A2O 工藝具有同時去除有機物、氮和磷,且總水力停留時間(hydraulic retention time,HRT) 短、易操作控制、處理水量大、運行費用較低等優點,是中國污水處理最簡單的同時脫氮并除磷的工藝之一.但該工藝也存在著缺點,在同一反應系統中同時存在聚磷菌和硝化細菌,由于聚磷菌和硝化細菌對污泥齡要求不一樣,這將引起2 種細菌對污泥齡要求的矛盾[1-3].針對A2O 工藝存在的缺陷,提出了A2OBAF聯合工藝,該聯合工藝中A2O 系統主要完成的是有機物的去除、除磷、反硝化,而將曝氣生物濾池(biological aerobic filter,BAF) 置于二沉池之后,主要目的是完成硝化,BAF 的部分出水回流到A2O系統的缺氧段為反硝化作用和缺氧吸磷作用提供相應的電子受體.該雙污泥工藝解決了傳統A2O 工藝硝化菌與聚磷菌泥齡矛盾,且最大程度地發揮了活性污泥與生物膜這2 種處理技術的優勢.因硝化作用在BAF 中進行,使得回流污泥中不含或含有少量的硝態氮,從而進一步解決了在厭氧區反硝化菌與聚磷菌對碳源的爭奪[4-7].
反硝化除磷菌可在缺氧的環境下,利用硝態氮或亞硝態氮為電子受體氧化體內貯存的PHA,從環境中攝磷達到脫氮和除磷的雙重目的.該A2O-BAF工藝在處理低碳氮比生活污水時存在反硝化除磷現象,而反硝化除磷可節省約50% 化學需氧量(chemical oxygen demand,COD) 和30% 氧的消耗量,相應減少剩余污泥量50%[8-9],緩解了反硝化菌與聚磷菌對碳源的爭奪,彌補了碳源缺乏的不足.
本試驗在A2O 工藝和BAF 工藝基礎上,重點研究了2 種工藝聯合后A2O 中厭氧段、缺氧段和好氧段的最佳容積比,同時考察了處理低碳氮比生活污水時硝化液回流比對反硝化除磷特性的影響,從而為實現已建污水處理廠的改造、優化與升級,以及污水的深度脫氮除磷提供了有效的理論依據.
1 材料與方法
1. 1 試驗裝置和運行參數
A2O-BAF 聯合工藝系統包括6 個部分,分別為進水水箱、A2O 反應池、二沉池、中間水箱、BAF 反應池和出水水箱,如圖1 所示.其中,A2O 系統由9個格室構成,總有效容積是30 L.A2O 的進水量為129. 6 L /d,相應的HRT 為5. 6 h,混合液污泥(mixedliquid suspended,MLSS) 質量濃度為2 500mg/L 左右,污泥齡(sludge retention time,SRT) 為9 d,硝化液回流200%,污泥回流100%,其中,污泥取自北京市某污水處理廠的A2O 中試系統,二沉池有效容積21 L.BAF 空塔容積15 L,實際HRT 為30 min.硝酸鹽回流量、污泥回流量、進水量和旁流流量均由蠕動泵控制,BAF 填料為陶粒.
圖1 A2O-BAF 聯合工藝系統流程
Fig.1 Schematic diagram of the A2O-BAF system
1. 2 試驗用水和測試方法
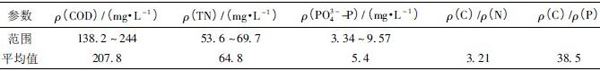
試驗用水取自某學校生活區所排放的生活污水,水質情況如表1 所示.進水的ρ(C) /ρ(N) 僅為3. 21,屬于典型的低碳氮比生活污水.
COD 采用COD 快速測定儀測定; NH4+-N 采用納氏試劑光度法測定; NO2--N 采用N-(1-萘基) -乙二胺光度法測定; NO 3--N采用麝香草酚分光光度法測定; ρ(MLSS) 采用濾紙稱重法測量; T、pH 和溶解氧(dissolved oxygen,DO) 采用WTW inolab level 2 在線監測儀測量.
表1 試驗用水水質
Table 1 Characteristics of influent wastewater
A2O-BAF 聯合工藝穩定運行后,對A2O 系統中的反硝化除磷菌(DPAOs) 占總聚磷菌(PAOs) 的比例進行實驗估計.在A2O 系統的好氧區末端取2 L混合液,用蒸餾水清洗2 遍,加入到容積為2 L的SBR 模擬反應器中,碳源為乙酸鈉,其濃度約為200mg /L.厭氧2 h,反應結束后,污泥再次用蒸餾水清洗2 遍并平均分成2份,1份在ρ(DO) = 2mg/L 的情況下好氧運行2 h,另1份加入50mg/L 的硝態氮缺氧條件下反應2 h,缺氧最大吸磷速率和好氧最大吸磷速率的比值可間接地確定系統中DPAOs 占PAOs 的比例[10-11].
1. 3 試驗方案
階段1: A2O 中厭氧、缺氧和好氧區容積比的確定.
工況Ⅰ: V厭氧∶V缺氧∶V好氧= 1∶2∶6
工況Ⅱ: V厭氧∶V缺氧∶V好氧= 2∶3∶4
工況Ⅲ: V厭氧∶V缺氧∶V好氧= 3∶4∶2
階段2: 在最適宜容積比條件下,確定最佳硝化液回流比分別為100%、200%、250%、300%.
2 試驗結果分析
2. 1 A2O 厭氧、缺氧、好氧容積比的確定
圖2 ~ 4 反映了A2O 系統分別為工況Ⅰ、Ⅱ、Ⅲ時的1 個周期各區COD、NH4+-N、NO 3--N、NO2--N 和TP 質量濃度的變化情況.
COD: A2O 厭氧區、缺氧區、好氧區容積比的變化對COD 去除率的影響效果不明顯; 3 種容積比條件下80%的有機物都在厭氧段被聚磷菌所消耗,合成其體內的PHA,在缺氧區和好氧區COD 只去除了10%左右; 3 種工況COD 的去除率都高達80%以上.
NH4+-N: 為了達到抑制系統中硝化細菌繁殖的目的,一方面減少A2O 系統中好氧區的容積,另一方面減少A2O 系統相應的污泥齡.由于污泥從二沉池回流到厭氧段及BAF 系統的大部分硝化液回流到缺氧段,這樣使得進水的ρ(NH4+-N) 降低,因此在厭氧區和缺氧區ρ(NH4+-N) 的減少主要依靠的是稀釋作用,隨著A2O 系統好氧區容積的縮短,A2O 系統硝化細菌的比例逐漸降低直至淘洗干凈.圖2 ~ 4所示3 種容積比條件下NH4+-N的轉化主要在BAF中進行.NH4+-N的去除率幾乎達到100%,可保證出水ρ(NH4+-N) 為零.
圖2 典型周期各項指標的變化情況
(容積比為1∶2∶6)
Fig.2 Change ratio of each index during a cycle with a volume ratio of 1∶2∶6
圖3 典型周期各項指標的變化情況
(容積比為2∶3∶4)
Fig.3 Change ratio of each index during a cycle with a volume ratio of 2∶3∶4
TP: 3 種容積比條件下ρ(TP) 在缺氧區均有不同程度的降低,這表明在ρ(C) /ρ(N) = 3. 21 的低碳氮比生活污水的長期馴化下,提供給反硝化除磷菌良好的環境,使得其數量不斷增加.其中,工況Ⅲ厭氧區聚磷菌釋磷量達到了51. 3mg/L,同時缺氧區反硝化聚磷菌的吸磷量也達到了45. 9mg/L,好氧區聚磷菌吸磷量僅為4. 45mg/L,由此可見TP的吸收/TP 的釋放達到1. 204.從而可得出,厭氧區水力停留時間越大PAOs釋磷量越充分; 相應缺氧區容積越大,DPAOs 繁殖越快.
圖4 典型周期各項指標的變化情況
(容積比為3∶4∶2)
Fig.4 Change ratio of each index during a cycle with a volume ratio of 3∶4∶2
NO3--N: 由于該聯合工藝的一大特點是硝化作用發生在BAF 中而不是A2O反應器中,因此工藝出水NO3--N主要由2 部分組成,即A2O 反應器缺氧區出水NO3--N和BAF中由NH4+-N轉化的NO3--N,因此想要減少出水ρ(NO3--N) 就可從這2 方面入手.若A2O 反應器中各參數已經確定,進入BAF 中ρ(NH4+-N) 就確定了,因此應減少A2O 反應器出水ρ(NO3--N) .在反硝化除磷系統中,當缺氧區ρ(NO3--N) = 0 時,將會引起缺氧區的厭氧狀態,從而導致磷的二次釋放,但如果系統中存在COD,反硝化菌就會優于聚磷菌利用COD 進行反硝化作用,這樣DPAOs 就無法成為優勢細菌[12],所以要想提高DPAOs 所占的比例就要調整缺氧區進水ρ(NO3--N)和ρ(COD) .
在工況Ⅰ條件下由于缺氧區的容積較短,反硝化除磷現象不明顯,NO3--N在缺氧區減少的量較小; 在工況Ⅱ條件下隨著缺氧區容積的增加,強化了聚磷菌反硝化除磷作用,但缺氧區出水仍含有較多的NO3--N; 在工況Ⅲ條件下由于進入缺氧區可降解的COD 較少,此條件下反硝化除磷效果最好,缺氧出水ρ(NO3--N) 和ρ(TP) 幾乎為零.
NO2--N: NO2--N變化不明顯.由此可見,工況Ⅲ的容積比是最佳A2O-BAF 聯合工藝中A2O 的容積比.
圖5 給出了A2O中各區容積比分別是工況Ⅰ~Ⅲ時缺氧區出水和最終出水ρ(NO3--N) 以及TN 去除率的變化.從圖中可看出工況Ⅰ時,缺氧區出水和最終出水的ρ(NO3--N) 都是最高的.3 種工況下平均最終出水ρ(NO3--N)分別為19. 05、16. 15 和11. 94mg/L,說明A2O 系統各區的比例越大,出水ρ(NO3--N) 越低,主要是由于厭氧區容積越大,聚磷菌的釋磷作用越充分,缺氧區容積越大,反硝化除磷作用越明顯,工況Ⅲ條件下缺氧區出水ρ(NO3--N)幾乎為0,對比上圖TP 的去除主要發生在缺氧區.3種工況下,出水ρ(TN) 的變化量幾乎與缺氧區出水ρ(NO3--N) 的變化量相同.隨著好氧區容積的減少、厭氧區與缺氧區的增加,TN 的去除率也相應增加.
圖5 不同的各區容積比下硝態氮的變化與總氮的去除率
Fig.5 Change of nitrate and the removal rate of total nitrogen under the condition of different volume ratio
2. 2 硝化液回流比對系統脫氮除磷效果的影響
硝化液回流比增大對反硝化除磷有利,因為提高回流比能為反硝化除磷菌提供足夠多電子受體,當其量超過反硝化菌所能承受的范圍時,就能刺激反硝化除磷菌的繁殖.圖6 是維持厭氧區、缺氧區與好氧區的容積比為3∶4∶2,其他的條件不變,改變硝化液回流比為100%、200%、250% 和300% 時總氮與總磷去除率變化情況.從圖中可看出隨著硝化液回流比的增加,總氮和總磷的去除率變化趨勢都是先增大后減小,以250%為轉折點,硝化液回流比為250% 時,總氮和總磷的去除率最高,分別為74. 4%和98. 2%,此時缺氧吸磷率最高.當硝化液回流比小于250%時,總氮和總磷的去除率升高,這是由于提高了缺氧區的ρ(NO 3--N) ,反硝化除磷效率提高,從而脫氮除磷效果也提高.但當硝化液回流比為300%時,總氮和總磷的去除率反而下降,這可能是由于回流比的增大,缺氧區的水力停留時間減少,反硝化除磷效果降低.
圖6 不同硝化液回流比總氮和總磷去除率的變化
Fig.6 Removal radio change of TN and TP at different nitrate recycle radios
不同硝化液回流比條件下缺氧區出水ρ(NO3--N)與缺氧吸磷率的變化情況如圖7 所示,可以看出,當硝化液回流比為250% 時,缺氧吸磷率最大為87. 3%,其缺氧出水ρ(NO3--N) 和ρ(TP) 分別為0. 78 和0. 67mg/L,即缺氧出水的ρ(NO3--N) 和ρ(TP) 都小于1mg/L,此條件下既沒有因為缺氧出水ρ(NO3--N) = 0 而使得缺氧區的厭氧狀態引起“二次釋磷”,同時還能保證最佳的吸磷率.由此可表明A2O-BAF 聯合工藝在處理ρ(C) /ρ(N) = 3. 21的生活污水時,A2O 中各區容積比為3∶4∶2,硝化液回流比為250%的條件下時,出水效果最好.
2. 3 A2O 污泥特性試驗
聚磷菌分為2 類,好氧聚磷菌和反硝化聚磷菌,好氧聚磷菌利用氧或者硝態氮為電子受體,反硝化聚磷菌以硝態氮或亞硝態氮為電子受體[13-14].從圖8 可看出,經過低ρ(C)/ρ(N) 比生活污水幾個污泥齡的馴化,反硝化除磷菌占聚磷菌的比例加大,好氧條件下每g 揮發性懸浮固體微生物1 h 吸磷19. 78 mg,缺氧條件下每g 揮發性懸浮固體微生物1h 釋磷15. 24 mg,即缺氧和好氧最大吸磷率比為0. 771,該工藝為反硝化除磷菌提供良好的繁殖環境,使得絕大多數的聚磷菌具有反硝化除磷的能力.以上結果說明A2O-BAF 聯合工藝在低碳氮比啟動的過程中磷主要是靠反硝化除磷去除,這就節省了好氧區容積,從而削弱了A2O 反應段的硝化作用.
圖7 不同硝化液回流比缺氧區出水硝態氮與缺氧吸磷率的變化
Fig. 7 Change of the anoxic nitrate effluent and anoxic uptake ratio at different nitrate recycle ratios
圖8 厭氧釋磷和好氧、缺氧吸磷試驗
Fig.8 Phosphorus release and uptake under anaerobicanoxic and anaerobic-aerobic conditions
3 結論
1) A2O-BAF 聯合工藝處理ρ(C)/ρ(N) 為3. 21的生活污水,A2O 工藝段各區容積比為3∶4∶2時,系統的脫氮除磷效率最佳,總氮和總磷的去除率分別是67. 4%和98. 6%.
2) 保持A2O 工藝段中各區容積比為3∶4∶2不變,調節硝化液回流比其值為250% 時系統的脫氮除磷最佳,絕大多數的聚磷菌具有反硝化除磷的能力,并保證缺氧區出水ρ(NO3--N)和ρ(TP) 幾乎為0,實現了碳源的最佳分配和利用.具體參見http://www.bnynw.com更多相關技術文檔。
3) 提高厭氧區的容積,聚磷菌的釋磷量增加;提高缺氧區的容積,反硝化除磷比例增大.通過減少好氧段的容積可實現以上2方面,該工藝用于處理碳氮比低的生活污水,可最大效率地發揮系統的反硝化除磷作用.


