隨著人口的增長, 人們對于海產品的需求日益增長, 中國的海產品產量占世界海產品總量的三分之二以上, 由于在生產過程中消耗的95%的水轉化為受污染的廢水, 這導致了大量海水養殖廢水的排放, 含鹽廢水通常被認為是一種難處理的廢水, 且海水養殖廢水多為寡營養水體, 現有的處理方法主要針對低COD濃度、低NH4+-N濃度特征的海水養殖廢水, 但是在養殖產業發展過程中, 由于人工投喂大量配合飼料和鮮活餌料, 也出現了污染物濃度較高的廢水, 因此, 針對此類廢水開發經濟高效的海水養殖廢水處理工藝具有重要意義.
生物過程是一種可靠和有效的脫氮除磷的手段, 膜生物反應器(membrane bio-reactor, MBR)廢水處理技術已經發展了30多年, 并且廣泛應用于含鹽廢水的處理中, 但是鹽度的脅迫往往帶來很多工藝上的困難, 例如高鹽環境影響微生物的生長、導致嚴重的膜污染等.缺氧濾池反應器在活性污泥的基礎上投加懸浮填料, 污泥顆粒附著在填料上形成生物相豐富的可實現同步硝化和反硝化的生物膜, 使其在與MBR工藝結合后對膜污染有所緩解.但是對于海水養殖廢水磷酸鹽含量較高的特點, 要實現較好的脫氮除磷效能, 傳統MBR存在排泥的問題.微藻不僅能用于生產各種類型的生物燃料, 還能作為水產動物的開口餌料、人類保健食品等廣泛用于各行業, 并且能有效去除營養物質、重金屬和有機污染物等而廣泛應用于廢水處理.目前, 小球藻是廢水處理中最常用的藻種之一, 有較好的脫氮除磷效能, 其總氮、總磷的去除率能達到90%以上, 但是由于各類廢水的水質特征相差較大, 選擇合適的藻種對于特定廢水的處理尤為重要.
為此, 本研究采用缺氧MBR和微藻膜反應器(microalgae membrane reactor, MMR)耦合工藝處理人工合成的海水養殖廢水, 前置缺氧MBR用于有機物、NO3--N和NO2--N的降解, 反應器內釋放的NH4+-N進入MMR用于微藻生長并且得到去除, 兩個反應器進行協同配合, 同時考察普通小球藻的生物量變化, 探究運行過程中的膜污染行為, 對連續采收微藻進行資源化利用及開發高效經濟的處理工藝提供理論依據.
1 材料與方法
1.1 實驗材料
1.1.1 實驗裝置
本研究采用的實驗裝置如圖 1所示, 總反應系統由缺氧MBR和MMR耦合而成, 反應器主體均由有機玻璃制成, 有效容積分別為8 L和7 L.缺氧MBR內有邊長為2 cm的立方體黑色聚氨酯海綿填料, 填充率為反應器有效容積的5%.在啟動前在填料上進行掛膜, 在反應器中設置中空纖維膜組件, 膜孔徑為0.03 μm, 由兩個膜面積分別為0.050 m2和0.066 m2的膜組件并聯而成, 為了使混合液攪拌均勻, 在缺氧MBR內設有潛水泵.曝氣頭放置在MMR內擋板一側, 通過曝氣裝置進行曝氣, 并連接氣體流量計以控制氣體流量, 提供微藻生長所需的氣體和使藻液保持良好的流態, 反應器內膜組件面積為0.101 m2, 在反應器外部設置光照強度為2 000 lx, 光照周期亮暗比為12 h:12 h的光源用于微藻生長.
1、4、7:潛水泵; 2、8:液位控制裝置; 3、10:中空纖維膜組件; 5、11:壓力表; 6、12、13:蠕動泵;9:曝氣頭
圖 1 反應裝置示意
兩個反應器內液面均由液位控制器控制, 系統出水通過蠕動泵控制, 采用連續流進水方式, 出水蠕動泵均連有時間繼電器, 以8 min抽、2 min停的方式間歇出水, 反應器出水均通過精密真空壓力表記錄跨膜壓差(transmembrane pressure, TMP).
1.1.2 污泥和微藻來源及其培養
缺氧MBR內所接種的缺氧污泥來自山東省威海市城市污水處理廠二沉池的活性污泥, 缺氧MBR中接種污泥生物量MLSS約為2 500 mg·L-1.在不曝氣的情況下在聚氨酯海綿填料上進行掛膜, 掛膜過程所用水水質與實驗廢水中第1階段的水質相同(如表 1), 并且使用潛水泵進行攪拌以維持良好的流態;在填料內部附著有一定量時完成掛膜, 持續培養3周后, 污泥逐漸從棕色變為黑褐色, 測定生物膜亞硝酸還原活性和硝酸還原活性(以N/VSS計), 在其分別達到10 mg·(g·h)-1和8 mg·(g·h)-1后搭建體系, 以保證運行初期有一定的反硝化性.
表 1 實驗廢水水質
MMR內采用普通小球藻(C. vulgaris)作為實驗藻種, 購于中國科學院海洋研究所, 反應器最初啟動時微藻生物量約為4×107個·mL-1.
1.1.3 實驗廢水水質
本研究所用廢水為模擬龜鱉養殖廢水, 海水取自山東省威海市環翠區小石島, 分別以硝酸鈉(NaNO3)、磷酸二氫鉀(KH2PO4)和葡萄糖(C6H12O6)作為污染物質的N、P、C源, 并加入碳酸氫鈉(NaHCO3)調節pH在7.5~8.5范圍內, 運行過程中具體水質參數如表 1所示.
1.2 實驗方法
1.2.1 反應系統的搭建及運行
在缺氧MBR內掛膜完成和微藻培養至一定量后, 連接缺氧MBR和MMR兩部分反應器, 水力停留時間(hydraulic retention time, HRT)分別為16 h和24 h, 啟動階段將污染物濃度控制在較低的條件下, 運行33 d后, 將PO43--P的濃度從1.20 mg·L-1增加至4.74 mg·L-1, 在運行的前50 d中, NO3--N的濃度平均濃度為5.15 mg·L-1, 逐步增大NO3--N濃度, 在第3階段(第51~65 d)濃度為10.21 mg·L-1, 第4階段(第66~91 d)時NO3--N的濃度平均值為21.04 mg·L-1.系統采用連續流進水方式, 并且穩定運行12 d后持續監測進水、缺氧MBR內混合液、缺氧MBR出水、MMR內混合液和最終出水中NO3--N、NO2--N、NH4+-N、PO43--P和TOC的濃度, 以探究系統的處理效能.由于缺氧MBR內設有潛水泵用以攪拌, 且反硝化作用產生熱能, 因此缺氧MBR內平均溫度為25℃, MMR內平均溫度為22℃, 兩個反應器內pH分別在8.0和9.0左右, 在此期間持續監測微藻的生物量濃度, 考察環境因素對微藻的采收產生的影響.
1.2.2 系統膜污染行為探究
反應器內控制膜組件出水的蠕動泵均連有精密壓力表, 根據TMP的示數, 判斷膜污染的嚴重情況, 在運行的91 d時間內, 對反應器內中空纖維膜組件進行多次物理清洗, 整個運行過程不進行化學清洗.比較不同反應器內膜組件形貌及其附著物質的特性探究膜污染的特性.在膜污染嚴重時期, 對反應器內混合液和清洗膜表面濾餅層所得的混合液提取溶解性微生物產物(soluble microbial products, SMP)和胞外聚合物(extracellular polymeric substance, EPS), 探究膜污染行為.
1.3 分析方法
水質分析方法:分別取進水、缺氧MBR內混合液、缺氧MBR出水、MMR內混合液和最終出水各50 mL, 采用0.45 μm的醋酸纖維膜進行抽濾, 采用文獻所述方法測定澄清液中的NO3--N、NO2--N、NH4+-N和PO43--P濃度, 總有機碳通過TOC儀測定(TOC-5000A, Shimadzu, Japan).
微生物混合液及膜污染特性分析方法:微藻生物量采用分光光度法測定, 污泥濃度采用國家標準方法測定;對提取所得的SMP和EPS進行傅里葉紅外光譜和三維熒光光譜分析;取污染嚴重時期的膜組件, 對膜表面進行物理清洗并烘干噴金后, 在掃描電鏡下進行觀察.
2 結果與討論
2.1 缺氧MBR-MMR處理海水養殖廢水性能
2.1.1 污染物去除效果
(1) NO3--N的去除效果 整個運行過程根據NO3--N進水的濃度可以分成3個階段, 各階段進水的平均濃度分別為5.15、10.21和21.04 mg·L-1, 從圖 2(a)中可以看出, 各階段最終出水均低于5.00 mg·L-1, 第二、三階段的出水濃度穩定在1.00 mg·L-1以下, 運行的前50 d時間內, 對NO3--N的去除率在40.0%~90.0%范圍內波動較大, 隨著進水濃度的升高, 污染物的去除率逐漸上升, 并在最后階段穩定在90.0%以上.在整個系統中, 缺氧MBR在NO3--N降解的過程中起到了主要的作用, 在后兩個階段, 經缺氧MBR后, 去除率能達到80.0%以上.
(a)NO3--N的去除效能;(b)NO2--N的去除效能;(c)NH4+-N的去除效能;(d)PO43--P的去除效能;(e)TOC的去除效能
圖 2 缺氧MBR-MMR系統中污染物的去除效能
(2) NO2--N的去除效果 由于模擬廢水中不進行人為添加亞硝酸鹽, 進水的NO2--N來自天然海水和模擬廢水中微生物對其他物質的轉化.在缺氧MBR內, 缺氧污泥及部分厭氧污泥進行反硝化反應, 將NO2--N還原成N2[19], 由圖 2(b)可以看出, 進水經缺氧MBR后, NO2--N平均濃度可從1.38 mg·L-1下降至0.06 mg·L-1, 缺氧MBR對進水中NO2--N的去除率可以達到80.0%以上, 在后期可以穩定在90.0%左右;系統最終出水NO2--N平均濃度為0.17 mg·L-1, 總的去除率在80.0%~90.0%之間, 可見缺氧污泥在NO2--N的去除中起到主要作用.
(3) NH4+-N的去除效果 模擬廢水中不進行人為添加銨鹽, 如圖 2(c)所示, 由于缺氧MBR內污泥發生氨化反應, 包括水解及還原反應, 使得部分氨基酸氨化而轉化為NH4+-N, 因此, 缺氧MBR出水中NH4+-N的濃度較高, 但是由于普通小球藻在利用氮源時, 首先選擇氨氮作為合成營養物質的對象, 因此在通過MMR后, 運行階段后期(第69~91 d)出水NH4+-N的平均濃度為0.68 mg·L-1, 平均去除率為91.0%, 且均能達到80.0%以上.Ma等[20]在采用青島大扁藻處理廢水實驗中也發現了微藻對NH4+-N的去除效果較好, 這可能影響微藻對其他氮源的攝取.
(4) PO43--P的去除效果 在反應器運行的初始階段, 進水PO43--P濃度較低, 缺氧MBR不進行排泥導致PO43--P累積, 從圖 2(d)可以看出, 自運行的30 d后, 將進水濃度提升至5.00 mg·L-1左右, 經過缺氧MBR-MMR后最終出水的濃度為2.00 mg·L-1, 去除率可以達到50.0%左右.總的去除率較低的原因可能是缺氧MBR不排泥導致PO43--P的累積, 超出了微藻的降解負荷, 普通小球藻對缺氧MBR出水中PO43--P去除率可以達到50.0%~60.0%.
(5) TOC的去除效果 從圖 2(e)中可以看出, 進水中TOC的濃度在前期波動較大, 在運行至50 d后, 反應器的進水大致穩定在150.00 mg·L-1左右, 由于缺氧污泥及微藻生長較穩定, 處理效果較好, 去除效果最終穩定在80.0%~90.0%.Vo等[21]研究表明, 微藻對TOC的去除與鹽度有關, 鹽度為0.1%和1%時, TOC去除率最高, 本實驗所用海水鹽度為3.5%, 較高的鹽度可能是限制微藻處理效果的原因之一.
總的來說, 在運行后期, 系統脫氮除磷和對TOC的處理效果均有所提升, 造成這一現象的原因之一可能是隨著氣溫回暖, 微生物所處環境溫度逐漸達到更適宜生存的條件, 使得處理效能較好.
2.1.2 微藻生長情況
溫度和pH是影響微藻生長的重要因素, 在運行期間, 反應器內溫度和pH變化情況如圖 3所示.MMR內的平均溫度為22℃, pH維持在8.3~9.4范圍內, 本實驗曝氣裝置對MMR僅提供空氣, 未專門加入CO2氣體, 對MMR中的pH影響較小.
圖 3 缺氧MBR-MMR系統溫度和pH變化
在反應器運行的91 d時間內, 對MMR內普通小球藻的生長情況進行了持續監測, 結果如圖 4所示.根據采收情況將運行階段分成階段1~4, 分別在運行的第10、27和61 d進行了采收, 在階段4中, 可能是由于啟動階段微藻濃度太低, 導致了微藻持續培養生物量上升較慢, 并在68 d后出現了下降情況.在前3個階段運行的基礎上得到微藻最高濃度大約在12×107個·mL-1, 并且在(2~10)×107個·mL-1濃度范圍內生物量增長最快, 因此從運行的第79 d開始, 在生長對數期以5×107個·mL-1的濃度啟動反應器, 并且以每天定時采收1 L的方式進行連續采收, 能較好地將濃度維持在9×107個·mL-1附近, 實現高效且穩定的采收和污染物的去除效果.
圖 4 MMR中普通小球藻生物量增長情況
微藻生物量產率是衡量微藻生長情況的重要指標之一, 前3階段的微藻最大生物量產率分別為1.38×107、0.99×107和0.39×107個·(mL·d)-1.由于本研究所用普通小球藻對NH4+-N和PO43--P的利用率較高, 因此測算NH4+-N和PO43--P的平均去除速率分別為6.19 g·(m3·d)-1和2.48 g·(m3·d)-1, Ma等[20]在采用微藻膜反應器處理海水養殖廢水時得到青島大扁藻對TN和TP去除速率達到15 g·(m3·d)-1和2.8 g·(m3·d)-1, PO43--P去除速率相近.同時, 單位普通小球藻對NH4+-N的平均吸收情況為2.02×10-10 mg·cell-1, 吸收情況最好時可達8.81×10-10 mg·cell-1, 單個細胞對PO43--P的平均吸收情況為0.96×10-10 mg·cell-1, 由此可見, 本研究中普通小球藻在對污染物的吸收中對NH4+-N的吸收效果最好.
2.2 微藻膜反應器膜污染特性研究
2.2.1 膜污染趨勢
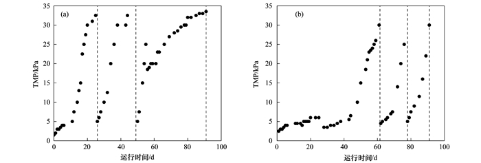
與滲透率相關的跨膜壓差(TMP)是研究膜污染的重要參數, 膜污染的嚴重程度可以由TMP直觀地表示, 在反應器運行的90 d中, 對缺氧MBR及MMR中膜出水的跨膜壓差進行監測, TMP隨運行天數的變化如圖 5所示.
(a)缺氧MBR的TMP變化; (b)MMR的TMP變化
在運行的第56 d, 在缺氧MBR內新增中空纖維膜進行并聯以緩解膜污染, 并聯的膜表面積為0.050 m2, 因此缺氧MBR內中空纖維膜總面積為0.116 m2, 缺氧MBR出水跨膜壓差分別在第20、38和78 d達到了30 kPa, 因此對膜組件進行物理清洗.并聯前, 缺氧MBR內膜的污染周期分別為20 d和18 d, 污染周期隨著運行時間的推移越來越短, 并聯后膜污染周期明顯變長.
由圖 5可得, 在運行的第61、78和91 d時, 對MMR內膜進行了物理清洗, 由于物理清洗只能對中空纖維膜外表面層的附著物質進行清理, 且整個運行階段未對膜進行化學清洗, 因此, MMR的TMP變化也呈現出膜污染周期逐漸變短的現象, 對膜的清洗隨運行時間的推移越來越頻繁.此外, 對比缺氧MBR和MMR膜污染情況發現, 微生物的不同對膜污染的影響較大, 以微藻為生物源的MMR內膜組件的污染較缺氧MBR來說更輕.
在反應器運行后期膜污染嚴重時, 分別對缺氧MBR、MMR內膜組件內部形態進行掃描電鏡觀察, 結果如圖 6所示.從中可以看出, 缺氧MBR內膜組件的污染程度比MMR內污染更為嚴重, 在膜材料交結處存在絮狀物質, 相比之下, MMR內膜組件內部污染較輕, 主要是膜表面起截留作用的外表面層受到污染, 在物理清洗后能維持的周期較長.另外, 在污垢處(圖 6)均有規則的、呈晶體狀的顆粒物質, 這可能是反應器內混合液中的無機鹽結晶導致的.
a)缺氧MBR內膜組件內部形態; (b)MMR內膜組件內部形態
圖 6 缺氧MBR-MMR系統中空纖維膜組件內部形態
2.2.2 EPS特性分析
2.2.2.1 EPS的紅外光譜特性
紅外光譜圖能反映物質中所包含的官能團信息, 其中波數位于3 335 cm-1附近的出峰位置代表了O—H的伸縮振動, 位于2 366 cm-1附近為蛋白物質的N≡N伸縮振動, 位于1 636 cm-1附近為蛋白質酰胺一級結構的C=O伸縮振動.
因此, 對缺氧MBR及MMR運行末期(91 d)污染嚴重時的膜表面濾餅層EPS進行分析, 如圖 7所示.從中可知, 兩個反應器內EPS的主要物質均包含O—H、N≡N和C=O, 說明EPS中含有蛋白質類物質, 為了進一步探究其物質組成, 對樣品進行了三維熒光掃描.
圖 7 缺氧MBR-MMR系統內膜表面濾餅層EPS的紅外光譜
2.2.2.2 EPS的三維熒光特性
由文獻可知, 圖 8中峰A處于蛋白類物質區域;峰B代表色氨酸類物質, 熒光范圍是Ex/Em=270~280/300~310 nm;峰C代表樣品中主要含有與微生物類副產物有關的類蛋白物質, 熒光范圍為Ex/Em=270~280/340 nm.
圖 8 EPS的三維熒光光譜圖
可以看出, 本研究中造成膜污染的EPS中主要的組成物質為蛋白質類物質, 并且主要以色氨酸為主, 在腐殖酸物質區域均未出現明顯的峰.實驗所測樣品均在原液基礎上稀釋10倍所得, 通過比較缺氧MBR和MMR內混合液的譜圖可得, 缺氧MBR各峰強度明顯高于MMR.楊明明等在厭氧氨氧化顆粒污泥EPS中檢測到了色氨酸蛋白質類物質(峰C)和Ex/Em位于220/325~345 nm的芳香類蛋白質以及Ex/Em位于220/325~345 nm的酪氨酸類蛋白質.
2.2.3 SMP特性分析
2.2.3.1 SMP的紅外光譜特性
SMP呈現出與EPS相似的紅外光譜特性, 出峰位置為3 335、2 366和1 636 cm-1附近(圖 9), 并且對于缺氧MBR內膜表面濾餅層來說, 相較于運行中期階段, 運行末期也在2 366 cm-1附近出現N≡N伸縮振動.
圖 9 缺氧MBR-MMR系統內膜表面濾餅層SMP的紅外光譜
2.2.3.2 SMP的三維熒光特性
如圖 10所示, SMP的熒光特性表明缺氧MBR與MMR內混合液的譜圖相似, 出峰位置大致相同, 對比相關資料可知, 反應器內SMP均含有色氨酸類物質(B峰)和腐殖酸類物質(峰D、峰E).對比與腐殖酸類物質相關的峰強, 缺氧MBR均高于MMR, 這與缺氧MBR內膜污染較嚴重的事實相符.
圖 10 SMP的三維熒光光譜圖
濾餅層的譜圖出峰位置也大致相同, 并且缺氧MBR內膜表面的濾餅層出峰位置相較于MMR發生了紅移, 熒光峰的紅移表明熒光基團中羰基、羧基、羥基和胺基含量有所增加[28, 29].總的來說, 系統SMP的主要物質為以色氨酸為主的蛋白質類物質和以海洋腐殖酸為主的腐殖酸類物質, 蛋白質與腐殖酸是膜面有機污染物的主要成分.
3 結論
(1) 室溫條件下, 反應系統對NO3--N和NH4+-N的去除效果較好, 在缺氧MBR和MMR的HRT分別為16 h和24 h的條件下, 在進水NO3--N的平均濃度達到21.04 mg·L-1的階段, 經過缺氧MBR-MMR后, 系統對NO3--N和NH4+-N去除率分別穩定在90.0%和88.0%以上, 系統對PO43--P和TOC的平均去除率分別為49.4%和84.7%.
(2) 在運行的91 d內, 對普通小球藻進行了3次序批式采收, 在此期間, 普通小球藻的最大生物量達到了11×107個·mL-1, 在運行后期以每天定時采收1 L的方式連續采收, 能較好地將濃度維持在9×107個·mL-1附近, 實現了高效且穩定的采收.
(3) 在膜污染方面, 與缺氧MBR相比, 以普通小球藻為生物源的MMR內膜污染較輕, 造成兩個反應器內膜污染的物質主要是SMP和EPS中的蛋白質和腐殖酸類物質.(來源:環境科學 作者:陳凡雨)













