化床進一步降低污染物指標。
2、反應機理
Fenton流化床是傳統的Fenton利用Fe2+在亞穩態區域容易發生異相成核作用的特性,在流化床中把傳統的Fenton反應體系內引入填料,使得Fe3+在填料顆粒表面結晶。填料表面羥基鐵的氧化物會溶出參于Fenton反應,,同時殘余的過氧化氫通過回流繼續參與反應,減少Fe2+和H2O2投入量。結合了同相化學氧化、異相化學氧化、流化結晶、還原溶解等相結合的方式利用流化床提高反應效率,結合傳統的fenton法,將三價鐵離子結晶,還原及沉淀等功能與一體的技術。運用在焦化廢水處理中可有效提高COD、色度及其他污染物的去除率提升。
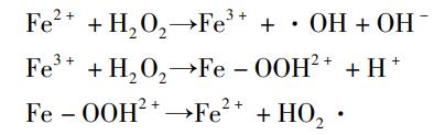
(1)氧化過程


(2)處理流程如(圖1)

3、案例
江蘇某焦化廠利用一期產能80萬t/a搗固焦為例。蒸氨廢水600m3/d,COD4000mg/L左右。經預處理+生化二級處理后出水(COD約260~350mg/L),按«鋼鐵工業水污染物排放標準»GB13456-92(COD150mg/L以下),需深度處理。深度處理采用Fenton流化床。按業主要求深度處理后出水,送熄焦后仍需COD150mg/L以下。(1)調試完成后,Fenton后出水COD約130mg/L,送熄焦池。熄焦池保持一定水位,熄焦后消耗的的水,用Fenton深度處理后的水將熄焦池補回原水位。每熄一次焦,補一次水,再次熄焦。
第1次測試,結果(如圖2)

(2)調整Fenton藥劑投加量配比,深度處理后出水COD約105mg/L。
經2次測試,結果(如圖3)

符合相關標準及業主要求(COD150mg/L以下)。
廢水中COD去除率55%~65%優于傳統芬頓方法(40%),藥劑費用也可節約1/3以上。
芬頓流化床是一種經濟高效的水處理高級氧化技術,具有較好的應用潛力。
4、Fenton流化床的影響因素
進水SSpH、上升流速、加藥量、藥品品質、停留時間等因素。
水中SS高,藥品中雜質多,導致藥品投加量增大,投加亞鐵泵經常堵塞,反應器中亞鐵量偏小,而雙氧水則是連續投加Fe2+偏小H2O2偏高的結果,過量的雙氧水會抑制OH的,同時在堿性、溫度適宜的條件下分解生成H2O和O2,進而造成污泥氣浮ꎻ然后殘留的H2O2也會造成出水COD值比實際COD值偏高以及后續散氣設施泡沫量大。配置硫酸亞鐵溶液的勞動強度大,儲藥箱的容積偏小,硫酸亞鐵在配置過程中也會出現配置濃度偏低的現象。pH要3~4時產生羥基自由基。水的停留時間最好不要低于30min。
5、總結
綜上,Fenton流化床在焦化廢水深度處理中的結果,芬頓流化床是一種經濟高效的水處理高級氧化技術,具有較好的應用潛力。
其所體現的現象及其功能等具備所應有的能力,應受到廣大的關注和推廣。因此對于當前對環境保護的要求越來越高,為了保護我們賴以生存的環境,保護我們的水環境,必須嚴格把控好工藝中反應的細節,確保工藝應用中的效果,保障水處理工藝的應用與推廣。(來源:徐州博邦環保科技有限公司)


