AAO工藝是我國城市污水處理廠主體工藝, 該工藝具有運行經驗成熟、適用范圍廣、以及水力停留時間較短等優點, 但從實際運行情況看, 由于回流污泥將一部分硝態氮和溶解氧帶入厭氧段, 抑制聚磷菌厭氧釋磷, 使得除磷效果不穩定; UCT工藝通過改變AAO工藝的污泥回流機制, 將污泥回流到缺氧段而非厭氧段, 污泥中的硝酸鹽在缺氧段反硝化脫氮后部分回流至厭氧段, 減少了硝酸鹽在厭氧段對釋磷的不利影響, 但是增加了能耗和運行費用.
同步硝化反硝化除磷工藝是指在硝化菌和反硝化聚磷菌作用下, 在同一反應器中同時完成硝化、反硝化和除磷.該工藝不僅減少反應池體積, 而且實現了“一碳兩用”, 節約碳源, 減少污泥產量.林金鑾等通過在厭氧/好氧SBR中控制較低的溶解氧濃度實現了同步硝化反硝化除磷.陽素攀等采用厭氧/好氧和厭氧/缺氧/好氧兩種運行模式, 在單一反應器中實現了硝化菌和反硝化聚磷菌的共存.方茜等采用模擬廢水和厭氧/間歇曝氣模式, 成功實現了同步硝化反硝化除磷.但是以上研究均采用SBR反應器, 對于在連續流反應器中實現同步硝化反硝化除磷還鮮見報道.本文將間歇曝氣應用于傳統AAO工藝中, 通過逐漸取消硝化液回流和缺氧段, 實現了同步硝化反硝化除磷, 同時考察了該過程中污染物去除特性, 并采用物料衡算方法分析了無機氮去除途徑以及反硝化聚磷菌和聚磷菌活性, 以期為傳統脫氮除磷工藝升級改造提供理論參考.
1 材料與方法
1.1 實驗裝置
本實驗裝置如圖 1所示.反應器材質均為有機玻璃, AAO的有效容積60 L, 共分10格室, 依次設置厭氧段、缺氧段和好氧段, 初始體積比為3 :2 :5;生活污水經蠕動泵進入AAO厭氧段, 同時進入厭氧段的還有從沉淀池回流的污泥, 聚磷菌在此完成厭氧釋磷及COD的部分去除; 厭氧段泥水混合液進入缺氧段, 同時進入缺氧段的還有好氧段回流的硝化液, 在此進行異養脫氮和反硝化除磷; 混合液接著進入好氧段完成硝化作用和同步硝化反硝化聚磷脫氮, 最后進入沉淀池完成泥水分離.好氧段設有曝氣頭, 采用鼓風曝氣, 轉子流量計調節流量, 二沉池采用豎流式, 有效容積為28 L, 系統進水流量、污泥回流量、硝化液回流量采用蠕動泵控制, 曝/停比采用定時器控制.
圖 1

圖 1 連續流反應器裝置示意
本實驗用水溫度為20~27℃, 污泥齡控制在12 d左右, 污泥回流比100%, MLSS為3 000~3 500 mg ·L-1.
1.2 實驗用水及檢測方法
實驗用水采用蘭州交通大學生活區污水, 具體水質見表 1.

COD、NH4+-N、NO3--N、PO43--P、TN根據國家標準方法測定. MLSS、MLVSS采用濾紙重量法測定. DO和溫度由德國Multi-3420測定儀測定.
1.3 實驗方案
各工況下實驗運行參數見表 2.
1.4 無機氮去除物料衡算方法
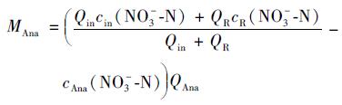
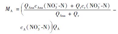
圖 2為反應器中無機氮去除物料衡算.無機氮等于NH4+-N、NO2--N和NO3--N三者之和, 由于反應器內NO2--N濃度小于0.50 mg ·L-1, 且變化很小, 因此忽略不計.為研究不同工況下反應器對無機氮的總去除量, 以及各功能段對應的無機氮去除量, 采用物料衡算方法分析了無機氮的去除途徑.無機氮在厭氧段被去除主要是通過異養反硝化作用, 在缺氧段通過反硝化聚磷作用和異養反硝化作用, 在好氧段通過同步硝化反硝化聚磷作用.
圖 2
厭氧段去除的無機氮:

(1)
缺氧段去除的無機氮:

(2)
好氧段去除的無機氮:

(3)
NH4+-N被氧化后生成的NO3--N:
(4)
式中, Qin為進水流量, QAna、QA和QO分別為厭氧段、缺氧段和好氧段出水流量, Qr為硝化液回流量, QR為污泥回流量, 單位均為L ·h-1; cin(NO3--N)、cAna(NO3--N)、cA(NO3--N)、cO(NO3--N)、cR(NO3--N)和cr(NO3--N)分別為進水、厭氧段出水、缺氧段出水、好氧段出水、回流污泥和回流硝化液NO3--N濃度, 單位均為mg ·L-1; cA(NH4+-N)和cO(NH4+-N)分別為缺氧段和好氧段出水NH4+-N濃度, 單位均為mg ·L-1; f1為每氧化1 mg NH4+-N生成的NO3--N, 根據反應器實際情況, f1=1.00.
1.5 聚磷菌(PAOs)和反硝化聚磷菌(DPAOs)活性計算
PAOs和DPAOs的活性分別用以下公式計算:

(5)

(6)
式中, PUROn和PURann分別為第nd時的總吸磷速率和反硝化聚磷速率, PUROM和PURanM分別為整個試驗階段的總吸磷速率平均值和反硝化聚磷速率平均值, 均以PO43-/VSS計, mg ·(g ·h)-1.

(7)

(8)

(9)

(10)

(11)
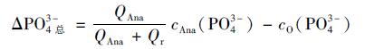
式中, ΔPO4缺3-為缺氧段吸磷量, ΔPO4同3-為好氧段同步硝化反硝化吸磷量, ΔPO4總3-為缺氧段和好氧段吸磷量之和, 單位均為mg ·L-1; MLSS為反應器內污泥濃度, g ·L-1; HRT缺+好為反應器缺氧段和好氧段水力停留時間之和, h; cAna(PO43-)、cA(PO43-)和cO(PO43-)分別為厭氧段、缺氧段和好氧段出水PO43--P濃度, 單位均為mg ·L-1; ΔNO3--N同為好氧段同步硝化反硝化聚磷作用脫氮量, 間歇曝氣時好氧段COD濃度幾乎無變化, 因此異養反硝化脫氮量不計. f2為反硝化聚磷過程中的ΔPO43-/ΔNO3-, 其值為0.80~1.40.其它參數見1.4節.
2 結果與討論
2.1 啟動過程中反應器對污染物的去除特性
在整個實驗過程中, 系統平均進水COD濃度為269.34 mg ·L-1, 出水COD濃度低于50.00 mg ·L-1[圖 3(a)].這是因為生活污水中的COD大部分為易降解有機物, 很容易得到去除.系統平均進水NH4+-N濃度為63.61 mg ·L-1, 出水NH4+-N濃度均低于2.00 mg ·L-1, 去除率均高于95.00%.系統平均進水TN濃度為63.42 mg ·L-1, Run1時出水TN濃度為14.42 mg ·L-1; Run2~Run4, 出水TN濃度低于6.00 mg ·L-1, 去除率高于90.00%[圖 3(b)].
圖 3

圖 3 不同工況下系統對污染物的去除效果
這是因為Run1時采用連續曝氣, 好氧段無同步硝化反硝化作用, 因此出水TN較高; 而Run2~Run4采用間歇曝氣, 創造了好氧/缺氧交替環境, 有利于硝化菌的增殖, 為同步硝化反硝化聚磷提供有利條件, 所以出水TN較低[14, 15]; 系統平均進水PO43--P濃度為6.10 mg ·L-1, 出水平均PO43--P濃度均不大于0.50 mg ·L-1, 去除率均大于86.00%[圖 3(c)].可見, 不管采用連續曝氣還是間歇曝氣, 均取得較好的除磷效果.
2.2 不同工況下污染物的沿程變化
在整個實驗過程中, 平均進水COD濃度為259.34 mg ·L-1, 出水COD濃度均小于50 mg ·L-1(圖 4).分析認為:聚磷菌在厭氧段釋磷均需要消耗COD[16], 同時, 由于Run1是按傳統AAO運行, 其回流污泥中攜帶的硝態氮導致厭氧段存在異養反硝化作用去除了部分COD[17]; COD在缺氧段減少是反硝化菌利用有機物完成異養脫氮作用; COD在好氧段的降低主要是被好氧異養菌用于自身生長和繁殖. Run2和Run3是在間歇曝氣模式下運行的, 缺氧段出水COD濃度基本接近最終出水濃度; Run4在無硝化液回流條件下運行, 厭氧段出水COD濃度基本接近出水COD濃度.具體聯系污水寶或參見http://www.bnynw.com更多相關技術文檔。
圖 4

圖 4 不同工況時污染物濃度沿程變化
4種工況下, 進水NH4+-N濃度在65.00~75.00 mg ·L-1之間波動, 在厭氧段由于回流污泥的稀釋作用使NH4+-N濃度均降低.通過好氧段的氧化作用, 出水NH4+-N濃度均在2.00 mg ·L-1以下. NO2--N沿程濃度均低于0.50 mg ·L-1(圖 4). Run1時, 由于連續曝氣, 系統中同步硝化反硝化聚磷作用較弱, 導致出水NO3--N濃度高達14.00 mg ·L-1.從Run2至Run4, 由于間歇曝氣, 系統中同步硝化反硝化聚磷作用較強, 出水NO3--N濃度均低于5.00 mg ·L-1, 回流污泥僅攜帶少量NO3--N, 厭氧段硝氮濃度幾乎沒有增加.擬合硝氮曲線是根據NH4+-N被氧化后理論上生成的NO3--N濃度繪制的曲線, 計算方法參考1.4節中的式(4), 其與實際硝氮曲線的差值近似為同步硝化反硝化聚磷作用的脫氮量.
4種工況下, 由于聚磷菌的厭氧釋磷作用導致PO43--P濃度在厭氧段大量增加, PO43--P濃度在厭氧結束時分別達到9.12、19.81、23.84和23.09 mg ·L-1, 釋磷量逐漸增加. Run1至Run3回流的硝化液為其缺氧段提供電子受體, 實現了反硝化除磷; 4種工況下PO43--P濃度在好氧段分別降低了1.00、12.14、19.84和22.61 mg ·L-1, 其出水濃度均不大于0.50 mg ·L-1, 達到一級A標準.
從Run1~Run4, 隨著硝化液回流從150%逐漸降低至0%, 進入好氧段的NH4+-N負荷不斷增加, 但是出水NH4+-N濃度仍然小于2.00 mg ·L-1, NH4+-N濃度在好氧段分別減少了13.5、14.88、24.10和30.43 mg ·L-1, 這是因為HRT從Run1和Run2時的10h增加至Run3和Run4時的15h; Run1采用連續曝氣, 其好氧段僅存在硝化作用, 幾乎沒有同步硝化反硝化聚磷作用; 而Run2~Run4時, 由于間歇曝氣使其好氧段存在同步硝化反硝化聚磷作用, 導致NH4+-N在好氧段不斷減少, 而NO3--N濃度分別僅增加了3.40、3.76和4.21 mg ·L-1; 同時, PO43--P濃度在大幅下降; 因為異養反硝化菌幾乎沒有可利用的碳源, 且反硝化菌利用內碳源的速率又遠低于反硝化聚磷菌的速率, 所以NO3--N主要通過同步硝化反硝化聚磷作用去除.
間歇曝氣創造出好氧/缺氧交替環境, 曝氣時, 硝化菌將NH4+-N氧化成NO3--N; 停曝時, 反硝化聚磷菌以NO3--N為電子受體吸收污水中的PO43--P, 實現同步硝化反硝化除磷; 聚磷菌厭氧釋磷量越大, 合成的PHB越多, 為同步硝化反硝化聚磷提供足夠的碳源驅動力.方茜等采用厭氧/好氧SBR處理模擬生活污水, 在間歇曝氣模式下對污泥進行馴化, 成功實現了同步硝化反硝化除磷(SNDPR).陽素攀[19]發現吸收1.00 mg PO43--P同時反硝化脫氮量為0.79 mg, 而本實驗中吸收1.00 mg PO43--P同時反硝化脫氮量為1.40 mg, 這可能是因為在外界條件變化時反硝化聚磷菌同時去除氮磷的比例并非定值.
2.3 不同工況下無機氮去除途徑物料衡算
在4種工況下, 無機氮去除途徑物料衡算見表 3.當系統由連續曝氣轉變為間歇曝氣的過程中, 隨著曝/停比的減少, 好氧段對無機氮的去除量由Run1時的10.50 mg ·L-1持續增加至Run4時的240.00 mg ·L-1, 而厭氧段和缺氧段對無機氮的去除量均隨著曝/停比減少而降低.分析原因: ①當采用間歇曝氣后, 好氧段處于好氧/缺氧交替狀態, 硝化和反硝化同步進行, 因此無機氮去除量增加. ②當缺氧格數從Run1的2減少至Run4的0時, 導致缺氧段HRT減少, 其無機氮去除量減少. ③隨著曝/停比減少, 回流污泥中攜帶的硝氮量減少, 厭氧段去除的無機氮也隨之降低. ④當HRT延長, 無機氮總去除量和去除率也增加.
2.4 PAOs和DPAOs活性變化
PAOs和DPAOs的活性、PURO以及PURan均隨著間歇曝/停比的減小而增加(見圖 5).在Run1時, PAOs和DPAOs的活性分別為38.20%和36.05%, PURO和PURan僅為0.19 mg ·(g ·h)-1和0.17 mg ·(g ·h)-1, 這是因為反應器在連續曝氣模式下運行, 對PAOs和DPAOs厭氧釋磷不利, 兩者活性均受抑制; Run2時, PAOs和DPAOs的活性分別為105.27%和105.12%, 增加幅度分別高達67.07%和69.07%.分析原因, 反應器由連續曝氣改為間歇曝氣時, 好氧段發生的同步硝化反硝化聚磷作用顯著降低了回流污泥中的硝氮和氧氣濃度, 為PAOs和DPAOs厭氧釋磷提供有利條件, 使其能夠優勢生長.從Run2至Run4時, PAOs和DPAOs的活性繼續增加, 但增加幅度分別為28.13%和35.41%, Run4時PURO和PURan分別達到0.66 mg ·(g ·h)-1和0.65 mg ·(g ·h)-1, 這是因為一方面停曝時間越長, 缺氧時間越長, 越利于DPAOs的優勢生長; 另一方面, 硝化液回流比減少, 進入好氧段的氨氮濃度提高, 使得DPAOs有較多的硝氮作為電子受體; PAOs活性呈現出與DPAOs相似的增長趨勢, 說明聚磷菌中反硝化聚磷菌的比例較大.
圖 5

圖 5 各工況下的PAOs和DPAOs活性以及PURan和PURO
2.5 不同工況下典型周期內出水污染物濃度變化
不同工況下典型周期內出水污染物濃度變化見圖 6. Run1時, 出水COD、NH4+-N、NO2--N、NO3--N和PO43--P濃度相對恒定, 其平均值分別為36.16、1.05、0.35、13.26和0.40 mg ·L-1; 從Run2~Run4, 在曝氣階段, 出水NH4+-N濃度降低, 出水NO3--N濃度升高; 在停曝階段, 出水NH4+-N濃度升高, 出水NO3--N濃度降低; 其中Run2時出水NH4+-N濃度在曝氣時從2.00 mg ·L-1降低至0.50 mg ·L-1, 又在停曝后升高至1.20 mg ·L-1; 出水NO3--N濃度在曝氣時從4.10 mg ·L-1升高至4.90 mg ·L-1, 又在停曝后降低至3.50 mg ·L-1.且隨著曝/停比減少, 出水NH4+-N和NO3--N濃度的波動幅度不斷增加, 但出水TN均低于10.00 mg ·L-1; 方茜等的研究發現, 隨著停曝時間增加, 硝化和反硝化不易平衡, 導致出水氮素濃度波動較大; 而出水COD、PO43--P濃度變化不大, 分析認為, COD基本在厭氧段被PAOs和DPAOs用于釋磷過程, 而聚磷菌在好氧和缺氧狀態下均可以吸收水中磷酸鹽[25, 26]; Run2~Run4的平均出水COD、NO3--N、PO43--P濃度分別低于25.00、5.00和0.4 mg ·L-1, 優于Run1時; 相比Run4, Run2和Run3的出水NH4+-N和NO3--N濃度更加穩定; 從Run1~Run4, 硝化液回流比是逐漸降低的; 從出水水質和節能降耗的角度, Run3較優.
圖 6

圖 6 不同工況下典型周期內出水污染物濃度變化
2.6 不同工況下典型周期內好氧段溶解氧濃度變化
不同工況下好氧段典型周期內溶解氧濃度的變化見圖 7. Run1為連續曝氣, 其溶解氧濃度從好氧一至好氧五不斷增加, 好氧五溶解氧濃度為5.30 mg ·L-1. Run2~Run4為間歇曝氣, 在曝氣階段, 溶解氧濃度隨好氧格室數增加而提高, 但比連續曝氣模式增加幅度較小, 而且最大溶解氧濃度逐漸降低, 分別為3.20、2.30和1.60 mg ·L-1, 使得好氧吸磷反應不斷減弱; 在停曝期間, Run2~Run4好氧格內溶解氧濃度均不斷降低, 其中Run4中全部好氧格內溶解氧濃度在停曝20 min內能迅速降低至0.30~0.50 mg ·L-1以下, 該工況下停曝時間最長, 因此缺氧狀態保持時間較長, 為反硝化聚磷創造有利條件.
圖 7

圖 7 不同工況下典型周期內好氧段溶解氧濃度變化
3 結論
(1) 間歇曝氣連續流反應器省去了傳統AAO的硝化液回流和缺氧段, 當進水COD、NH4+-N、TN和PO43--P濃度分別為259.34、60.26、64.42和6.10 mg ·L-1時, 在曝/停比為40 min/40 min(Run4)時, 其出水濃度分別為26.40、1.03、5.84和0.30 mg ·L-1, 出水水質達到一級A標準.
(2) 間歇曝氣有利于同步硝化反硝化除磷, 使回流污泥中的NO3--N和溶解氧濃度均較低, 為厭氧段聚磷菌充分釋磷創造條件, 為其在好氧和缺氧條件下的吸磷提供了充足的碳源驅動力; 好氧段將NH4+-N的硝化與反硝化聚磷有機結合, 完成同步脫氮除磷.從Run2至Run4, 好氧格室最大溶解氧濃度分別為3.20、2.30和1.60 mg ·L-1, 出水NO3--N濃度均小于5.00 mg ·L-1; 在厭氧段, 釋磷量均在20.00 mg ·L-1左右.在好氧段, NH4+-N濃度分別減少了14.88、24.10和30.43 mg ·L-1, PO43--P濃度分別降低了12.14、19.84和22.61 mg ·L-1, NO3--N濃度分別僅增加了3.40、3.76和4.21 mg ·L-1.
(3) 間歇曝氣有利于反硝化聚磷菌和聚磷菌的優勢生長, 使二者的活性從連續曝氣(Run1)時的36.05%和38.20%分別增大至曝/停比為40 min/40 min(Run4)的140.50%、133.40%.當曝/停比減少時, 厭氧段和缺氧段去除的無機氮減少, 而好氧段去除的無機氮提高, 系統對無機氮的總去除量增加.
(4) 間歇曝氣連續流反應器在單周期內出水COD和PO43--P濃度保持穩定, 出水NH4+-N和NO3--N濃度出現周期性浮動, 但出水TN濃度均小于10 mg ·L-1.(來源:環境科學 作者:趙智超)





