1 引言
人工濕地(Constructed Wetlend)是20世紀70年代發展起來的一種污水處理技術,它是通過基質-土壤-微生物的綜合作用實現對污染物去除,其中微生物是對污染物進行吸附和降解的主要生物群體和承擔者,微生物在濕地基質中與其他動物和植物共生體的相互關系往往起著核心作用.由于其具有良好的污染物去除效果,可觀的經濟效益和廣泛的適用性,已經引起世界各國研究者的重視.
人工濕地中微生物的作用是凈化污水的最主要因素.微生物廣泛存在于自然生態系統中,根據其生長溫度特性可分為:低溫微生物、中溫微生物和高溫微生物3類.低溫微生物是指在極端低溫環境下能夠生長的微生物,它們具有獨特的生理機制和特殊的代謝產物,主要分為嗜冷菌(Psychrophilies)和耐冷菌(Psychrotrophs)兩類.前者是必須生活在低溫條件下,即在0 ℃下生長繁殖,最適溫度不超過15 ℃,最高溫度不超過20 ℃的微生物,后者是能在低溫條件下生長,在0~5 ℃下可生長繁殖,最高生長溫度可達20 ℃的微生物.在寒冷的冬季這些低溫微生物在人工濕地生態系統中起著非常重要的作用,為人工濕地污水處理提供了嶄新的應用前景.
國外對低溫微生物處理污水技術的研究起步較早,我國從20世紀90年代初開始針對低溫微生物資源(主要是南極及深海微生物)的初步收集、調查與研究工作.目前對低溫微生物的研究與開發較少,力量還比較薄弱,其研究也沒有達到一定的深度,有關人工濕地低溫菌的研究更少.本實驗研究了低溫菌Pseudomonas flava WD-3在冬季接種到人工濕地后對污水的處理效果,并構建污水處理動力學模型,其成果必將為解決寒冷地區冬季人工濕地的污水處理提供理論基礎和技術支持,對于解決我國日益嚴重的水污染和缺水的問題有著十分重要的意義.
2 材料與方法
2.1 Pseudomonas flava WD-3 的富集培養、分離、篩選和鑒定
2.1.1 菌株的富集培養與分離
將從人工濕地中采集的泥樣(溫度10 ℃)放入4 ℃培養箱中培養馴化,然后取1 g泥樣接入三角瓶中振蕩培養,使微生物快速生長,達到富集的作用.選取原濃度10-4~10-6倍的培養液各1 mL,接種于培養基平板上(設置3個平行),放入8 ℃培養箱中培養并記錄各平板菌株生長狀況.從中篩選出長勢較好的菌株,然后反復分離純化獲得單菌落,將單菌落接種到試管斜面培養基上,于4 ℃冰箱內保存.
2.1.2 菌株的篩選
將分離出的單菌落富集培養,接種于模擬污水中,曝氣后靜置培養,定期測量廢水中COD、總磷和氨氮的含量,計算出各菌株對其去除率,篩選出去除效率最好的菌株E進行進一步的研究實驗.
2.1.3 菌株的鑒定
將篩選出的菌株E進行形態觀察,生理生化試驗及16S rDNA序列分析.
2.1.4 菌株E對廢水的去除
按照探究出的最適生長條件,對菌株E再次進行模擬廢水去除實驗,測量計算出其對COD、總磷和氨氮的去除效率,與實驗初期的去除效率比較,得出更加全面的實驗結論.
2.2 復合垂直流構建濕地結構
實驗構建濕地采用復合垂直流結構設計,底部相通,污水由下行池表面均勻投配,垂直下行,經連通層到達上行池,再垂直上行,通過收集管排出.其中下行流池長150 cm,寬100 cm,深65 cm,上行流池長120 cm,寬100 cm,深55 cm,卵石層深20 cm,水力停留時間:10 d;投配負荷:2~20 cm · d-1;有機負荷:15~20 kg · hm-2 · d-1.濕地基質選用了不同粒徑的礫石和砂土特別組配而成,濕地結構如圖 1所示,其中圖中箭頭表示污水流動方向.

圖 1 復合垂直流構建濕地系統結構示意圖
系統所選植物為除污能力強的常見濕地植物美人蕉(Canna generalis)和菖蒲(Acorus calamus),在2012年4月份種植于人工濕地反應器中,種植密度為8株 · m-2,濕地植物生長狀況良好,已完全遮蓋基質表面,根系發達,至實驗時為止,該系統已穩定運行半年時間.系統進水參數見表 1.
表1 人工濕地系統進水參數

2.3 低溫菌Pseudomonas flava WD-3在人工濕地中的廢水處理效果
人工濕地系統穩定運行半年后,于2013年1月中旬(水溫的變化范圍為6~8 ℃.)開始投入低溫菌Pseudomonas flava WD-3,接種量V(菌液)/V(污水)為1.5%~10%,菌懸液的濃度為4.575×108 個 · mL-1,以未接菌的人工濕地為對照組.追蹤測定氨氮、COD、亞硝酸鹽氮、硝酸鹽氮和總磷的變化情況,并構建低溫菌廢水處理的動力學模型.
2.4 水質指標的測定
氨氮的測定采用納氏試劑分光光度法,亞硝酸鹽氮的測定采用N-(1-萘基)-乙二胺分光光度法,硝酸鹽氮的測定采用酚二磺酸分光光度法,總磷的測定采用鉬酸銨分光光度法,CODCr的測定采用重鉻酸鉀氧化法,各指標測定的具體操作步驟詳見《水和廢水監測分析方法》(第4版).
3 結果與討論
3.1 Pseudomonas flava WD-3 的鑒定結果與模擬廢水處理效果
在8 ℃下培養菌株E表現為濕潤、邊緣整齊、半透明的圓形乳白色菌落,革蘭氏染色試驗菌株E呈陰性,顯微鏡下觀察為桿狀,葡萄糖氧化發酵試驗產酸不產氣;蔗糖氧化發酵試驗產酸不產氣;檸檬酸鹽試驗陽性;明膠水解試驗陽性;氧化酶試驗陽性;淀粉水解試驗陰性;甲基紅(MR)試驗陽性;過氧化氫酶試驗陽性;產H2S試驗陽性;吲哚試驗陽性.經鑒定菌株E的16S rDNA特異序列為1424 bp,對該序列進行BLAST檢索,應用Clustal W和PHYLIP軟件分析并構建了進化樹,見圖 2.從分析結果可知,菌株E與假單胞菌同源性高達100%.因此結合該菌株的形態特征及生理生化反應特性,可初步鑒定菌株E為黃假單胞菌(Pseudomonas flava),命名為Pseudomonas flava WD-3.

圖 2 菌株E的系統進化樹
該菌株對模擬廢水中COD、總磷、氨氮的降解率分別為62.92%、56.42%、50.63%,且對廢水的降解性能穩定.
3.2 不同接種量情況下污水處理效果
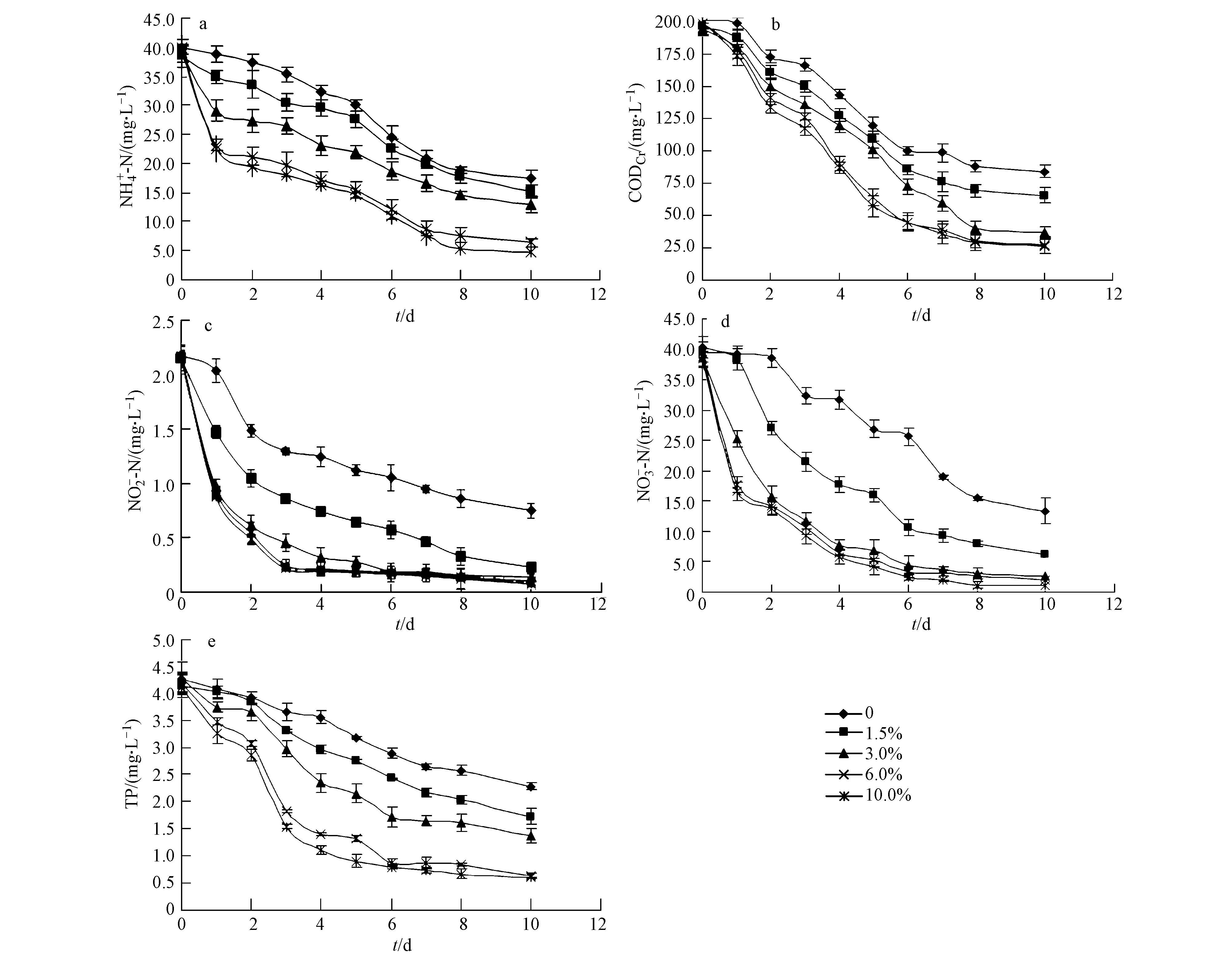
在水力停留時間10 d內,水溫為6~8 ℃時,不同接種量對復合垂直流濕地中污水的氨氮、CODCr、亞硝酸鹽氮、硝酸鹽氮和總磷去除效果如圖 3.
從圖 3可以看出,在1.5%~10.0%的接種量情況下,隨著低溫菌投加量的增加,濕地系統污水中的NH+4-N、CODCr、NO-2-N、NO-3-N、TP的去除效率也隨之增大.當投加量由1.5%增至6.0%時,濕地系統各項污水指標的去除效果增幅明顯,但是從6.0%至10.0%時,各項污水指標的處理效果增幅并不明顯.當菌液投加量為10.0%時,雖然各項污水指標去除效果最好,但投入過大,從運行成本方面考慮宜選用6.0%為最佳菌液投加量.

圖 3 濕地系統中NH+4-N、CODCr、NO-2-N、NO-3-N、TP濃度隨時間的變化(見圖a、b、c、d、e)
從圖 4可以看出,當實驗菌液投加量為6.0%,水力停留時間10 d內,水溫為6~8 ℃的條件下,隨著時間的延長,Pseudomonas flava WD-3對水質各項指標的去除率逐漸增加,最終對NH+4-N的去除率可達83.57%,對COD的去除率可達86.31%,對NO-2-N的去除率可達95.07%,對NO-3-N的去除率可達94.74%,對TP的去除率可達84.76%,且各去除效率分別為未投加該菌的1.49、1.48、1.45、1.41、1.83倍.同時,該試驗結果表明,在人工濕地中Pseudomonas flava WD-3對污水NH+4-N、COD、TP的去除效果有明顯的提高,分別是實驗室模擬廢水處理效果的1.65、1.37、1.50倍,且去除性能穩定.其原因可能是:人工濕地是由基質、微生物、植物和動物所組成的復合生態系統,對污水起著物理、化學和生物綜合凈化功能.首先,人工濕地中的基質(土壤、沙礫等)對污水中的污染物質存在沉淀、吸附和簡單的機械截留等作用;第二,人工濕地系統中的植物對污水中污染物具有吸收和代謝的作用;第三,人為投加的Pseudomonas flava WD-3和人工濕地中土著微生物通過同化和異化作用對污水中的有機物質、氮和磷達到去除的目的.

圖 4 NH+4-N、CODCr、NO-2-N、NO-3-N、TP的去除率隨時間的變化
3.3 污水處理動力學方程
動力學研究可以優化生化處理的工藝條件及調控方式,并通過建立降解動力學模型,模擬最適當的工藝流程和工藝參數,預測微生物降解廢水的趨勢.濕地設計通常采用的是一級動力學模型,其基本設計方程被澳大利亞、歐洲、美國廣泛應用于濕地的設計和對濕地的污染物去除效果的預測.雖然有局限性,但由于其參數的求解及計算過程都很簡單,因此,目前仍把它作為描述濕地中污染物去除過程的最合適的方程.
用于濕地的一級動力學方程,主要考慮處理負荷與處理效率之間的關系,模型的推導以基質的降解服從一級反應動力學為基礎.污染物在人工濕地中的降解去除一級動力學模式為:
式(1)~(2)中,kv為污染物體積去除速率常數(d-1);Ci為進水濃度(mg · L-1);C0為出水濃度(mg · L-1);t : 水力停留時間(d).
根據以上動力模型,將不同投菌量時濕地系統出水中各污染物濃度記作C0(水力停留時間10 d內),濕地系統進水濃度計作Ci,用 C0/Ci為縱坐標(無量綱污染物濃度),以時間為橫坐標,繪制NH+4-N、COD、NO-2-N、NO-3-N和TP的時間變化曲線,如圖 5所示.同時,將各投菌量在水力停留時間第10 d時的NH+4-N、COD、NO-2-N、NO-3-N和TP的測定結果代入式(2),計算出 kv如表 2所示.
通過對不同投菌量時人工濕地中各污染物的變化規律進行分析后可以看出,Pseudomonas flava WD-3在人工濕地中對污水中各污染物去除動力學符合一級動力學模型.

圖 5 1.5%(a)、3.0%(b)、6.0%(c)和10.0%(d)投菌量時污染物濃度隨時間的變化特點
表2 人工濕地中污染物的去除一級動力學速率常數kv

體積去除速率常數kv的大小代表著污染物降解速率的大小,在水力停留時間10 d內,Pseudomonas flava WD-3對各污染物有著較大的降解速率,且隨著投菌量的增加,其對各污染物的降解速率也隨著增加,各kv的R2分別達0.96、0.81、0.74、0.88和0.88.具體參見污水寶商城資料或http://www.bnynw.com更多相關技術文檔。
4 結論
1)Pseudomonas flava WD-3對冬季人工濕地的污水具有良好的凈化效果,綜合運行成本方面考慮宜選用6.0%為最佳菌液投加量.
2)在最佳投加量的情況下,Pseudomonas flava WD-3對污水中NH+4-N、COD、NO-2-N、NO-3-N、TP的去除效率分別是未投加低溫的1.49、1.48、1.45、1.41、1.83倍,且去除性能穩定.
3)Pseudomonas flava WD-3對污水各污染物的降解過程符合一級反應動力學模型.


