微電解技術是基于金屬化學腐蝕的原理,利用金屬(一般為鐵)為陽極與非金屬(一般為炭)為陰極在溶液中接觸形成無數微小原電池而對廢水進行處理的一種技術,又稱為內電解法、鐵炭法、腐蝕電池法等。微電解技術具有諸多優點,如工藝流程簡單、適應范圍廣、操作維護方便、占地面積小等。微電解填料經過幾代演變,目前應用最廣泛的是第4代微電解填料,以極細的鐵粉、碳粉和微量元素,壓制成型,無氧燒結而成。但是微電解填料原料昂貴,生產成本高。筆者利用冶金廢棄粉塵作為微電解技術的原材料,充分利用了冶金廢棄粉塵中鐵和碳成分,降低了填料生產成本,實現了資源的回收再利用,以廢治廢,減少了對環境的污染。本研究對冶金廢棄粉塵制備微電解填料進行了實驗,通過對微電解填料的強度、鐵碳含量、空隙率進行分析,保證微電解填料的性能滿足要求,確定微電解填料的最佳制備工藝。同時對微電解填料處理焦化廢水的效果進行了實驗研究。
1 材料與方法
1.1 實驗原料
實驗所用原料為某鋼廠的廢棄粉塵,各種粉塵的化學成分見表1。
表1 各種粉塵的化學成分(質量分數)
1.2 實驗方法
按不同碳氧摩爾比(碳和氧的摩爾分數比:C/O)對各種粉塵進行配料(配入水量(10±5)%),黏結劑羥基纖維素鈉的配入量為2%~4%,充分混勻的原料經對輥壓球機壓制成高含碳球團(稱之為生球),生球團為20 mm × 30 mm × 40 mm的橢球,將生球放入105 ℃,烘干箱內烘干。烘干后的球團裝入鐵鉻鋁鉬絲編制成的吊籃,將吊籃放入管式爐內的恒溫區進行還原焙燒。同時為保證高溫還原時爐內還原性氣氛,管式爐通入流量為4 L·min−1的N2以排出O2。
實驗高溫還原設備采用高溫管式爐,額定功率16 kW,最高加熱溫度1 600 ℃,爐管材質為剛玉,爐管尺寸:φ100 mm × 800 mm。
生球以及還原后的高含碳金屬化球團的化學成分通過化學分析得出;使用ZQJ-Ⅱ智能顆粒強度實驗機測定球團的強度值。用掃描電鏡(SEM)對填料的表面形貌進行分析,球團空隙率的計算方法[4]如式(1)所示,保證高含碳金屬化球團的性能滿足焦化廢水處理用微電解填料的要求,并對焦化廢水處理效果進行實驗研究。
填料的空隙率按以下公式計算:
n=1−ρρ a n=1−ρρa(1)
式中:n為填料的空隙率,%;ρ ρ 為堆積密度,kg·m−3;ρ a ρa 為表觀密度,kg·m−3。
堆積密度的測試方法為:將微電解填料在105 ℃的恒溫干燥箱中烘干至衡重,自然冷卻后,稱量填料的質量,取一帶玻璃片的廣口瓶稱其質量m1;注滿水后測其質量m;然后向瓶中加入填料至與廣口瓶瓶口平為止,稱量此時質量m2。計算方法如式(2)所示:
ρ=m 2 m−m 1 ρ r ρ=m2m−m1ρr(2)
式中:ρ ρ 為堆積密度,kg·m−3;m2為裝滿填料和水的廣口瓶的質量,kg;m為裝滿水的廣口瓶的質量,kg;m1為廣口瓶的質量,kg;ρ r ρr 為水的密度,kg·m−3。
表觀密度的測試方法為:將微電解填料在105 ℃的恒溫干燥箱中烘干至衡重,自然冷卻后,稱取質量為m的填料,裝入盛有半瓶水的容量瓶內,振蕩排除填料中的氣泡,然后向容量瓶中加水至刻度線位置,稱其質量m1,然后將水和填料倒出,干燥后再加水至刻度線位置,測量其質量m2,計算方法如式(3)所示:
ρ a =mm−m 1 +m 2 ρ r ρa=mm−m1+m2ρr(3)
式中:ρ a ρa 為表觀密度,kg·m−3;m為填料的質量,kg;m1為裝有一定量水和填料的容量瓶的質量,kg;m2為裝有一定量水的容量瓶的質量,kg;ρ r ρr 為水的密度,kg·m−3。
2 實驗過程與結果分析
2.1 C/O、還原時間、還原溫度對高含碳金屬化球團金屬鐵含量的影響
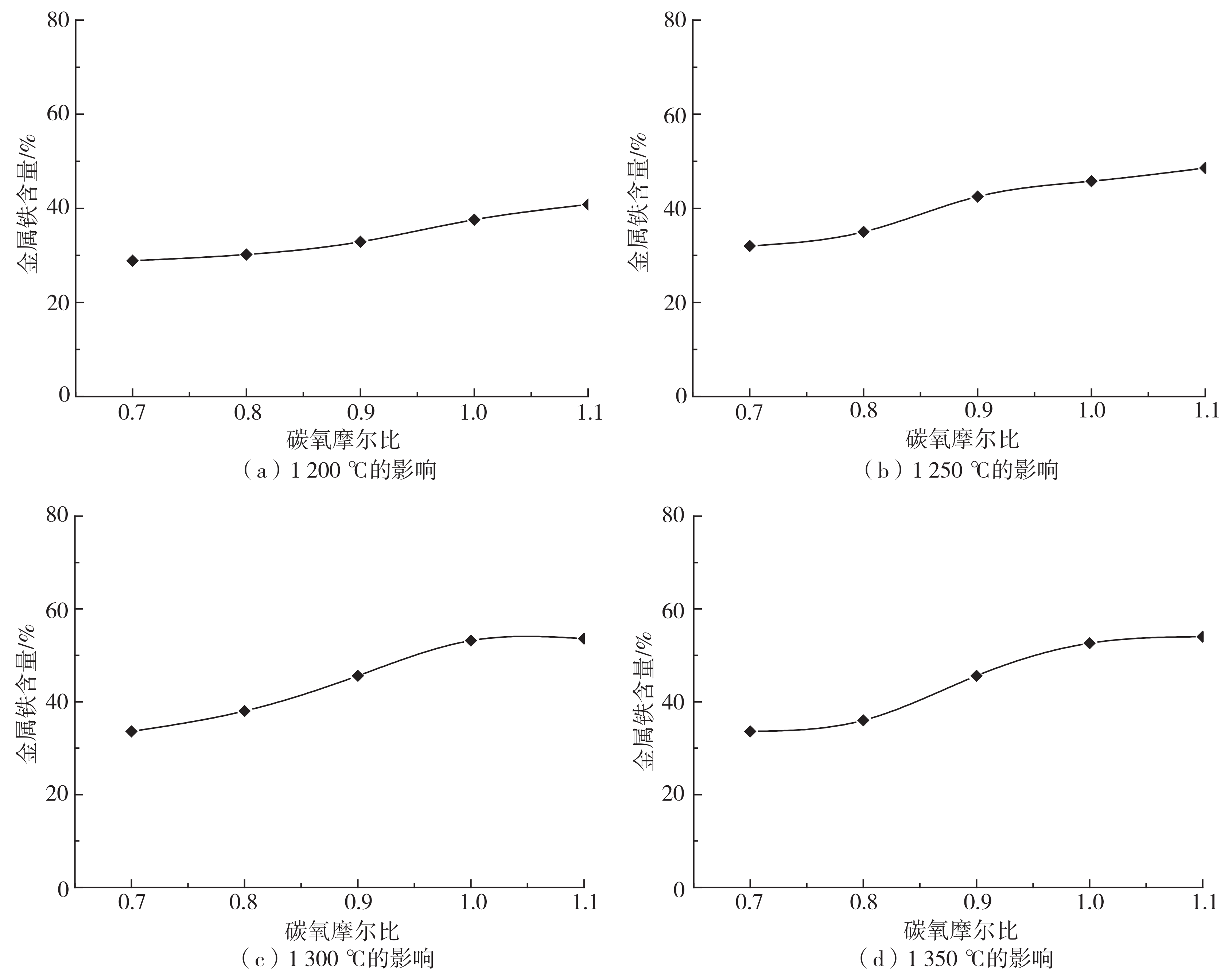
2.1.1 C/O對球團金屬鐵含量的影響
在生球團C/O為0.7、0.8、0.9、1.0、1.1,還原溫度1 200~1 350 ℃,還原時間20 min的條件下,對球團進行還原實驗,研究了不同溫度下C/O對球團中金屬鐵含量的影響。
C/O對球團還原效果的影響見圖1。可以看出,C/O對球團的還原有較大的影響。不同溫度下,隨著C/O比的增大,金屬鐵含量有明顯的增大趨勢。以1 300 ℃為例,隨著C/O從0.7提高到1.1,金屬鐵則從36%提高到53.6%;碳含量是影響球團還原的重要因素,這與研究中當C/O大于1含碳球團才能獲得高的金屬化率相符。這是因為C/O越高,碳在球團中的體積比就越大,由于提高了碳和金屬氧化物的接觸面積,因此,加速了金屬氧化物與碳之間的固-固還原反應。同時大量碳的存在促進了碳的氣化反應的進行,提高了球團內CO的分壓,保證了球團內部的還原氣氛,從而增大了還原速率。C/O為1.0和1.1的球團的金屬鐵含量基本一樣,也就是說C/O為1.0時還原劑碳的利用比較充分,再增加碳的含量,對球團中金屬氧化物的還原促進作用并不明顯。
圖1 碳氧比對球團金屬鐵含量的影響
2.1.2 還原時間對球團中金屬鐵含量的影響
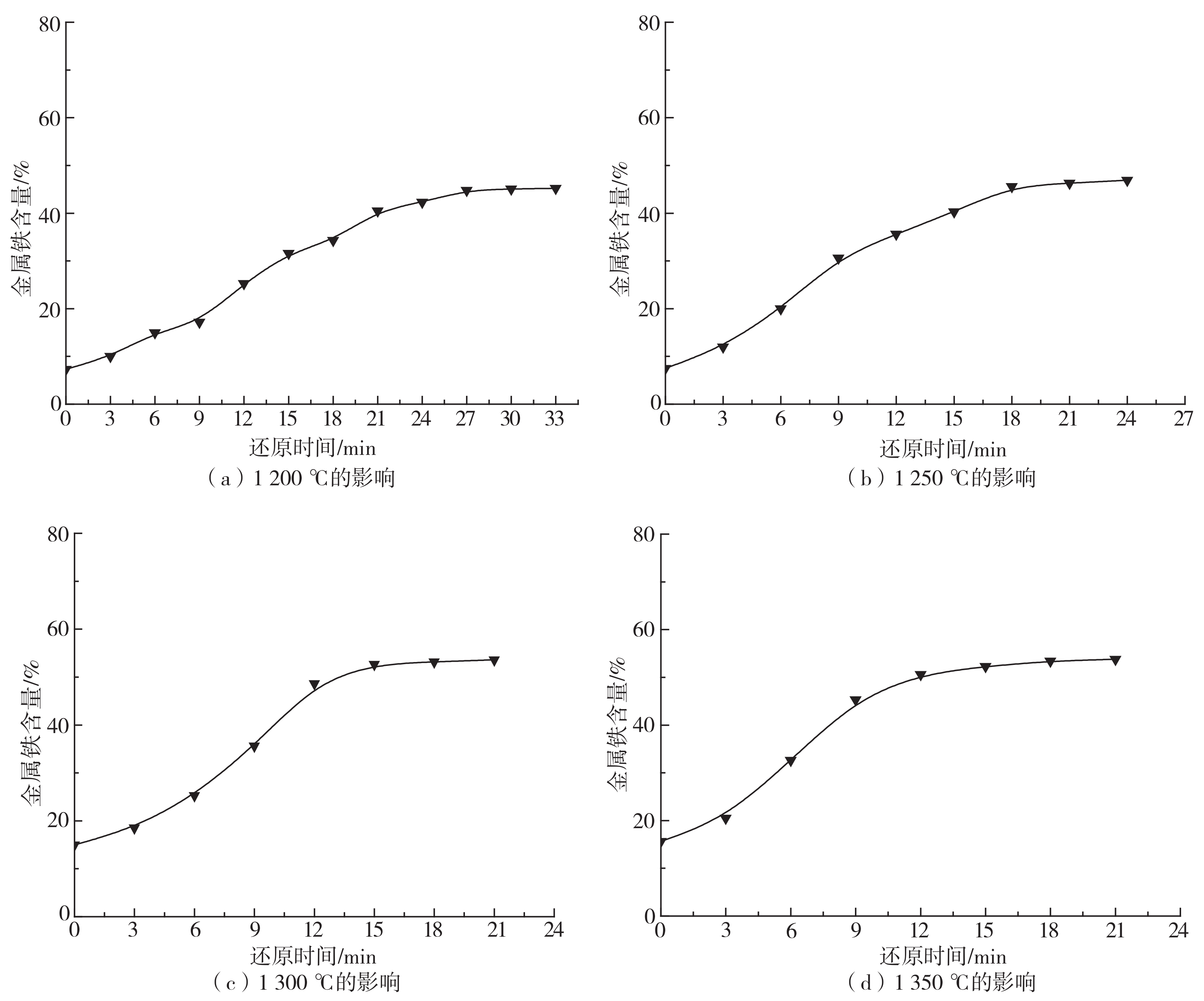
在生球團C/O為1.0,還原溫度1 200~1 350 ℃,還原時間為3~21 min(間隔3 min)條件下,對球團進行還原實驗,研究了不同溫度下還原時間對球團中金屬鐵的影響。
還原時間對球團金屬鐵的影響見圖2。可以看出,球團的金屬鐵含量隨還原時間的增加而提高,以1 300 ℃為例,當還原18 min時,金屬鐵含量可達53.1%。在還原18~21 min時,金屬鐵含量基本趨于穩定值,繼續延長還原時間,效果并不明顯。
圖2 還原時間對球團金屬鐵含量的影響
2.1.3 還原溫度對球團中金屬鐵含量的影響
在生球團C/O為1.0,還原時間20 min,還原溫度分別為1 200、1 250、1 300、1 350 ℃條件下,對球團進行還原實驗,研究了還原溫度對球團還原效果的影響。
圖3 還原溫度對球團金屬鐵含量的影響
還原溫度對球團還原效果的影響見圖3。可以看出,在1 200~1 350 ℃溫度范圍時,隨著溫度的升高,球團中金屬鐵含量增加很快,溫度在1 200 ℃時,球團的金屬鐵含量僅為35.6%;溫度提高到1 350 ℃時,球團的金屬化率增加到了53.8%。在1 200、1 250和1 300 ℃,還原球團的外形都保持良好,1 350 ℃的還原球團的表面出現局部熔融現象,這是因為隨著溫度的升高,反應生成的FeO與SiO2等物質生產低熔點化合物,出現局部熔融形成渣相。隨著渣相的流動,球團內部的孔隙被阻塞,同時礦粒也被渣相部分包裹。CO需經渣層才能與內部的金屬化合物反應,這使得球團的還原動力學條件惡化,還原速度變慢,從而影響還原反應的進程。這也是該溫度區域內金屬鐵含量變化不大的主要原因。同時因為渣相阻塞了球團中的孔隙,使得球團內部產生的氣體不能克服阻力及時排出,氣體處于積蓄狀態,持續一段時間,積蓄的氣體就會一次爆發,導致球團破裂。因此,還原溫度并不是越高越好,在1 300 ℃,球團的金屬鐵含量能夠達到良好的效果。
2.2 C/O、還原時間對高含碳金屬化球團的強度和殘碳含量的影響
本研究分析了1 300 ℃條件下C/O和還原時間對球團強度和殘碳含量的影響,確定最優實驗參數使得高含碳金屬化球團性能滿足微電解填料性能的要求。
2.2.1 C/O對球團強度的影響
C/O對球團強度的影響見圖4。實驗所用的生球團C/O為0.7、0.8、0.9、1.0、1.1,還原溫度1 300 ℃,還原時間20 min。
圖4 碳氧摩爾比對球團強度的影響
從圖4可以看出,C/O對球團的強度有較大的影響。隨著C/O從0.7提高到1.1,球團強度均是先增高后降低。在C/O為0.9時,最大值達到3 615.9 N·個−1,這是球團中鐵相的密集程度增加到最大和孔隙率降至最小的結果。具體聯系污水寶或參見http://www.bnynw.com更多相關技術文檔。
隨著C/O的增大,球團內部的還原氣氛逐漸增強,金屬鐵不斷增高,金屬鐵逐漸被還原出來,金屬相數量逐漸增多,FeO的含量逐漸減少。由于金屬氧化物的還原在球團中留下的孔隙增多,但金屬鐵及鐵的氧化物大片連晶,對孔隙有填充作用,從整體上看孔隙率降低,球團強度增加。當C/O繼續增加時,FeO的含量繼續下降,然而球團中的殘余C量卻逐漸增多。C/O為1.0的金屬化球團中雖然金屬鐵連晶更多更密,然而由于殘余C的大量存在及脈石均勻分布在金屬鐵的周圍,在球團冷凝固結時,成千上萬的晶粒同時生成,它們互相排擠,各種礦物的膨脹系數又不相同,因而在晶粒之間產生內應力,使球團強度稍有降低,但是球團強度已達2 280 N·個−1,滿足了微電解填料強度性質要求。同時,可以看出隨著C/O的增加,球團中的殘碳含量是逐漸增加的,在C/O為1.0時,殘碳含量達到15.5%,滿足微電解填料中碳含量的要求。
2.2.2 還原時間對球團強度和殘碳含量的影響
還原時間對球團抗壓強度和殘碳含量的影響見圖5。實驗所用的生球團C/O為1.0,溫度1 300 ℃,還原時間為3~21 min(間隔3 min)。
圖5 還原時間對球團強度的影響
從圖5可以看出,1 300 ℃溫度條件下,抗壓強度在還原的最初10 min中內緩慢增加,之后強度迅速提高。球團中殘余C量在最初的12 min迅速降低,之后降低緩慢,幾乎趨于一個穩定值。隨著還原時間的延長,還原越徹底,金屬鐵含量越高。在還原15~21 min時,球團的金屬鐵含量接近最大值,球團中鐵相增多且密集程度增大;同時由于還原12~15 min時,球團的殘余C量幾乎降到最低點,減少了過剩C對球團強度的負面影響,所以使得球團強度在還原10 min后迅速增加。1 300 ℃下還原21 min時,球團強度可達2 283 N·個−1。
通過2.1和2.2分析可知,在1 300 ℃,C/O為1.0,還原時間20 min條件下制備的高含碳金屬化球團的金屬鐵含量達到良好效果,球團的強度可達2 280 N·個−1,殘碳含量達15.5%,為最佳制備工藝。
2.3 高含碳金屬化球團空隙率及比表面積實驗分析
分析了1 300 ℃條件下,C/O為1.0,還原時間20 min的高含碳金屬化球團的空隙率和比表面積,球團的宏觀物理性質如表2所示,比表面積如表3所示。
表2 球團的宏觀物理性質
由表2可知,高含碳金屬化球團具有較大的空隙率,可達63%,表明填料內部呈疏松多孔狀態,與廢水的接觸面積變大;填料的表觀密度為3 130 kg·m−3。填料堆積密度為1 160 kg·m−3,不易被壓實板結,有利于曝氣、反沖洗,可以預見其具有良好的抗板結能力,屬新型投加式無板結微電解材料。
BET比表面積是指依據BET多分子層等溫吸附方程測定出的固體物質的比表面積。從表3可以看出,微電解填料的BET比表面積達18.35 m2·g−1,平均孔徑5.416 nm,填料為多孔微孔結構,比表面積較大。由研究[12]可知,比表面積越大,與廢水的接觸面積越大,反應越充分,廢水的處理效果越好。
表3 BET和孔結構參數
2.4 高含碳金屬化球團表面形貌分析
采用掃描電鏡對1 300 ℃條件下,C/O為1.0,還原時間20 min制備的高含碳金屬化球團表面進行了掃描分析,放大倍數為1 000 倍和2 000 倍。由圖6可知,填料的表面結構疏松多孔,廢水在流經過程中,有利于填料與廢水的充分接觸混合,進而提高微電解反應效率,由圖6可知填料內部結構并非致密結構,內部結構呈現小球狀,相對之間存在較大的孔隙,使其填料有較大的吸水率。
圖6 球團的表面形貌
3 焦化廢水處理效果實驗
實驗對在1 300 ℃,C/O為1.0,還原時間20 min條件下制備的高含碳金屬化球團與傳統微電解填料的焦化廢水處理效果進行了比較分析。廢水為某焦化廠的焦化廢水,工藝為原水微電解(120 min)+Fenton(H2O2比例1‰)催化氧化,反應器中焦化廢水量為3 L,填料的配加量為2.5 kg。初始pH調整到3.0,曝氣時間60 min,取上清液進行測定。處理效果如表4所示。由表4可知,高含碳金屬化球團對焦化廢水的處理效果明顯優于傳統微電解填料,COD去除率可達63%,B/C值明顯提高,提高了廢水的可生化性。
表4 焦化廢水處理效果
4 結論
1)利用冶金廢棄粉塵在1 300 ℃,C/O為1.0,還原時間20 min條件下制備的微電解填料的金屬鐵含量可達53.6%,強度可達2 280 N·個−1,殘碳含量達15.5%,為最佳制備工藝。
2)在1 300 ℃,C/O為1.0,還原時間20 min制備微電解填料,表觀密度為3 130 kg·m−3,堆積密度為1 160 kg·m−3,空隙率達63%,比表面積達18.35 m2·g−1,表面結構疏松多孔,不易板結。對焦化廢水的處理效果明顯好于傳統微電解填料,COD去除率可達63%,B/C值明顯提高,提高了廢水的可生化性。(來源:環境工程學報 作者:楊慧賢)












