相比傳統的絮體污泥工藝,好氧顆粒污泥(AGS)工藝具有生物量高、污泥沉降性好、抗沖擊能力強、剩余污泥產量少等特點,同時具有同步脫氮除磷功能,是非常有潛力的生物處理工藝。截至目前,雖然荷蘭代爾夫特理工大學與DHV公司推出Nereda工藝,全球已有30多座運行或在建污水廠使用該工藝,但是AGS的快速培養和穩定維持還存在很多問題,如系統穩定性等。有學者研究指出,隨著顆粒污泥粒徑的不斷增大,顆粒污泥由表面向內部的傳質阻力增加,使污泥內部厭氧酸化水解,從而導致顆粒污泥解體,系統運行失敗,出水水質不達標。然而,如何控制顆粒污泥的粒徑在一定范圍內,以增加顆粒污泥的穩定性,卻鮮有報道。水力旋流器具有固液分離功能,顆粒污泥粒徑越小、質量越輕,在旋流器內所占據的平衡軌道半徑也就越小,越不易于運動到旋流器的邊壁而得到有效分離。水力學和剪切力是促進污泥顆粒化的重要影響因素。筆者以城市污水為處理對象,以旋流器分選污泥為種泥,利用序批式反應器(SBR)和旋流器耦合,快速實現同步脫氮除磷AGS的培養和穩定維持,同時對其形態粒徑進行表征,對旋流器分離效能和水質參數進行分析。
1、材料與方法
1.1 實驗裝置
實驗裝置采用圓柱形SBR和旋流器,SBR內徑為28cm,有效高度為32cm,有效容積約為20L(見圖1)。SBR底部進水、中部出水,容積交換率為60%,底部設置微孔曝氣管,采用空氣泵曝氣,通過流量計控制曝氣量。進水、攪拌、曝氣、沉淀、排水、閑置等工序根據實驗需要設定,并通過時間控制器和電動閥實現自動控制。顆粒穩定后,SBR單周期循環時間為280min,其中進水12min、攪拌60min、曝氣攪拌180min、沉淀3min、排水14min、閑置11min。實驗期間反應器在(25±2)℃室溫下運行,pH控制在7.0~8.0。

AGS系統由SBR與旋流器組成,顆粒污泥和絮體污泥從SBR底部連接口經隔膜泵進入水力旋流器(見圖2),受到旋流作用,顆粒污泥經底流口排出到顆粒污泥儲存箱,絮體污泥和少量顆粒污泥經溢流口排出到絮體污泥儲存箱,實現顆粒和絮體的一次分離,絮體污泥儲存箱中的顆粒污泥和絮體污泥經隔膜泵輸送至SBR,進行二次分離,底流口顆粒污泥存入顆粒污泥儲存箱,溢流口絮體污泥直接排出整個系統,最終實現顆粒污泥和絮體污泥的分離。將顆粒污泥儲存箱中的顆粒污泥加入到SBR,維持顆粒污泥系統的穩定。

1.2 接種污泥與原水水質
接種污泥為某污水廠曝氣池的活性污泥,污泥為黃色的絮狀結構,污泥濃度為3g/L,平均粒徑為110μm。接種污泥經曝氣24h后,沉淀30min,排出上清液,經旋流器分選后接種至反應器中,注入污水至液面高度達到20L處,反應器中的污泥濃度約為3g/L。實驗用水為某污水廠初沉池出水,其COD為200~250mg/L,NH4+-N為25~48mg/L,TN為30~60mg/L,PO43--P為0.5~5.0mg/L,SS為60~100mg/L,pH為6.8~7.5。并配制乙酸鈉∶丙酸鈉=10∶1(物質的量之比)的碳源,增加進水COD負荷,最終實驗進水COD濃度為400mg/L左右。
1.3 分析項目與方法
COD采用聯華快速測定法測定;NH4+-N采用納氏試劑分光光度法測定;NO2--N、NO3--N采用離子色譜儀測定;PO43--P采用鉬銻抗分光光度法測定;TN采用堿性過硫酸鉀消解-紫外分光光度法測定;MLSS、SVI5、SVI30等均采用標準方法測定。另外,采用OlympusBX51光學顯微鏡和配套的Olympus數碼相機進行圖像采集,采用馬爾文激光粒度分析儀(MAF500)進行污泥粒徑分析,采用高精度電子天平進行污泥質量分析。
2、結果與討論
2.1 污泥顆粒化
實驗共分為兩個階段,第1階段通過逐漸縮短沉降時間培養AGS;第2階段,當SBR中污泥濃度達到一定值后,通過旋流器分離污泥中的顆粒和絮體,將旋流器底流口顆粒加入到SBR中,溢流口絮體排出SBR,增加分選污泥的粒徑,有利于培養AGS。最終,實現AGS系統的穩定維持。
為加快顆粒化進程,采用旋流器對某污水廠曝氣池的活性污泥進行固液分離處理。原入口污泥經旋流分離器處理后,分為溢流口污泥和底流口污泥,將底流口污泥作為最終接種污泥。通過高倍光學顯微鏡觀察發現,經過旋流器處理后,污泥平均粒徑明顯增大,原污泥平均粒徑為110μm,旋流器溢流口處的污泥平均粒徑均在150μm以下,最終接種污泥的平均粒徑為150μm,較好地實現了接種污泥的挑選,有利于AGS的快速培養。
在該系統啟動前,對接種污泥進行24h培養馴化;系統啟動初期,每天運行5個周期,絮體污泥逐漸抱團;SBR運行11d后,成功培養出AGS,平均粒徑在220~300μm之間。培養出的AGS呈棕黃色,顆粒均勻飽滿,形態規則,并有大量累枝蟲、鐘蟲和纖毛蟲等生長在其周圍。
AGS培養過程中,SBR的沉降時間從5min逐步壓縮到2min。沉淀時間依據出水效果和MLSS的變化及時調整。SBR運行初始階段,沉降時間設定較短,選擇壓較大,沉降性較差的絮體污泥被排出SBR,污泥濃度逐漸降低,SBR內的MLSS從接種時的3.160g/L降至2.140g/L(見圖3);由于SBR沉淀時間較短、淘洗力度較大,絮體污泥逐漸抱團,MLSS逐漸升高,運行至第11天,絮體污泥顆粒化,MLSS為2.880g/L,SVI5為68mL/g,SVI30為56mL/g。
AGS穩定運行階段,MLSS升高,污泥沉降性變化較小。SBR運行至第23天時,MLSS達到3.3g/L,與接種時的MLSS相近。此時,通過旋流器將SBR中培養的污泥進行分選,實現顆粒和絮體的分離,將顆粒污泥留在SBR內,絮體污泥排出SBR,旋流器篩分后底流口顆粒和溢流口絮體的質量比為4∶1,MLSS降至2.615g/L,污泥沉降性能良好,SVI30為53mL/g,污泥粒徑在350μm左右。SBR運行至第35天時,由于進水水質的影響(進水中帶有絮體污泥),污泥沉降性變差、MLSS降低,運行至第43天時,AGS系統恢復到之前的穩定水平,MLSS為3.108g/L,污泥沉降性能較好,SVI30為60mL/g,這也說明AGS系統有一定的自我調節恢復功能。

2.2 旋流器對顆粒污泥系統的影響
絮體污泥顆粒化、SBR中的污泥濃度達到3g/L后,通過旋流器分離污泥中的顆粒和絮體,將底流口顆粒保留在SBR內,溢流口絮體排出SBR,經過多級分選,增加顆粒污泥的粒徑,有利于AGS的培養和穩定維持。SBR運行43d,經過三級篩選,水力旋流器分選顆粒污泥的效果較好,如圖4所示。

旋流器入口處顆粒比例較少,粒徑>200μm的污泥占入口處總污泥的35%;旋流器底流口處顆粒比例明顯增加,粒徑>200μm的污泥占底流口處總污泥的47%;而旋流器溢流口處顆粒比例明顯降低,粒徑>200μm的污泥占溢流口處總污泥的20%。最終,將旋流器底流口處的污泥輸送至SBR內,繼續AGS系統的運行。
旋流器分選前后SBR內的污泥粒徑對比見圖5。旋流器分選前,SBR中粒徑>200μm的污泥占污泥總量的35%;旋流器分選后,SBR中粒徑>200μm的污泥占污泥總量的52%,顆粒污泥占比提高了1.45倍,表明采用旋流器分選AGS的效果較好。

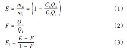
分離效率是衡量水力旋流器工作效果的重要指標。在固-液旋流器中,質量分離效率E的定義為連續相中被分離的分散相介質質量與進入水力旋流器的分散相介質質量之比,而簡單地采用質量分離效率E還不足以反映旋流器的分離能力,因為未考慮到分流比對旋流器分離效率的影響。假設流體只是簡單地從旋流器入口進去、從底流口與溢流口出來,而沒有任何分離作用,則這個旋流器的分離能力為0,而按照質量分離效率的定義則不為0,應該等于分流比F,分流比的定義是旋流器運行中排出被分離分散相的總體積流量占進口總流量的比值。因此,扣除分離比影響后的質量分離效率即為純分離效率E,更能反映旋流器的分離能力。

式中:mu和mi分別為底流口和入口的顆粒質量流率,g/min;Cu、Co、Ci分別為底流口、溢流口、入口的顆粒質量濃度,mg/L;Qu、Qo、Qi分別為底流口、溢流口、入口的顆粒體積流量,L/min。
在實際應用中,經常通過增加旋流器的級數來提高分離效果,因此實驗中設置了三級旋流器來提高對AGS的分離效率。旋流器的分流比為30%,SBR中的污泥顆粒質量為23.625g,占污泥總質量的35%,經過旋流器一級分離后,底流口中污泥顆粒質量為15.099g,旋流器的質量分離效率為63.91%,純分離效率為48.44%,分離效率較低;經過旋流器三級分離后,底流口中污泥顆粒質量為19.615g,旋流器的質量分離效率達到83.02%,純分離效率為75.75%。相比一級分離,經三級分離后旋流器的質量分離效率提高了19.11%,純分離效率提高了27.31%,旋流器對顆粒污泥的分離效率較高。
2.3 對污染物的去除效果
SBR進水COD濃度在400mg/L左右,采用攪拌/曝氣方式運行,出水水質較為穩定,出水COD基本在30mg/L以下,出水TP基本在0.7mg/L以下,出水TN基本在20mg/L以下(見圖6),COD平均去除率在91%以上,氨氮平均去除率在98%以上,總氮平均去除率在60%左右,TP平均去除率在93%以上。SBR的實際進水COD濃度低于400mg/L,有時甚至在300mg/L左右,推斷可能與活性污泥吸附COD有關,這需要更進一步的研究。

SBR從啟動到顆粒形成階段,由于接種污泥具有良好的硝化能力,同時采用高曝氣量,表面氣速達到0.3cm/s,控制DO在5mg/L,導致出水NO3--N濃度較高,出水中的氮以NO3--N為主,出水TN最高達到25mg/L。污泥顆粒化后,生物量顯著增加、污泥活性提高,逐漸降低DO濃度,控制出水水質,最終使得出水NO3--N<0.5mg/L(見圖7)。

SBR采用攪拌/曝氣方式運行,控制DO在2.5mg/L左右后,顆粒污泥系統逐漸穩定,以SBR運行至第35天時的某個周期為例進行分析,如圖8所示,進水COD、NH4+-N、NO3--N、TN、TP分別為394、28.1、0.7、42、5.3mg/L。

厭氧階段開始時,由于反硝化作用以及聚磷菌等微生物的吸收和吸附作用,COD濃度迅速下降,運行60min后趨于平穩,TN濃度略有降低,厭氧過程中釋磷速率為37mg/min,60min后釋磷基本完成,TP最大濃度為58.7mg/L。好氧階段前期,COD、NH4+-N和TN濃度同時下降,TP濃度迅速降低,吸磷速率為21.53mg/min,60min內吸磷基本完成,好氧60min內NH4+-N和TN濃度的下降速率呈線性相關,NH4+-N、TN的去除速率以及NO3--N的增長速率分別為6.7、2.6、3.05mg/min。AGS系統同步脫氮除磷效果顯著,最終出水COD、NH4+-N、NO3--N、TN、TP分別為18、0.3、13.8、15、0.02mg/L,滿足國家一級A排放標準。由于SBR運行過程中pH始終維持在7.0~8.0之間,故TP以生物去除為主,只有少量磷因顆粒污泥內部的化學沉淀作用而被去除。
3、結論
①SBR耦合旋流器,歷時11d成功培養出好氧顆粒污泥,污泥平均粒徑為220~300μm,成熟的顆粒污泥形態規則、均勻飽滿、呈棕黃色。穩定運行階段,污泥濃度達到3.108g/L,SVI30為60mL/g。
②顆粒污泥經旋流器分選前后粒徑分布有顯著變化,粒徑>200μm的顆粒污泥占比由35%增加到52%。顆粒污泥經旋流器三級分選的效果較好,質量分離效率為83.02%,扣除分流比對分離效率的影響后,純分離效率為75.75%。
③好氧顆粒污泥系統穩定運行階段的同步脫氮除磷效果顯著,出水COD、NH4+-N、NO3--N、TN、TP分別在30、0.5、16、20、0.7mg/L以下。(來源:金風環保有限公司)



