鉻是一種在化工、輕工、合金材料等領域廣泛應用的重要基本原料.據統計, 我國每年工業生產中排放出的含鉻廢水約達40億m3, 因處理難度極大, 嚴重污染生態環境.在水溶液中, 鉻通常以Cr(Ⅲ)或Cr(Ⅵ)的形式存在, 而Cr(Ⅵ)由于會引起突變和致癌, 其毒性遠遠大于Cr(Ⅲ).
去除廢水中鉻的一般方式是首先將Cr(Ⅵ)還原為Cr(Ⅲ)實現鉻的解毒, 隨后Cr(Ⅲ)以Cr(OH)3沉淀形式除去.含鉻廢水的傳統處理技術主要分為兩大類:化學法和物理法.化學法主要包括氧化還原法、電解法等, 但這些方法都需要消耗大量的化學試劑或能源, 極易造成二次污染.物理法主要是依靠吸附劑如活性炭等去除Cr(Ⅵ), 但吸附劑價格貴, 再生能力差, 使用壽命短, 且污染后處理困難, 因而應用也受到了限制.
近年來, 微生物燃料電池(microbial fuel cell, MFC)作為一種通過將微生物降解有機物過程中釋放的化學能轉化為電能的裝置已被證實可用于處理含Cr(Ⅵ)廢水和其它重金屬廢水.利用MFC陰極處理含鉻廢水不需要額外投加碳源, 而是利用陽極氧化分解廢棄有機物傳遞過來的電子和質子把Cr(Ⅵ)還原為Cr(Ⅲ)并產生電能.相較于傳統的廢水處理方法而言, MFC技術在治理污染的同時還能產生一部分電能, 具有反應條件溫和, 高效環保等特點, 是一種很有前途的含鉻廢水處理技術.
然而, MFC陰極處理含Cr(Ⅵ)廢水時Cr(Ⅵ)還原產物Cr(Ⅲ)在陰極電極上會形成不導電的沉淀物質使得陰極電極導電性能逐漸下降并最終失效.因此, 陰極鈍化已經成為制約MFC用于含鉻廢水處理的一大難題.盡管有人提出通過增大陰極電極的比表面積可適量緩解電極鈍化速率, 但鑒于實際廢水中鉻含量很高且處理裝置需長期運行, 這一方法并不現實可行. 2013年, Xafenias等首次提出在生物陰極的中性條件下乳酸鈉可作為Cr(Ⅲ)螯合劑用于減少電極的鈍化, 但由于乳酸鈉同為電子供體, 因此其減少電極鈍化的效果并不明確.另外, 通過投加有機物來減少或消除電極鈍化影響既增加了成本也亦造成二次污染.
有研究表明, MFC陰極同樣可以用來處理含Cu(Ⅱ)廢水, 經過處理后產物主要以單質Cu和Cu2O的形式附著在陰極電極上.鑒于單質Cu是一種良好的導電物質且Cu2O是一種半導體, 若MFC陰極同時處理Cr(Ⅵ)和Cu(Ⅱ), Cu(Ⅱ)還原產物的形成或許能在一定程度上減緩Cr(Ⅲ)鈍化電極的影響.另外, 由于Cr(Ⅵ)和Cu(Ⅱ)也通常共存于實際重金屬廢水中, 因此將MFC用于Cr(Ⅵ)和Cu(Ⅱ)的共同去除值得進一步研究.
綜上, 本研究旨在利用雙室MFC反應器, 探討含Cu(Ⅱ)廢水的添加對MFC陰極處理含Cr(Ⅵ)廢水的影響:分別考察了不同Cr(Ⅵ)/Cu(Ⅱ)復配濃度比和不同外電阻對MFC陰極去除Cr(Ⅵ)的影響; 并將MFC處理Cr(Ⅵ)/Cu(Ⅱ)復合廢水與單獨處理含Cr(Ⅵ)廢水和含Cu(Ⅱ)廢水進行了比較; 通過結合MFC產電性能分析、陽極COD及陰極重金屬去除效能分析、陰極電極電鏡掃描附加能譜分析及X射線光電子能譜分析等進一步揭示了其影響機制.
1 材料與方法1.1 MFC實驗裝置
本實驗MFC裝置由有機玻璃制成, 用雙極膜(38.5 cm2, 北京廷潤膜技術開發公司)將之分隔為陽極室和陰極室, 有效體積均為70 mL.陰陽極電極均為石墨碳氈(5 cm × 5 cm, 湖南九華碳素高科有限公司), 使用前經35% HNO3多次處理以去除殘留重金屬離子, 陰陽極通過鈦絲相連, 外接電阻為1 000 Ω(外電阻實驗除外).
1.2 MFC的啟動及運行
MFC以連續運行8個月的MFC陽極出水作為陽極菌種來源, 按接種比例為1:2(陽極出水:陽極液), 陽極液為COD=1 000 mg·L-1的葡萄糖人工廢水(0.31 g·L-1 NH4Cl; 2.452 g·L-1 NaH2PO4·H2O; 4.576 g·L-1 Na2HPO4; 0.13 g·L-1 KCl; 1 g·L-1 C6H12O6·H2O; pH=7.0), MFC啟動前陰極室添加40 mmol·L-1鐵氰化鉀磷酸緩沖液(2.452 g·L-1 NaH2PO4·H2O; 4.576 g·L-1 Na2HPO4; 0.13 g·L-1 KCl; pH 7.0) 對陽極產電生物膜進行馴化, MFC于25℃批式運行, 3~4 d更換一次陰陽極液, 待連續兩個周期MFC產電穩定, 即視為MFC陽極啟動成功.
MFC陽極啟動成功后, 更換新的陰極電極, 陰極液根據實驗需求更換為不同的重金屬廢水, HCl調節陰極液pH至2.5, 陰極室保持厭氧, 其它運行條件同上所述.
1.3 實驗內容
考察含Cu(Ⅱ)廢水對MFC陰極處理含Cr(Ⅵ)廢水的影響, 在MFC陰極分別加入Cr(Ⅵ)/Cu(Ⅱ)質量濃度配比為2:1(100 mg·L-1:50 mg·L-1)、1:1 (50 mg·L-1:50 mg·L-1)、1:2(50 mg·L-1:100 mg·L-1)、1:4(100 mg·L-1:400 mg·L-1)的復合廢水(CrCu組), 并每組均以MFC陰極單獨處理相應濃度Cr(Ⅵ)廢水(Cr組)和單獨處理相應濃度的含Cu(Ⅱ)廢水(Cu組)作為對照, 探討MFC產電、陰極Cr(Ⅵ)和Cu(Ⅱ)及陽極COD的去除情況.
考察不同外電阻條件下含Cu(Ⅱ)廢水對MFC陰極處理含Cr(Ⅵ)廢水的影響, 在MFC陰極處理Cr(Ⅵ)/Cu(Ⅱ)濃度配比為1:4(100 mg·L-1:400 mg·L-1)的鉻銅復合廢水時, 外電阻分別設置為10、500、1 000、2 000 Ω, 并每組均以MFC陰極單獨處理100 mg·L-1的Cr(Ⅵ)廢水(Cr組)和單獨處理濃度為400 mg·L-1的含Cu(Ⅱ)廢水(Cu組)作為對照.
以上所有實驗均進行3個平行樣重復, 實驗結果取平均值.
1.4 分析方法
采用Excel 2010對實驗數據進行統計, Origin 8.5進行繪圖, 采用SPSS 20.0對實驗數據進行差異性分析(當P<0.05視作差異顯著), 實驗數據均采用平均值±標準偏差表示.
輸出電壓(U)由Keithley 2700數據采集器(美國Keithle儀器公司)每隔10 min自動采集并保存.
采用穩態放電法測定MFC的極化曲線.通過測量MFC在不同外電阻(5 000 Ω~30 Ω)條件下, 得到穩定放電時的各外電阻條件下的電壓U, 通過歐姆定律進一步得到極化曲線及功率密度曲線.
六價鉻的測定方法采用二苯碳酰二肼分光光度法(GB/T7467-1987).
二價銅的測定采用火焰原子吸收分光光度法(WFX-130, 北京瑞利分析儀器公司).
化學需氧量(COD)測定方法采用重鉻酸鉀法(GB 11914-89).
陰極電極表面形態通過掃描電鏡附加能譜(SEM-EDS, Hitachi S-4800, 日本)進行觀察及表面元素分析.
陰極電極表面物質成分通過X射線光電子能譜儀(XPS, PHIQuantera Ⅱ, 日本)進行分析.
2 結果與討論2.1 MFC產電情況
圖 1為Cr(Ⅵ)/Cu(Ⅱ) 4個濃度配比下MFC的輸出電壓情況.從中可知, 隨著復配Cu(Ⅱ)濃度比例的增加, 各組MFC的輸出電壓水平也隨著提高, 濃度配比為1:4條件下, 各組MFC獲得的最大輸出電壓分別為(468.3±23.4) mV(CrCu組)、(404.34±8.73) mV(Cr組)、(394.44±5.8) mV(Cu組), 均高于其他條件下對應的各組MFC的輸出電壓.從圖中還可以看出, 不同濃度配比條件下, CrCu組輸出電壓均大于Cr組和Cu組, 在濃度配比為1:4時, CrCu組最大輸出電壓為Cr組的1.16倍, 是Cu組的1.19倍.

由功率密度曲線和極化曲線計算出各MFC最大功率密度及表觀內阻, 并通過SPSS 20.0對各組數據進行顯著性差異分析, 得到表 1.從中可以看出在各不同濃度配比條件下CrCu組、Cr組及Cu組的最大功率密度和表觀內阻之間均存在顯著性差異, CrCu組最大功率密度明顯高于Cr和Cu組, 在復配濃度比為1:4時, CrCu組[(145.23±3.30) mW·m-2]較Cr組[(93.82±3.16) mW·m-2]提高了55.86%, 較Cu組[(80.02±4.81) mW·m-2]提高了81.47%.從表 1還可以看出CrCu組最大功率密度也隨著復配Cu(Ⅱ)濃度比例的增加而遞增, 濃度配比為1:4時CrCu組獲得最高的最大功率密度[(145.23±3.30) mW·m-2], 較濃度配比2:1時[(56.32±2.76) mW·m-2]提高了1.56倍.而且Cr(Ⅵ)Cu(Ⅱ)濃度配比為1:4時, CrCu組的表觀內阻最小, 僅為(136.27±5.13)Ω, 較濃度配比2:1時[(274.10±12.79)Ω]降低了50.28%.牟姝君等通過在MFC陰極液(1 g·L-1 KCl)中添加Cu(Ⅱ), 探討了Cu(Ⅱ)對MFC產電的影響, 結果顯示陰極添加Cu(Ⅱ)可顯著降低陰極反應的活化內阻及表觀內阻, 從而提高MFC的產電效率.
表 1 Cr(Ⅵ)/Cu(Ⅱ)濃度配比對MFC最大功率密度及表觀內阻的影響
綜上, 與MFC單獨處理含Cr(Ⅵ)廢水相比, 陰極添加含Cu(Ⅱ)廢水能提高MFC的產電性能, 且Cu(Ⅱ)濃度添加比例越大, 提高越顯著.
2.2 MFC陰極Cr(Ⅵ)去除情況
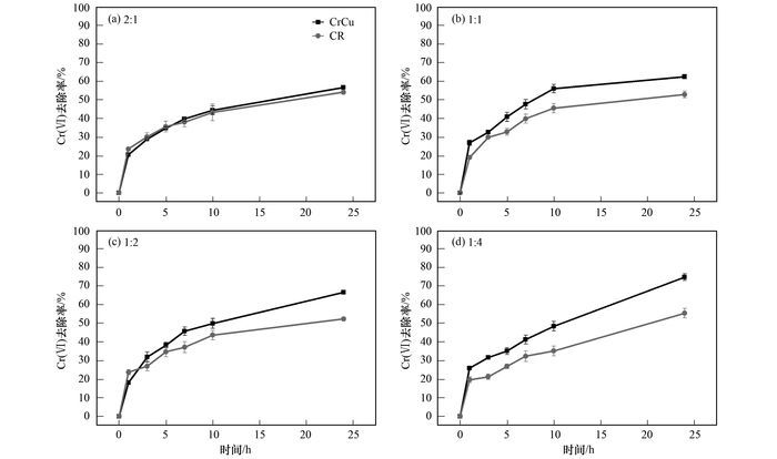
圖 2為不同Cr(Ⅵ)/Cu(Ⅱ)濃度配比條件下各組MFC陰極Cr(Ⅵ)的去除情況, 從中可知, 隨著運行時間的延長, 各組MFC陰極Cr(Ⅵ)的去除率逐漸增加.在各Cr(Ⅵ)/Cu(Ⅱ)濃度配比條件下, CrCu組去鉻率均高于Cr組, 說明在MFC處理的Cr(Ⅵ)廢水中復配Cu(Ⅱ)廢水能提高Cr(Ⅵ)的去除效果.通過SPSS 20.0對各濃度配比條件下CrCu組和Cr組Cr(Ⅵ)的去除率進行顯著性差異分析, 結果如表 2所示, 在Cr(Ⅵ)/Cu(Ⅱ)濃度配比為2:1時, 兩組Cr(Ⅵ)的去除率不存在顯著性差異, 說明此條件下Cu(Ⅱ)對強化MFC的去鉻效果尚不明顯, 當隨著復配Cu(Ⅱ)濃度比例的進一步提高(1:1、1:2、1:4), CrCu組與Cr組Cr(Ⅵ)的去除率存在顯著性差異, CrCu組Cr(Ⅵ)的去除率明顯高于Cr組, 且復配Cu(Ⅱ)濃度比例越高, Cu(Ⅱ)對MFC的去鉻效果的強化作用越顯著, 在Cr(Ⅵ)/Cu(Ⅱ)濃度配比為1:4時, CrCu組Cr(Ⅵ)的去除率(74.75%±1.82%)較Cr組(55.40%±2.60%)提高了34.92%.

Cr(Ⅵ)/Cu(Ⅱ)復配濃度比為2:1、1:1、1:2、1:4
圖 2 不同Cr(Ⅵ)/Cu(Ⅱ)復配濃度比條件下各組MFC陰極Cr(Ⅵ)的去除率
表 2 不同Cr(Ⅵ)/Cu(Ⅱ)復配濃度比條件下各組MFC陰極Cr(Ⅵ)的去除率/%
2.3 MFC陰極Cu(Ⅱ)及陽極COD去除情況
圖 3為不同Cr(Ⅵ)/Cu(Ⅱ)濃度配比條件下CrCu組及Cu組Cu(Ⅱ)的去除情況.從中可知, 反應24 h后, CrCu組Cu(Ⅱ)去除率均在50%以上, 表明MFC在去除Cr(Ⅵ)的同時, 也能有效地去除Cu(Ⅱ), 進一步證明了MFC可用于復合重金屬廢水的處理.而在各濃度配比條件下, CrCu組與Cu組Cu(Ⅱ)的去除率存在顯著性差異, CrCu組Cu(Ⅱ)的去除率明顯低于Cu組, 尤其在濃度配比為2:1條件下, CrCu組Cu(Ⅱ)的去除率為(62.02%±3.10%), 較Cu組(91.72%±3.73%)降低了32.38%.分析其原因可能是Cu(Ⅱ)的加入使得Cr(Ⅵ)和Cu(Ⅱ)在陰極競爭電子進行還原, 降低了Cu(Ⅱ)的去除效率; 另一方面有可能是Cr(Ⅵ)還原產物引起的電極鈍化現象影響Cu(Ⅱ)的去除效率.

不同字母表示不同組Cu(Ⅱ)去除率有顯著性差異(P<0.05)
圖 3 不同Cr(Ⅵ)/Cu(Ⅱ)復配濃度比條件下各組MFC陰極Cu(Ⅱ)的去除率
MFC在陰極處理重金屬廢水的同時, 陽極也能同步處理有機廢水, COD的去除是用來衡量其處理有機廢水能力的指標, 因此本文同樣考察了MFC陽極COD的去除情況.如表 3所示, 運行24 h后CrCu組陽極COD去除率略高于Cr組和Cu組, 其中以Cr(Ⅵ)/Cu(Ⅱ)濃度配比為1:4時CrCu組陽極COD去除率最高(49.51%±1.91%), 這表明了MFC同步處理有機廢水和復合重金屬廢水的應用前景.
表 3 不同Cr(Ⅵ)/Cu(Ⅱ)復配濃度比條件下的陽極COD去除率/%
2.4 外電阻對MFC陰極處理Cr(Ⅵ)、Cu(Ⅱ)復合廢水的影響
在Cr(Ⅵ)/Cu(Ⅱ)復合廢水濃度配比為1:4條件下, 分別考察外電阻為10、500、1 000、2 000 Ω時對MFC陰極Cr(Ⅵ)、Cu(Ⅱ)的去除影響.從圖 4(a)可知, 隨著外電阻的降低, CrCu組MFC陰極Cr(Ⅵ)的去除率呈上升趨勢, 而Cr組在外電阻10~2 000 Ω范圍內Cr(Ⅵ)的去除情況受外電阻的影響不大.在不同外電阻條件下, CrCu組與Cr組之間的Cr(Ⅵ)去除率存在顯著性差異, CrCu組Cr(Ⅵ)的去除率明顯高于Cr組, 且外電阻越小, CrCu組較Cr組去鉻效果提升越明顯.在外電阻為10 Ω時, CrCu組Cr(Ⅵ)去除率達91.00%±0.34%, 而Cr組僅為39.13%±0.37%, CrCu組較Cr組提高了132.57%.從圖 4(b)可知, MFC陰極Cu(Ⅱ)的去除率同樣隨著外電阻的降低而升高, 在外電阻為10 Ω時, Cu組的去除率達90.69%±1.64%, 較外電阻為2 000 Ω時Cu組(55.60%±3.14%)提高了63.11%.靳敏等采用MFC處理含銅廢水得到類似的結果, 外電阻越小Cu(Ⅱ)的去除效果越佳, 可能是較小的外阻可以降低胞外電子傳遞阻力, 增加電子傳遞速率, 因此電流隨著外阻的降低而增大, 增加的電子則更有利于陰極氧化物的還原.

不同字母表示不同組Cu(Ⅱ)去除率有顯著性差異(P<0.05)
圖 4 MFC在不同外電阻下Cr(Ⅵ)、Cu(Ⅱ)的去除率
綜上所述, 隨著外電阻的降低, MFC去銅能力得到提升, 而Cr組MFC去鉻能力受外電阻的影響較小, CrCu組去鉻能力卻隨著外電阻的降低而增強.因此表明CrCu組去Cu(Ⅱ)能力的提升促進了Cr(Ⅵ)的去除, 再次證實了Cu(Ⅱ)對MFC陰極去鉻的強化作用.
2.5 陰極電極SEM分析及XPS分析
實驗結束后, 將各組MFC陰極電極取出進行SEM-EDS分析.如圖 5所示, 各電極表面均有明顯的固體物質附著, CrCu組[圖 5(a)]附著物明顯比其他兩組較多且較厚, CrCu組和Cr組[圖 5(b)]附著物均呈團聚塊狀不均勻分布, 而Cu組[圖 5(c)]附著物則均勻分布于電極表面.通過EDS對電極表面附著物進行元素分析可知, CrCu組電極表面附著物中檢測到了Cr、Cu、O元素; Cr組附著物中檢測到了Cr、O元素; Cu組附著物中檢測到了Cu、O元素.根據所檢測到的元素原子比例推測Cr組附著物含Cr2O3, Li等通過對電極上的附著物進行分析確定了電極上的附著物質為Cr2O3. Cu組附著物根據元素原子比例推測其可能為Cu單質和Cu2O的混合物, 印霞棐等和Zhang等通過XRD分析確定了MFC陰極Cu(Ⅱ)還原產物為Cu單質和Cu2O.由此可以初步確定MFC陰極電極附著物中含Cr物質為Cr2O3, 含Cu物質為Cu和Cu2O.

圖 5 各MFC陰極電極表面SEM-EDS圖譜
最后, 本文利用XPS對CrCu組電極附著物進行了進一步分析. 圖 6(a)為CrCu組電極表面附著物的XPS全掃描圖譜, 表明附著物主要含有C、O、Cr、Cu這4種元素. 圖 6(b)及6(c)分別為Cr2p和Cu2p的窄譜掃描圖.如圖 6(b)所示, 在結合能為576.7 eV和586.4 eV處分別出現了Cr2p1/2和Cr2p3/2的特征峰, 對照XPS譜圖庫可知該物質為Cr2O3, 因此確認了Cr(Ⅵ)在MFC陰極的還原產物為Cr2O3.而如圖 6(c)所示, 在結合能為932.2 eV處出現Cu2p3/2的特征峰, 對照XPS譜圖庫可知該物質為Cu或Cu2O, 結合EDS結果可以確定Cu(Ⅱ)在MFC陰極的還原產物為Cu單質和Cu2O. Cu單質是一種公認的優良導體, 而Cu2O也是性質優良的半導體材料, 被廣泛應用于催化制氫、超導、太陽能電池、光催化材料、光電轉化開關、光信息存儲介質及傳感器等領域.因此Cu(Ⅱ)還原產物在陰極電極的附著可在一定程度上提高電極的導電性能, 減緩Cr2O3引起的陰極鈍化.

圖 6 CrCu組MFC陰極電極表面附著物XPS圖譜
綜上所述, Cr(Ⅵ)在MFC陰極還原為不導電的Cr2O3, 隨著反應的進行, Cr2O3在陰極電極表面的附著使得電極導電性能下降, 阻礙了Cr(Ⅵ)進一步的快速還原.當陰極同時添加Cu(Ⅱ)時, 其還原產物Cu單質和Cu2O在電極上的附著則可在一定程度上提高電極的導電性能, 減緩陰極鈍化現象, 從而強化MFC的陰極去鉻能力. MFC陰極同步處理鉻銅復合廢水的能力也展示了其在實際重金屬廢水處理中的應用潛力.具體參見污水寶商城資料或http://www.bnynw.com更多相關技術文檔。
3 結論
(1) 在MFC陰極處理Cr(Ⅵ)廢水的同時, 添加一定濃度配比的Cu(Ⅱ)廢水能強化MFC陰極去鉻的能力.在實驗所設置Cr(Ⅵ)/Cu(Ⅱ)濃度配比(2:1、1:1、1:2、1:4) 條件下, 隨著復配Cu(Ⅱ)濃度比例的增加, MFC陰極的Cr(Ⅵ)去除率隨之增加.在Cr(Ⅵ)/Cu(Ⅱ)濃度配比為1:4時, CrCu組MFC陰極Cr(Ⅵ)去除率達74.75%, 較Cr組MFC提高了34.92%.
(2) 選取Cr(Ⅵ)/Cu(Ⅱ)濃度配比為1:4, 在所設置外電阻(10、500、1 000、2 000 Ω)條件下, Cu(Ⅱ)對MFC陰極去鉻的強化作用隨著外電阻的降低而顯著.在外電阻為10 Ω時, CrCu組MFC陰極Cr(Ⅵ)去除率達91.00%, 較Cr組提高了132.57%.
(3) 對反應后的陰極電極進行SEM-EDS及XPS分析, 結果表明Cr(Ⅵ)在MFC陰極的不導電還原產物Cr2O3附著于電極表面容易引起電極鈍化.當陰極同時添加Cu(Ⅱ)時, 其還原產物Cu單質和Cu2O在電極上的附著則可在一定程度上提高電極的導電性能, 減緩陰極鈍化現象, 從而強化MFC的陰極去鉻能力.





