近年來,我國城市生活污水的排放量在以6% 的年增速不斷上升。這部分污水未達標排放到河流湖泊等水體中,易造成水體富營養化等水污染現象。目前,以活性污泥工藝為核心的主流工藝如A/O、
A2/O、普通曝氣法等存在著工藝占地面積大、脫氮除磷能力有限、HRT 較長等問題。城市生活污水處理廠亟需提標改造來適應當下的水污染防治趨勢。因此,研發出占地面積小、脫氮除磷效果好、短程且出水水質穩定的城市生活污水處理新工藝成為一個迫切需求。
好氧顆粒污泥(aerobic granular sludge, AGS)技術是近年來興起的新型污水生物處理技術。其具有傳統活性污泥處理工藝無法比擬的優點,如污泥沉降性能好、微生物種群多樣化、抗沖擊負荷強、同步脫氮除磷等。膜生物反應器(membrane bioreactor,MBR)是將膜分離技術與生化處理技術相結合的一種新型污水處理技術,具有出水水質良好、占地面積小等優點。將好氧顆粒污泥技術與膜分離技術結合,一方面省去了二沉池的構建,另一方面可以同時發揮二者的優勢,又能夠彌補好氧顆粒污泥技術出水SS 含量較高、水質波動較大的缺點。序批式反應器(sequencing batch reactor,SBR)獨特的運行方式和良好的水力條件易于形成好氧顆粒污泥[6-8]。因此,本研究選用SBR 對AGS 進行培養,并開發了一
套AGS-MBR 組合工藝,以期為組合工藝的實際應用提供理論依據。
1 材料與方法
1.1 實驗裝置
AGS-MBR 組合工藝處理城市生活污水的實驗流程如圖1 所示。將原水通過蠕動泵抽吸進入2 個相同規格和操作條件的SBR(反應器R1、反應器R2)。在進水—曝氣—靜置—排水的循環模式下,在2 個SBR(R1/R2)內利用好氧顆粒污泥去除進水中大部分的污染物。R1 和R2 出水流入一個快速沉淀池,快速沉淀池的上清液進入MBR,進一步去除污水中的污染物,從而得到水質穩定的出水,膜出水即為 AGS-MBR 組合工藝的出水。
SBR(見圖 1)為有機玻璃制成,有效容積為 2.826 L、內徑為 6 cm、有效高度為 100 cm、總高度為 120 cm。出水口和進水口分別在距底部 50 cm 和 100 cm 處。SBR 底部設置沙芯曝氣石,空氣流速為
3 cm · s-1。運行過程中HRT 為6 h。
快速沉淀池(見圖1)為有機玻璃制成,總容積為2.88 L(長18 cm,寬8 cm,總高度20 cm),接納的水為前置的2 個SBR(R1 和R2)周期出水。快速沉淀池的上清液出水進入配水槽。
MBR 采用一體式MBR(見圖1),總容積為2.88 L(長18 cm,寬8 cm,總高度20 cm),進水為快速沉淀池的上清液出水,從高位配水槽進入MBR。膜組件的出水即為AGS-MBR 組合工藝的出水。膜組件選用聚偏氟乙烯(PVDF)中空纖維膜。膜孔徑為0.1 μm,膜面積為0.1 m2,膜通量為12 L · (m2 · h)-1。

1.2 實驗原料
圖1 實驗裝置示意圖
實驗原水由20% 的實際生活污水和80% 的人工配水組成,原水水質COD 300~400 mg · L-1,NH+4-N 18~24 mg · L-1,TN 25~35 mg · L-1,TP 3~4 mg · L-1。
1.3 實驗方法
SBR 運行參數如表1 所示,前期實驗已經在啟動期(第Ⅰ階段和第Ⅱ階段),通過逐漸增加有機負荷和縮短沉降時間形成雙重選擇壓,在SBR 內40 d 快速培養出成熟的好氧顆粒污泥粒,徑達2 mm、呈淺黃色、球形輪廓清晰、比重為1.013 7 g · cm-3、含水率為96.5%、沉降速率為11.7~32.56 m · h-1、比耗氧速率SOUR(以DO 計)為46.5 mg∙(g∙h)-1(以MLSS 計)、具有較好的沉降性能和微生物代謝活性。成功完成了AGS-MBR 組合工藝的啟動。

組合工藝進入穩定運行期(第Ⅲ階段),為了獲得更好的除污效果,本實驗重點優化SBR 單元和MBR 單元的運行參數。快速沉淀池的運行周期參數如表2 所示。MBR 的微濾中空纖維膜組件采用抽吸 8 min,停止2 min 的間歇運行模式;HRT 為3 h、氣水比為30∶1、污泥齡為20 d;AGS-MBR 組合工藝處理水量為22.4 L · d-1。
1.1 分析方法
COD、 NH+ - N、 TN、 NO- - N、 NO- - N、 TP、PO34 --P 按照文獻中的方法進行。
根據膜過濾Darcy 定律,膜污染程度可用膜污染阻力來表征,根據式(1)及式(2)對污染膜組件 進水
的各項污染阻力進行計算。

式中:J 為膜通量,L · (m2 · h)-1;Rt為膜過濾總阻力,m-1;ΔP 為TMP,即跨膜壓差,kPa;µ 為濾液的黏度,Pa · s。
![]()

式中:Rt 為膜過濾總阻力,m-1;Rm 為新膜的固有阻力,m-1;Rf 為膜污染阻力,為 Rrf 與 Rirf 之和,m-1;
Rrf為可逆污染阻力,也稱濾餅層阻力,m-1;Rirf為不可逆污染阻力,也稱內部污染阻力,m-1。
2 結果與討論
2.1 SBR 內空氣流速的優化
空氣流速的大小直接影響SBR 內的DO 濃度高低和剪切力大小,進而影響AGS 對污水的處理效果。在穩定運行期間,SBR 運行周期為180 min,其中進水8 min、曝氣159 min、沉淀5 min、排水 8 min。通過調節曝氣量來控制空氣流速的大小,分別調節為 0.5、1、1.5、2、2.5、3 cm · s-1,研究
SBR 典型周期內主要污染物濃度變化規律,并監測不同空氣流速下連續8 個周期的SBR 出水中SS 變化。
2.1.1 典型周期內DO 的周期性變化
不同空氣流速下,典型周期內SBR 內泥水混合液DO 的變化見圖2。空氣流速為1~3 cm · s-1 時,第
21 分鐘開始曝氣,由于供氧充分,第0~21 分鐘內消耗的DO 很容易就得到恢復,且DO 的恢復率逐漸上升,最后分別穩定在3.3、4.13、5.33、7.23、8.77 mg · L-1。其中,在1 cm · s-1 的空氣流速下,DO 到曝氣開始后的100 min 左右才恢復,并穩定在3.3 mg · L-1 左右;而在空氣流速為3 cm · s-1 時,DO 值在曝氣后的30 min 內迅速上升至平臺值;當空氣流速為0.5 cm · s-1 時,SBR 單元內好氧顆粒污泥的泥水混合效果較差,導致DO 分布不均勻,整個典型周期內DO 在2 mg · L-1 上下波動。
2.1.2 典型周期內COD 和PO34 --P 的去除效果
如圖3 和圖4 所示,空氣流速為3~0.5 cm · s-1,COD 的降解速率逐漸下降,周期結束時COD 的出

水濃度差別不大。這說明空氣流速對COD 的去除影響較小。各空氣流速下典型周期內的PO34 --P 的變化規律是一樣的,主要是好氧段(21~180 min)的吸磷和厭氧/缺氧段(0~21 min)的釋磷。由圖 4 可以看出,在第21 分鐘曝氣開始后,出現了輕微的PO34 --P 濃度上升的現象。這是由于好氧顆粒污泥存在一定的粒徑,氧氣在好氧顆粒污泥的外部迅速被消耗,顆粒內部聚磷菌的好氧吸磷進程緩慢,繼續發生厭氧釋磷造成的。隨著空氣流速的升高,曝氣初的厭氧釋磷時間越來越短。而且,空氣流速為3 cm · s-1 時,曝氣開始時幾乎沒有出現釋磷的現象。空氣流速為2 cm · s-1 時,好氧顆粒污泥吸磷的速率較穩定,最終的出水PO43 --P 為0.44 mg · L-1;空氣流速為3 cm · s-1 時,曝氣開始40 min 內吸磷速率較慢。這是由于聚磷菌與硝化菌之間存在著對氧氣的競爭;并且在高DO 的情況下,聚磷菌顯然不能成為優勢菌種,最終出水PO34 --P 為0.51 mg · L-1。空氣流速為2 cm · s-1 時比較符合對磷的去除要求。
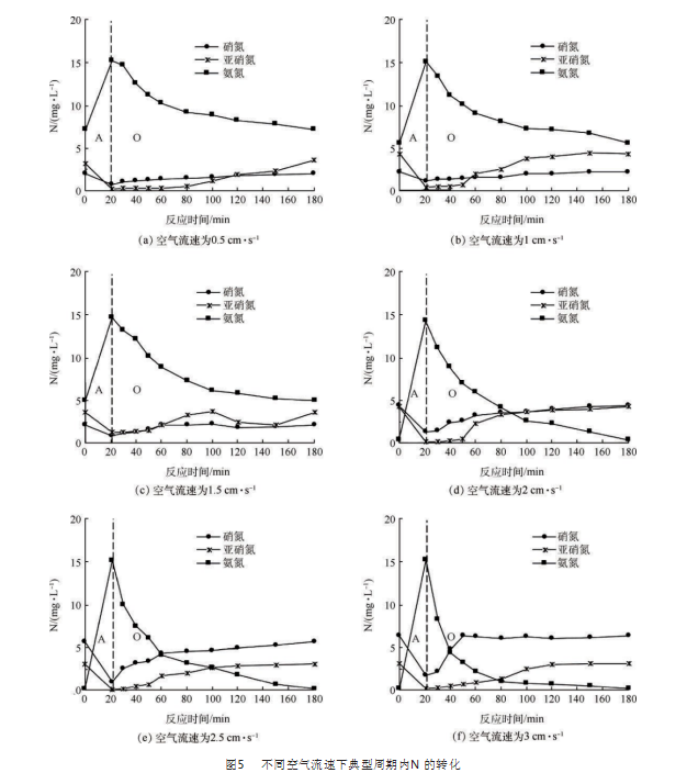
2.1.1 典型周期內N 的轉化
由圖5 可以看出,NH4+-N 濃度在曝氣開始后的9 min 內均出現下降,但SBR 內的NO-x-N 的濃度并沒有出現明顯的上升,這可能是由于好氧顆粒污泥的吸附作用引起的氨氮濃度下降;此后,隨著物質與
DO 在好氧顆粒污泥內部的傳輸,逐漸有其他形態的NO-x-N 生成。
硝化速率隨空氣流速的減小而減小。至空氣流速為0.5 cm · s-1,在周期結束后,最終基質溶液中殘留的NH+4-N 濃度為7.2 mg · L-1;空氣流速大于2 cm · s-1 時,周期內NH+4-N 均被降解完全,出水NH+4-N

濃度均小于0.5 mg · L-1。不同空氣流速下,最終出水的N 形態存在著較大的差別。空氣流速越小,顆粒外部好氧區硝化作用受DO 限制,出水主要以NH4+-N 和NO-2-N 為主;空氣流速越大,O2 滲入顆粒的深度越深,好氧顆粒污泥好氧區的硝化作用不受DO 的限制,但好氧顆粒污泥缺氧區的同步反硝化作用受到限制,出水以NO-3-N 為主。空氣流速為3 cm · s-1 時,生成的NO-3-N 含量最高,為6.4 mg · L-1;由圖6 可以看出,空氣流速為2 cm · s-1 時,出水TN 的濃度最低為8.91 mg · L-1。其中,NO-2-N 和NO-3-N 含量分別為4.2 mg · L-1和4.39 mg · L-1;NH+4-N 含量為0.32 mg · L-1,較符合對氮的去除要求。
2.1.1 不同空氣流速下出水SS 含量變化
圖7 為不同空氣流速下,連續8 個典型周期的出水中SS的含量變化。可以看出,出水SS 隨著空氣流速的減小呈現上升趨勢。空氣流速為 0.5 cm · s-1 時, 出水 SS 在 150~ 200 mg · L-1 之間劇烈波動。這可能因為在SBR 內形成的剪切力小;另一方面DO 不足,易造成AGS 的顆粒結構解體。出水SS 增加,長期運行可能會造成SBR 內污泥濃度急劇下降;而隨著空氣流速增大,出水SS 濃度逐漸降低,且穩定性有所提高;至空氣流速為3 cm · s-1 時,出水SS 最低,平均濃度為46.6 mg · L-1,但曝氣產生的運行成本較高。
2.2 MBR 內HRT 對出水效果的影響
研究表明, HRT 影響微生物的生長、生物膜的厚度、水體和微生物之間的傳質,與MBR 的處理能力和膜污染的發生有著密切的聯系,直接影響到運行的能耗大小。在穩定運行期間,每個HRT 研究20 d,考察其對MBR 單元的出水水質和膜污染的影響。不同HRT 對應的MBR 有機容積負荷如表3 所示。
2.2.1 出水效果
不同HRT 下主要污染物的去除情況如圖 8 所示。HRT對TN、TP 的去除影響較大;對COD、NH+4-N 的去除效果的影響不明顯。其中,MBR進水NH+4-N 濃度已經低于1 mg · L-1。不同HRT 下,出水NH+4-N 濃度變化較小,且遠低于一級A標準值。出水COD 濃度隨HRT 的增加而增加,HRT 為 2 h時,對COD 和TN 的去除效果最好,出水COD 和TN 的平均濃度分別為18.2 mg · L-1 和7.63 mg · L-1。出水TP 隨著HRT的增加,總體呈現增加的趨勢,HRT 大于 3 h 后,由于進水中有機物濃度較低,污泥活性較差,導致污泥加速老化,
出水TP 均在0.5 mg · L-1 以上,超過一級A 的標準要求。

圖6 不同空氣流速下典型周期內SBR出水中的N 形態

圖7 不同空氣流速下典型周期出水SS 變化

2.2.1
TMP 的變化
長期運行中,TMP 的變化可以在一定程度上反映出膜污染情況。在本實驗研究中,TMP 大于 30 kPa,即對膜組件進行清洗。對運行20 d 過程中不同HRT 下TMP 的變化進行分析; 并在運行至第 20 天時, 取出MBR 內的膜組件,進行膜阻力分布研究,以進一步探討膜污染情況。
不同HRT 下,TMP 的變化如圖9 所示。實驗初期,HRT 為2、3、4、6 h 下初始的TMP 均為0 kPa;且可以看出,HRT 越大,TMP 開始增加的時間越往后;運行至第 6 天,HRT 為 6 h 的TMP 才出現從 0 kPa 開始上升的趨勢;運行至第 20 天,HRT 為 2、3、4、6 h 下對應的膜組件TMP 分別增長至 40、
23.5、19 和15 kPa。由圖10 可知,運行20 d 時不同HRT 下膜阻力類型分布情況。可以看出,HRT 為2 h時,總阻力Rt為10.69×105 m-1,其中不可逆阻力Rirf為5.4×105 m-1,占Rt的50.5%,膜污染最為嚴重。綜合考慮膜污染可能產生的經濟成本,在有較好去除效果的前提下,HRT 為3 h 可作為MBR 運行的最佳水力停留時間。

圖8 不同HRT 下主要污染物的去除
2.3 MBR 內氣水比的優化
曝氣主要有2 個作用:第一為MBR 內污泥混合液提供攪拌;第二可提供和維持MBR 內的DO 濃度,直接影響反應器的脫氮除磷效果。在AGS-MBR 系統穩定運行期間, 考察氣水比分別為 10∶1、15∶1、
20∶1、25∶1、30∶1、35∶1 條件下的MBR 的出水情況,每個氣水比下研究8 d。圖11 為6 個氣水比梯度下的出水COD、TN、NH+4-N、TP 的出水效果。可以看出,不同的氣水比下,COD 的出水濃度變化較大;而 NH+4-N 濃度變化十分不明顯。這可能是由于進水中的 NH+4-N 也很低引起的現象;且MBR 內的曝氣提供了遠高于使這些NH4+-N 發生硝化反應所需要的氧。其中氣水比為20∶1時,出水COD平均濃度為21.7 mg · L-1,COD 去除效果最好。出水TP 濃度隨著氣水比的上升逐漸下降,波動也更小;氣水比為 10∶1 時,MBR 內泥水混合液的混合不均勻, 出水 TP 濃度在 0.52~0.65 mg · L-1 之間;氣水比大于20∶1 時,出水TP 均低于
0.5 mg · L-1;TP 的出水濃度在氣水比為25∶1 時達到最低,為 0.39 mg · L-1,且出水TN 濃度較低;隨著氣水比再升高,純好氧模式的運行下,MBR 對TP 的去除效果很難有進一步的提升。因此,選擇25∶1 為
MBR 的最佳氣水比運行參數值。

圖9 不同HRT 下TMP

圖10 不同HRT 下膜阻力的分布

圖11 不同氣水比下COD、NH+4-N、TN、TP 的出水變化
2.4 穩定運行條件下對主要污染物的去除效能調整SBR 空氣流速為 2 cm · s-1、MBR 的HRT 為2 h、MBR 內氣水比為 25∶1, 其他運行參數不變。
調整參數后的SBR 和MBR 對進水中主要污染物的去除情況分別見圖12 和圖13。穩定運行60 d,工藝出水主要指標濃度均在一級A 標準要求濃度以下,且水質波動小。MBR 出水COD、NH+4-N、TN、TP 的平均濃度分別為21.2、0.08、7.8、0.4 mg · L-1;工藝對進水的COD、NH+4-N、TN、TP 的平均去除率為
95.2%、99.8%、79.8%、87.1%。其中, SBR 對 COD、氨氮、TN、TP 的平均去除率分別達 90.3%、

98.7%、63.2%、81.4%。
3 結論
圖13 MBR 出水主要污染物的變化
1) 在有較好的污染去除效果的前提下,綜合考慮曝氣產生的能耗及膜污染可能增加的運行成本問題,SBR 空氣流速為2 cm · s-1、MBR 氣水比為25∶1、MBR 的HRT 為3 h,為AGS-MBR 組合工藝優化后的運行參數值。
2) 穩定運行期間,AGS-MBR 工藝對進水的COD、NH+4-N、TN、TP 的平均去除率為95.2%、99.8%、
79.8%、87.1%;出水COD、NH+4 -N、TN、TP 的平均濃度分別為 21.2、0.08、7.8、0.4;出水C、N、P指標均達到一級A 標準要求。(來源:環境工程學報)


