1 引言
隨著城市污水處理廠數量的增加和處理效率的不斷提高,污水廠污泥產量也隨之迅猛增長.截止到2010年底,全國城鎮污水處理廠數量達2496座,建成投運的城鎮污水處理廠日處理能力已達1.25億m3,含水率為80%的濕污泥產量超過2000萬t,其中,60%是典型生物工藝處理后的有機污泥.厭氧消化可有效減少污泥體積、降低含水率、消滅病菌,同時產生可利用生物質氣體,滿足減量化、無害化和資源化的污泥處理處置原則.厭氧消化時,污泥在微生物作用下主要經歷水解、產酸、產甲烷3個階段.傳統的厭氧消化存在消化速率低、停留時間長、處理效率低等特點(王治軍等,2005),因為水解階段是厭氧消化過程的速度控制步驟,污泥大部分的有機物存在于微生物細胞內,微生物半剛性細胞壁的保護作用使得其他微生物所分泌的水解酶對這部分有機物進行水解的速率低,而厭氧消化的第一步水解階段的緩慢進行影響了整個厭氧消化進程.因此,要對污泥進行強化預處理以破除污泥細胞壁的保護,釋放其中的有機物,進而可達到提高污泥厭氧消化速度及性能的目的.
未經任何預處理的污泥厭氧消化的生物降解率低,且對病原微生物的滅活作用不明顯.熱解可有效提高污泥的厭氧消化性能和微生物降解率.其中,高溫(130~210 ℃)、短時(15~60 min)預處理是一種常用的預處理方法,對污泥破壞程度大,但高溫作業缺點甚多,如能耗大、對設備要求高、操作運行危險等;低溫(50~100 ℃)熱解也是一種提升產氣及有機物降解性能的有效方式.低溫處理對污泥的破壞程度雖不如高溫處理,但有研究人員采用長時間(3~10 h)的處理也能達到不錯的破胞效果,而長時間的預處理同樣會大大增加污泥熱解裝置體積,使能耗劇增.權衡利弊,在實際工程中,低溫短時水熱預處理將更適合推廣,因此,該預處理方式對厭氧消化性能的提高更值得深入研究.
基于此,本文以低溫短時水熱預處理后的城市污水處理廠初沉污泥和混合污泥(剩余污泥+初沉污泥)為研究對象,在實驗室進行高溫厭氧消化試驗研究.通過對不同類型的污泥在相同預處理(90 ℃、30 min)及高溫厭氧消化((55±1)℃,HRT=20 d)條件下的研究,分析低溫短時水熱預處理污泥的高溫厭氧消化的產氣狀況、有機物分解率及其穩定性等特性.
2 材料與方法
2.1 污泥
接種污泥取自西安市鄧家村污水處理廠厭氧消化后的污泥均質池,其pH為7.1,總固體(TS)為29.3 g · L-1,揮發性固體(VS)為12.6 g · L-1.原始污泥取自西安市第四污水處理廠初沉池(作為試驗用初沉污泥)和二沉池(剩余污泥),試驗用的混合污泥由初沉污泥與剩余污泥經沉降24 h后按體積比1∶1混合獲得.
根據前期對低溫短時水熱預處理條件的研究結果,當90 ℃、處理時間達到30 min后,細胞破裂比例大幅提高,SCOD/TCOD和產氣量也顯著增加,因此,選擇90 ℃、30 min為污泥低溫短時水熱預處理條件.混合污泥和初沉污泥經低溫短時水熱預處理后,加水稀釋到總固體TS為35 g · L-1左右作為高溫厭氧消化試驗用泥(基質),于4 ℃冰箱保存待用.原始污泥與基質特性如表 1所示.
表 1 原始污泥與基質特性
2.2 試驗裝置
污泥厭氧消化采用完全混合式反應器(Completely Stirred Tank Reactors,CSTRs),試驗裝置如圖 1所示.反應器總容積為5 L,有效容積為4 L.進泥的投加與消化液的排出由時間控制器控制投料-排液蠕動泵(BT100-2J,保定蘭格)完成,每天進泥排泥各1次,每次200 mL;循環加熱裝置控制消化罐內溫度為(55±1)℃,循環加熱裝置為外循環溫控水浴加熱,采用冷卻泵外循環保持進泥槽溫度為4 ℃,進泥槽和各消化罐采用機械攪拌方式進行連續攪拌.產氣量經氣液分離裝置后用濕式氣體流量計測定.
圖 1 試驗裝置示意圖
兩種不同類型的污泥分別在兩個相同的反應器內進行,R1為混合污泥,R2為初沉污泥.反應器啟動成功后分別進行HRT=20 d的高溫((55±1)℃)厭氧消化試驗.
2.3 測試項目與分析方法
pH采用雷磁PHs-3C pH計測定;TS、VS、SS、VSS采用稱重法測定;碳水化合物采用苯酚-硫酸比 色法測定,以葡萄糖為標準樣品(Sponza,2002);蛋白質采用Folin-酚法,以牛血清蛋白為標準蛋白(Sawasaki et al., 2002);VFA采用氣相色譜法(BEIFEN Corp.3420A)測定,FID檢測器、BB-WAX123-7033毛細柱(30 m×0.25 mm×0.15 mm),進樣口溫度150 ℃,柱箱溫度230 ℃,檢測器溫度250 ℃;氣體組分(H2、N2、CH4、CO2)采用氣相色譜法(BEIFEN Corp.3420A)測定,TCD檢測器、TDX-01填充柱,進樣口溫度130 ℃,柱箱溫度140 ℃,檢測器溫度150 ℃;H2S采用美國PE600氣相色譜儀測定,FPD檢測器、PoraPakQ填充柱,柱箱溫度120 ℃,檢測器溫度350 ℃;氣量由濕式氣體流量計(LML-2)測定;其他指標測定參考《水和廢水監測分析方法(第4版)》(國家環境保護局,2002).
3 結果
3.1 反應器運行
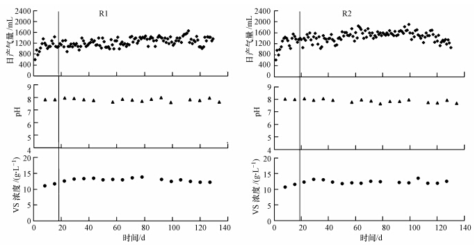
試驗是利用已經運行穩定的高溫厭氧消化反應器開展的,直接投加預處理后的基質,每日進、排泥各一次(200 mL),保持反應器在HRT=20 d條件下運行.18 d后日產氣量達到穩定狀態,系統啟動成功,系統運行穩定狀態達120 d以上.圖 2所示為反應器運行階段的日產氣量、消化液pH及VS情況,可看出R1和R2兩個反應器的日產氣量均在穩定范圍內波動,pH穩定在7.6~8.0之間,消化液VS也較穩定,說明反應器已處于穩定運行狀態.
圖 2 R1、R2運行階段的日產氣量、pH及VS變化
表 2為穩定狀態下各反應器的產氣狀況.從表 2可明顯看出,在HRT=20 d的條件下,不管是日產氣量、產氣速率,還是投加單位質量VS的產氣量,初沉污泥(R2)的數值均高于混合污泥(R1),這與污泥類型有較大關系.R2為未經降解的初沉污泥,其中含有大量的易被微生物利用的有機物,而R1中有一半的污泥是經過生物降解的剩余污泥,因此,R2的VS投加產氣量要高于R1.各反應器的CH4含量均在70%左右,H2S含量則在0.003%~0.025%之間.
表 2 不同基質的產氣狀況
3.2 消化液特性
消化液的pH、堿度、氨氮及VFA濃度是表征厭氧反應器是否穩定運行的重要指標.厭氧微生物可在pH=4.0~8.5內發揮作用(Hwang et al., 2004),由于試驗系統具有一定的緩沖能力,當反應器運行出現較大波動時,pH有時也只會出現較小范圍的波動(Bprönsson et al., 2000).在測定pH的同時,結合堿度、氨氮、VFA等則可較準確地判斷出反應器的運行狀況,同時,消化液VFA濃度越低則說明其生物降解進行的越徹底.表 3和表 4所列數據為反應器運行穩定后R1、R2消化液的各種指標及去除率情況.
表 3 R1、R2的消化液特性
表 4 R1、R2的消化液降解情況
從表 3可以看出,各反應器pH均在7.8左右.厭氧消化過程中,NH+4-N濃度和堿度過高會對厭氧微生物產生抑制作),高溫消化時NH+4-N濃度超過2000 mg · L-1會導致VFA積累和產甲烷活性降).本試驗過程中NH+4-N濃度均維持在1000 mg · L-1以下,即在反應器運行過程中沒有發生NH+4-N抑制.研究表明,消化液堿度(以CaCO3計)在1000~5000 mg · L-1之間時厭氧反應可以穩定進),R1、R2消化液堿度在3400~3650 mg · L-1之間,說明反應器在穩定范圍內運行.
厭氧消化的主要目的是降低污泥的有機物含量,穩定污泥的同時獲得資源性氣體.混合和初沉污泥經低溫短時水熱預處理再高溫厭氧消化后主要有機物的去除率見表 4.從表中數據可看出,R2的有機物去除率普遍高于R1.與同類研究對比,嚴媛媛等(2012)用VS/TS小于0.5的混合污泥經100 ℃、30 min預處理再高溫消化后的VS去除率為34%,董濱等(2013)通過對VS/TS=0.54的剩余污泥經90 ℃、20 min預處理后,發現VS去除率為33%,本試驗中混合污泥的VS去除率為38.9%.針對初沉污泥,本試驗VS去除率為45.8%,與王素春(2013)所研究的未經任何預處理的初沉污泥經同條件的高溫厭氧消化后的結果相比要高出18.5%,說明低溫短時水熱預處理可有效提高污泥的高溫厭氧消化性能.
3.3 VFA特性
消化液測定的揮發性脂肪酸為C2~C6,包括乙酸、丙酸、異丁酸、正丁酸、異戊酸、正戊酸、異己酸.表 5為各基質與消化液VFA各組分濃度情況.由表可知,消化過程中消耗了大部分的VFA,消化液中VFA濃度均小于300 mg · L-1,說明基質消化較徹底(朱明權等,1997).進泥組分的VFA濃度大小為C2>C3>C4>C5>C6,且異酸鹽濃度大于正酸鹽.該結果與韓蕓等(2007)和Wang 等(1999)的報道相符.
表 5 消化液中VFA濃度
4 討論
4.1 國內外污泥泥質及消化效果比較
污泥中有機物含量的多少是影響污泥厭氧消化工藝的直接因素之一.不同地區由于氣候、環境、生活習慣不同使得不同城市的污水和污泥性質會有較大差異,尤其是其有機物含量.表 6列出了國內外一些污水處理廠的污泥泥質(VS/TS)及經預處理消化后VS的去除率情況.從表 6可以看出,研究者采用的熱解預處理條件不同,預處理溫度在70~170 ℃內變化,時間在20 min~9 h范圍內變化.一般來說,溫度越低所需預處理時間越長,低溫處理數小時可達到高溫短時預處理的效果,100 ℃以上的預處理效果明顯,但屬于高溫高壓操作,處理成本增大,對設備的要求提高.與國外相比較,國內污泥的VS/TS比值較低(普遍低于60%),無機物含量高,可生物降解的有機物含量則相對較少,這可能是造成國內厭氧消化產氣量低、有機物去除率低的主要原因之一.
表 6 部分國內外污泥熱解預處理研究結果
4.2 COD物料平衡
COD的物料平衡計算可以了解厭氧污泥反應器內的固態、溶解態(溶解性蛋白質、碳水化合物、VFA等有機物)、氣態(CH4)之間的轉化關系,其表述污泥減量化效果更直觀.為進行準確分析,將原始污泥(預處理前)、基質(預處理后)及消化液中有機物的存在形式分為固態、溶解態和氣態3大類進行污泥厭氧消化物料平衡計算,均以COD來計.以投入量為100%算,按照公式(1)~(7)的計算方法得出R1和R2的COD物料平衡關系(表 7).
表 7所示為R1、R2的COD物料平衡關系,各消化液COD的回收率在100%左右,誤差小于10%.預處理可明顯增加污泥中溶解態有機物含量,R1和R2分別比原始污泥增加了4.1和2.1倍.預處理和高溫厭氧消化過程均可大大降低污泥中的固態物質含量,R1和R2中的固態物質分別由原始污泥的96.6%和94.6%降到55.4%和46.3%;消化液中溶解態物質分別為7.6%和6.5%;投入COD的甲烷轉化率為39.0%和40.3%.原始污泥中固態物質實現不同程度的轉化,達到了污泥減量化目的.具體參見污水寶商城資料或http://www.bnynw.com更多相關技術文檔。
5 結論
將混合污泥與初沉污泥分別經低溫短時(90 ℃、30 min)水熱預處理后作為基質,TS維持在35 g · L-1左右,進行高溫((55±1)℃)厭氧消化研究,得出以下結論:
1)預處理后的混合污泥與初沉污泥經HRT=20 d的高溫厭氧消化后,其產氣速率分別是(312.0±37.5)mL · L-1 · d-1和(365.0±30.0)mL · L-1 · d-1; 投加單位VS的產氣量分別為(343.00±9.86)mL · g-1和(365.00±7.61)mL · g-1,VS去除率分別為38.9%和45.8%.與國外數據相比,導致我國污泥厭氧消化降解效率較低的原因與污泥泥質中有機物含量少(VS/TS比值低)有關.
2)COD物料平衡計算結果表明,R1和R2進泥中有33.6%和43.9%的固體有機物被分解轉化,可以達到污泥減量化目的;兩個反應器所產生物氣中CH4含量均達70%左右.
3)初沉污泥(R2)的有機物去除率總體上高于混合污泥(R1),初沉污泥的TCOD去除率高出混合污泥21%,VS去除率高出混合污泥15%.


