穩定的亞硝化技術是短程脫氮工藝的關鍵.將短程硝化與污泥顆粒化技術結合, 培養具有亞硝化性能的顆粒污泥(PNG)是實現高效、穩定亞硝酸鹽累積的可行方法, 并可作為全自養型脫氮工藝的重要步驟.PNG上富集有大量慢速生長的自養硝化微生物, 因而具有較異養AGS更好的密實度和沉降性能.陰方芳等將SBR中培養成熟的亞硝化顆粒污泥接種到連續流完全混合式反應器(CSTR)中, 可以在無機條件下實現極高的氨氮去除效能, 氨氮去除率穩定在80%左右, 亞硝積累率穩定在84%左右.
對于CSTR而言, 水力停留時間(HRT)影響污泥截留性能和顆粒結構, 成為反應器效能調控重要的運行參數[5, 6].在傳統活性污泥法中, HRT直接決定了微生物與污染物的接觸反應時間, 過短的HRT易導致出水水質下降和污泥流失率增大.好氧顆粒污泥(AGS)由于具有良好的沉降性能, 能夠在更短的HRT條件下實現穩定運行, 較短的HRT為AGS提供充足的水力選擇壓, 有助于促進胞外聚合物(EPS)分泌, 改善顆粒形態結構.
目前, 關于CSTR中HRT對好氧顆粒污泥的影響多是結合基質負荷變化進行的, 將HRT作為單一因素考察對PNG性能和功能微生物影響鮮見報道.本研究在保持進水氨氮負荷不變的前提下, 較系統地考察HRT對CSRT中顆粒形態結構、氮轉化性能、微生物活性和群落結構的影響.
1 材料與方法 1.1 實驗裝置及運行條件
本實驗所用裝置為合建式連續流CSTR反應器, 如圖 1所示, 由有機玻璃制成, 分曝氣區和沉淀區兩部分, 有效容積分別為1.7 L和0.6 L.曝氣區底部裝有曝氣裝置, 控制曝氣量為0.6 L·min-1(表面上升流速0.156 cm·s-1), 為污泥系統提供溶解氧和剪切力.反應器置于恒溫水浴箱中, 溫度控制在28℃左右.
圖 1 實驗裝置及工藝流程示意
1.2 接種污泥及實驗用水
接種污泥取自本實驗室SBR中成熟的亞硝化顆粒污泥, 亞硝酸鹽累積率在80% ~85%.初始MLSS和SVI分別約為4.8 g·L-1和35 mL·g-1.
本研究所用模擬污水組成如下:125~500 mg·L-1NH4Cl(以N計), 18 mg·L-1 K2HPO4, 49 mg·L-1 MgSO4, 60 mg·L-1 CaCl2, 1.5 mg·L-1 FeCl3·6H2 O, 1 mL·L-1的微量元素, 微量元素配方見文獻.通過向進水中投加NaHCO3, 維持反應器中pH在7.8~8.0.控制反應器進水氨氮負荷穩定在3.0 kg·(m3·d)-1, 運行工況分為3個階段, 反應器具體運行參數如表 1所示.
表 1 反應器運行工況和參數
1.3 分析測試方法
NH4+-N、NO2--N、NO3--N、TN和MLSS/MLVSS等水質指標分別按文獻[15]中規定的納氏試劑比色法、N-(1-萘基)-乙二胺光度法、紫外分光光度法、過硫酸鉀氧化法、重量法等進行測定.pH由PB-10型pH計(Sartorius公司)測定, 溫度和DO采用H1946N型溶解氧測定儀(WTW公司)進行測定.
采用甲醛-NaOH法進行顆粒污泥EPS的提取, 并使用苯酚-硫酸法、改進的Lowry法分別測定蛋白質(PN)和聚多糖(PS)組分的含量.顆粒污泥沉降速率采用清水靜沉法測定.
采用篩分法測算顆粒污泥的粒徑分布.定期從反應器中取出部分污泥樣品, 經0.9% NaCl溶液反復清洗后, 依次通過孔徑為2.5、1.6、1.25、0.8和0.3 mm的分樣篩, 稱量各篩網截留的污泥質量.根據樣品總質量, 計算各粒徑區間所占比例和顆粒平均粒徑.
1.4 功能菌動力學活性
當反應器出水水質達到穩定狀態, 通過批次實驗測定顆粒污泥的基質比降解速率和產物比累積速率, 以表征不同功能菌的動力學活性.具體方法為:取濕重為2 g的顆粒污泥, 經0.9% NaCl溶液反復清洗后, 置于250 mL燒杯中, 注入200 mL基質溶液, 曝氣反應2 h.控制初始NH4+-N濃度為150 mg·L-1, 其他組分與反應器進水相同, pH=8.0, 水溫為28℃, DO濃度在2~4 mg·L-1.期間, 定期取樣測定水質指標, 并計算以下比速率值.
NH4+-N比降解速率,mg·(g·h)-1:
NO2--N比累積速率, mg·(g·h)-1:
NO3--N比累積速率, mg·(g·h)-1:
![]()
式中, Δc(NH4+-N)、Δc(NO2--N)和Δc(NO3--N)分別指反應時間Δt內, 上清液中NH4+-N、NO2--N和NO3--N的濃度變化, mg·L-1;MLVSS為揮發性懸浮固體濃度, g·L-1;Δt為各參數值呈線性變化的時間段, h.
1.5 微生物高通量測序分析
在HRT穩定運行條件下反應器中多點采樣混合后作為污泥樣品, 采用FastPrep DNA提取試劑盒抽提基因組DNA.用16S rRNA基因引物338F(ACTCCTACGGGAGGCAGCAG)和806R(GGACTA CHVGGGTWTCTAAT)對細菌16S rRNA基因進行PCR擴增.使用AxyPrepDNA凝膠回收試劑盒(AXYGEN公司)切膠回收PCR產物, 由上海美吉生物醫藥科技有限公司完成對PCR擴增產物的高通量測序.
2 結果與討論 2.1 顆粒污泥的理化特征變化
隨著HRT的逐漸縮短, 亞硝化顆粒污泥粒徑分布變化如圖 2所示.當HRT=4 h時, 粒徑1.6~2.5 mm和>2.5 mm的大顆粒分別占到了約40%和35%, 污泥平均粒徑為1.8 mm.縮短反應器HRT會使得大顆粒污泥逐漸減少, 粒徑在0.3~0.8 mm的顆粒快速增多.當HRT=1 h時, 粒徑在0.3~0.8 mm的顆粒占據主導地位, 約占50%, 粒徑>1.6 mm和 < 0.3 mm的顆粒分別占到36%和5%以下, 污泥平均粒徑穩定在1.3 mm.該結果表明, 縮短HRT, 增大水力沖刷強度, 提升了選擇壓, 可顯著改變CSTR中顆粒污泥的粒徑分布, 并使顆粒形態更加均勻和密實.
圖 2 不同的HRT條件下CSTR中污泥粒徑分布
從圖 3可知, 縮短HRT, 反應器出水SS總體呈下降趨勢.反應器中污泥濃度從5.2 g·L-1持續增加, 運行至第90 d, MLSS高達15g·L-1左右, 比啟動初期提高了近2倍.HRT從4 h減小到1 h, 進水氨氮容積負荷始終維持在3.0kg·(m3·d)-1不變, 污泥MLSS增幅加大, 進一步證實了顆粒污泥可顯著提升反應器污泥的生物截留能力, 由于污泥密實度高、沉降速率快, 縮短水力停留時間, 并未出現污泥流失.有研究表明, 隨著HRT減小, 容積負荷逐漸增加使得微生物具有較高的生長速率, MLSS顯著增加.Beun等提出較短的HRT有利于顆粒污泥的形成, SBR反應器HRT為8 h運行10周, 顆粒污泥的MLSS從1.2 g·L-1增加到1.3 g·L-1, 縮短HRT到6.75 h運行8周, 顆粒污泥的MLSS從1.3 g·L-1增加到2.7 g·L-1.Liu等維持進水氨氮容積負荷在8.0kg·(m3·d)-1, 考察HRT單一因素對污泥顆粒化過程的影響, 運行14 d, HRT為4 h的反應器, MLSS從2 g·L-1增加到3.6 g·L-1, 較短的HRT有利于污泥增殖.Rosman等和Pan等均證實了較短的HRT條件下形成的顆粒污泥結構密實, 形狀規則, 具有較好的沉降性能.本研究自養亞硝化顆粒污泥中AOB、NOB屬于慢速生長微生物, 較短的HRT, 提高了水力選擇壓, 有利于微生物增殖, 且使污泥顆粒粒徑分布更加均勻.
圖 3 反應器運行過程中出水SS的變化
EPS對顆粒污泥的形成和穩定性具有顯著影響, 微生物細胞產生EPS, 形成交聯的網絡, 并進一步加強顆粒的完整性使得顆粒結構更加密實.本研究發現(圖 4), 縮短HRT, EPS總量逐漸升高, 蛋白質和多糖都有所提高, 蛋白質的增幅略高于多糖, 符合成熟亞硝化顆粒污泥典型的EPS分布特征.EPS中的蛋白質比多糖具有更豐富的靜電鍵與金屬架橋, 有利于污泥結構的穩定.胞外蛋白質富含各類降解酶, 包埋于EPS中的微生物可降解特定污染物.較短的HRT, 提高顆粒污泥水力剪切力, 促使微生物分泌更多的胞外聚合物(EPS), 有利于提升微生物活性和顆粒物穩定性.這一現象可進一步解釋在低HRT條件下, 反應器具有良好微生物截留性能, 較高的污泥增殖速率的原因.
圖 4 不同HRT條件下EPS的變化關系
2.2 HRT對氮轉化效能的影響
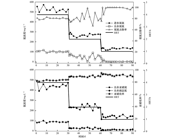
HRT不斷縮短過程中, 亞硝化顆粒污泥反應器的整體運行狀況如圖 5所示.隨著HRT降低, 氨氮去除率呈階梯式增長最終穩定在99%左右.其中HRT為2 h時, 氨氮去除率出現較為明顯的波動, 出水亞硝酸鹽濃度略有波動.HRT對微生物群落結構和反應器性能會產生影響.縮短HRT, 促進污泥增殖, 使顆粒污泥粒徑分布更加均勻.對于連續流反應器, HRT是重要參數, 過高的HRT會導致反應器處理效率降低, 而縮短HRT, 易加劇污泥流失.本研究在HRT為1 h的條件下, 系統仍具有較高的脫氮性能, 這與顆粒污泥良好的沉降性能密不可分.
圖 5 亞硝化顆粒污泥反應器運行氮的轉化規律
有研究發現, 隨著HRT降低, 反應器的硝化性能下降, 而本研究整個運行過程中亞硝酸鹽累積率始終保持在85%以上(圖 5), 隨著HRT不斷下降, 氨氮去除率逐步增長, 出水硝態氮濃度逐漸降低至10 mg·L-1左右.本研究控制氮容積負荷不變, 進水氨氮濃度隨著HRT縮短而下降(表 1), 污泥氮負荷進一步下降.系統中微生物處于低負荷運行, 污泥活性增強, 氮去除效率提高.通過逐漸縮短HRT的方式, 降低污泥沉降時間, 將沉降性能較差的絮狀污泥逐漸從反應器內淘洗出去, 污泥齡(SRT)縮短, 起到淘洗NOB的作用。本研究縮短HRT成為有效抑制NOB、維持顆粒污泥穩定亞硝化性能的有效因素.筆者認為可能存在以下3個原因:①研究所用接種污泥具有良好的亞硝化效果, 保證了反應器中較高的AOB和較低的NOB數量;②在自適應條件下, 縮短HRT增加了水力選擇壓, 顆粒污泥粒徑分布集中于0.3~0.8 mm, 有利于優化基質和DO的傳質條件, 提高AOB的活性, 抑制NOB;③由于顆粒污泥中不同功能微生物呈層狀分布, AOB通常分布在顆粒的外層, 有利于獲得更好的基質和生長條件, 相對于NOB, 更易在顆粒化污泥中成為優勢種群.
2.3 HRT對功能微生物動力學活性的影響
HRT對CSTR中亞硝化顆粒污泥的粒徑分布產生了較大影響, HRT為1 h, 反應器中污泥粒徑集中于0.3 mm~0.8 mm.顆粒污泥粒徑的差異, 將直接影響反應器性能.
本研究對不同HRT穩定運行條件下, 粒徑小于0.8 mm和大于0.8 mm的兩大類污泥中功能微生物AOB和NOB的活性進行分析, 氨氮比降解速率μ(NH4+-N)、亞硝酸鹽比生成速率μ(NO2--N)和硝酸鹽比生成速率μ(NO3--N)測定結果見表 2.
表 2 不同HRT條件下CSTR中大小顆粒污泥功能微生物活性對比
結果發現, 粒徑 < 0.8 mm的顆粒污泥, 氨氮比降解速率和亞硝酸鹽比生成速率、硝酸鹽比生成速率均高于粒徑>0.8 mm的顆粒污泥, 說明粒徑較小顆粒污泥中AOB和NOB均具有更高的活性.因此, 在HRT縮短過程中, 0.3~0.8 mm的顆粒比例逐漸提升, 反應器亞硝化性能也得以提升.不同粒徑污泥中功能微生物的活性受HRT的影響完全不同.粒徑>0.8 mm的顆粒污泥, 縮短HRT, AOB和NOB功能微生物的活性都逐漸提升;與之相反, 粒徑 < 0.8 mm的顆粒污泥, 縮短HRT, AOB和NOB功能微生物的活性都有所下降.在本研究中, 兩種效果疊加, 縮短HRT, NOB在競爭基質和DO時處于劣勢, 硝酸鹽比生成速率總體下降, 證實了較低的HRT對NOB有較好的抑制作用, 這一結果與運行數據HRT縮短, 硝酸鹽生成量減少的情況吻合.
粒徑相對較小顆粒污泥, 既具有顆粒污泥沉降性能好、生物富集度高的優勢, 又具有相對較大的比表面積, 有利于富集在顆粒污泥表面的優勢微生物生長代謝.在實際工程運用中, 可根據主導顆粒污泥粒徑分布調控合理的HRT, 提高系統效能.
2.4 高通量測序結果分析
圖 6為CSTR系統在HRT為4 h和1 h穩定運行條件下, 污泥測序在門水平下微生物群落多樣性分析結果, 主要包括變形菌門(Proteobacteria)、擬桿菌門(Bacteroidetes)、綠菌門(Chlorobi)、綠彎菌門(Chloroflexi)、浮霉菌門(Planctomycets).涉及到脫氮功能微生物的變形菌門占絕對優勢, 超80%.HRT從4 h縮短至1 h, 變形菌門比例略有升高.系統中出現厭氧氨氧化菌所在的浮霉菌門, HRT縮短后, 這類微生物的比例略有下降.
圖 6 不同HRT時CSTR中微生物群落組成(門)相對豐度
為了進一步闡明HRT對CSRT污泥微生物種群變化影響, 對屬水平樣品功能微生物和優勢微生物菌群進行分析.如圖 7所示, 亞硝化單胞菌屬(Nitrosomomas)在CSTR污泥微生物群落中占絕對優勢.亞硝化單胞菌屬(Nitrosomomas)是典型的AOB, 在本系統污泥中富集度高達56%以上.短程硝化技術實現的關鍵在于亞硝酸鹽的積累, 也就是通過富集污泥中的AOB, 并控制AOB和NOB的數量與活性平衡, 在硝化過程中實現亞硝酸鹽的穩定積累.高通量微生物測序結果表明, 優勢微生物Nitrosomomos的高度富集度, 也進一步解釋系統具有良好的氨氧化性能和亞硝酸鹽積累率.縮短HRT, Nitrosomomos豐度提高3%左右, 與系統脫氮性能提升結果吻合.盡管維持容積負荷不變, HRT從4 h到1 h, AOB絕對優勢不變, 微生物門類一致, 但微生物種類和豐度發生變化, 有利于顆粒污泥中微生物的自平衡, 提升污泥自適應性能.
圖 7 不同HRT時CSTR中微生物群落組成(屬)相對豐度
3 結論
(1) HRT從4 h縮短至1 h, CSTR中顆粒污泥粒徑分布發生顯著變化.隨著HRT縮短, 粒徑 < 0.3 mm和粒徑>1.6 mm顆粒的質量分數分別由17%和75%逐漸下降至5%和36%, HRT為1 h時, 粒徑為0.3~0.8 mm顆粒占比約達50%.
(2) 縮短HRT, CSRT中亞硝化顆粒污泥性能穩定, 亞硝酸鹽累積率穩定在85%以上, HRT縮短至1 h, 氨氮的去除率提高到99%.整個運行過程中, 顆粒結構更加密實, 無顆粒解體現象, MLSS由5.2g·L-1上升至15g·L-1.
(3) 粒徑 < 0.8 mm的顆粒, 氨氮比降解速率和亞硝酸鹽比生成速率、硝酸鹽比生成速率均高于粒徑>0.8 mm的顆粒污泥.縮短HRT有利于大顆粒功能微生物活性提升, 在較長的HRT條件下, 粒徑 < 0.8 mm的顆粒污泥活性更高.
(4) 系統中變形菌門(Proteobacteria)占絕對優勢, 亞硝化單胞菌屬(Nitrosomomas)為代表的AOB在系統污泥中富集度高達56%以上, 縮短HRT有利于AOB的富集.(來源:環境科學 作者:王建芳)












