水平潛流人工濕地(horizontal subsurface flow constructed wetlands, HSSFCWs), 已被廣泛用于工業、農業、生活污水以及城市地表徑流的處理中.前人利用數值模擬方法結合實驗研究結果表明, 基質結構對人工濕地(constructed wetlands, CWs)水力性能及凈化效率影響顯著, 由上到下填料滲透系數逐漸增加的分層填充方式能有效避免短流及死區的發生, 提高系統水力效率, 從而提高凈化效果.值得注意的是, 基質結構的差異在提升系統性能的同時, 勢必會引起床體中微生物種群及結構的差異, 而目前國內外對于這方面的研究還鮮有報道.鑒于此, 本課題組以連續運行的分層結構及單層結構人工濕地系統為研究對象, 研究不同基質結構人工濕地系統凈化性能的差異及微生物群落結構分布差異, 并利用PCA分析其與床體微生物種群結構分布的相關性.
1 材料與方法 1.1 實驗裝置
構建3個尺寸相同的人工濕地實驗裝置(CW1、CW3及CW6), 長、寬、高分別為2、1及0.6 m(圖 1), 種植植物為美人蕉.床體分為3部分, 左右兩端分別為0.2 m的布水區和集水區, 主體填料區長度為1.6 m, 填充不同粒徑的石英砂.其中:① CW1為單層人工濕地, 由顆粒尺寸≤6 mm的混合石英砂組成, 其水力傳導率K為65 m ·d-1; ② CW3為3層結構的人工濕地, 每層厚度相等, 均為0.2 m, 石英砂粒徑從表層到底層分別為≤0.6、0.4~0.6和1.0~3.0 mm, 相應的K值分別為26、36和64 m ·d-1; ③ CW6為六層結構的人工濕地, 每層厚度為0.1 m, 從表面到底部, 石英砂粒徑分別為≤0.6、0.4~0.6、0.6~0.9、0.9~2.0、2.0~4.0和4.0~6.0 mm, 對應的K值分別為26、36、43、55、75和176 m ·d-1. 3個人工濕地在相同條件下運行處理校園生活污水, 水力停留時間(HRT)均為1.5 d, 進水中水質參數如表 1所示.

圖 1 人工濕地實驗裝置示意
表 1 3個人工濕地進水的物理參數
1.2 采樣
實驗裝置建于2012年, 連續運行至今.本實驗時間為2015年3~8月, 運行期間每周測定3個人工濕地進出水水質(國標法).于2015年7月分別從3個CWs距離進水口40 cm和160 cm處的A和B不同深度(10, 30和50 cm)采集填料樣品(圖 1), 每個采樣點取3個樣品, 除去樣品中植物根或碎屑, 儲存在聚乙烯袋中, 然后立即轉移至實驗室中進行后續分析.
1.3 DNA提取和高通量測序
采用Mo Bio公司的Power Soil DNA分離試劑盒提取18個樣品中的DNA.采用1%的瓊脂糖凝膠電泳檢測提取的細菌總DNA.對16S rRNA基因的V3~V4高變區片段進行PCR擴增, 引物序列為515F(GTGCCAGCMGCCGCGGTAA)和909R (CCCCGYCAATTCMTTTRAGT).擴增條件為:95℃預變性2 min, 接著進行25個循環, 包括95℃變性30 s, 55℃退火30 s, 72℃延伸30 s; 循環結束后72℃最終延伸5 min.每個樣本3個重復, 將同一樣本的PCR產物混合后用2%瓊脂糖凝膠電泳檢測, 全部樣品使用AxyPrepDNA凝膠回收試劑盒(AXYGEN公司)切膠回收PCR產物, Tris_HCl洗脫; 2%瓊脂糖電泳檢測.隨后在生工生物工程(上海)股份有限公司的Illumina MiSeq平臺上進行高通量測序分析, 得到原始圖像數據文件經CASAVA堿基識別分析轉化為原始測序序列, 結果以FASTQ文件格式儲存.利用Mothur對原始序列進行校正, 去除序列中的嵌合體, 得到優化序列; 在97%的相似性水平上將序列劃分可操作分類單元(operational taxonomic units, OTUs); 采用RDP Classifier貝葉斯算法對97%相似水平的OUT代表序列進行分類分析, 并在各個分類水平上統計每個樣品的群落組成; 利用主成分分析(PCA)分析各床體微生物種群結構分布的相關性.
1.4 數據處理
實驗數據統計分析采用軟件Excel 2010和SPSS 20.0進行水質分析和主成分分析.
2 結果與討論 2.1 不同基質結構人工濕地凈化效果
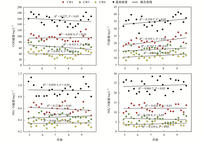
CW1、CW3及CW6對COD、TN、NO3--N及NH4+-N的去除效果如圖 2所示, 從中可見, 3個系統對有機物、和含氮污染物都有明顯的降解梯度.其中CW6去除效率最高, 其出水中以上4種污染物的平均濃度分別為39、11、0.35及4.0 mg ·L-1, 相應的去除率為75%、67%、61%及83%.三者之中, CW1的去除性能最差, 4種污染物的平均去除率分別為39%、39%、34%及49%. CW3的凈化性能介于二者之間, 4種污染物的平均去除率分別為60%、55%、50%、72%.

圖 2 3個人工濕地中COD、TN、NO3--N及NH4+-N進出水濃度分析
由此可見, CW3和CW6系統中從床體表層到底層滲透系數逐漸升高的分層結構可強化人工濕地對COD和含氮污染物的去除能力.其原因在于床體表層的填料滲透系數較小, 能夠有效阻止越流、短流區的形成, 而床體底層的填料粒徑較大, 滲透系數較高, 能夠促進水流的通過, 從而避免該區域死區的形成.在此情況下, 整個床體流場分布趨于均勻, 提高的水力性能有利于充分發揮填料及其上附著的微生物與污染物的接觸時間, 提高傳質效率, 并促進微生物的功能分區, 提高凈化性能, 其結果與Bai等的研究結果一致.
2.2 微生物群落結構
高通量測序方法分析的18個樣品中共得到945 864條高質量序列和20 823個OTUs(按97%的相似度劃分), 涵蓋15門、50綱、115目、230科及910屬. 圖 3為微生物在門類水平上的OTUs分布.從中看出, 3個人工濕地中, 變形菌門(Proteobacteria)和擬桿菌門(Bacteroidetes)的豐度相對較高; 其次分別為綠彎菌門(Chloroflexi)、疣微菌門(Verrucomicrobial)、厚壁菌門(Firmicutes)、酸桿菌門(Acidobacteria)、浮霉菌門(Planctomycetes)和衣原體菌門(Chlamydiae), 它們分別占CW1總數的1%~10%之間; 綠菌門(Chlorobi)、硝化螺旋菌門(Nitrospirae)、螺旋體菌門(Spirochaetae)、放線菌門(Actinobacteria)、Synergistetes以及芽單胞菌門(Gemmatimonadetes)豐度極低( < 1%).比較而言, CW6和CW3的OTUs數量略低于CW1, 考慮原因主要是由于在現有污染物濃度下, 多層結構濕地系統對污染物有較好的凈化效果, 使得污染物濃度沿水流方向呈現出從高到低的梯度代謝規律, 床體各處污染物種類相對簡單, 從而有利于不同功能微生物的分區富集, 使其種類趨于集中.有研究表明, 在水平潛流人工濕地中, 微生物群落數量隨深度和排污口距離的增加而減少.因而, 從床體中OUTs的分布上來看, 一般而言, 進水中較高的營養物質濃度及床體表層中豐富的溶解氧容易造成OTUs在數量上進水端高于出水端, 床體表層高于底層的趨勢, 如圖 3(b)、3(c)所示, 這與Button等的研究結果相似.但對比分析發現CW1在分布上[圖 3(a)], 出水端OTUs數量高于進水, 表明該系統對污染物凈化性能有限, 較多的污染物到達出水端, 造成出水端的OTUs數量較高.

圖 3 3個人工濕地中微生物OTUs分布
從微生物數量及所占比例上來看(圖 4和圖 5), CW1、CW3及CW6中樣品的平均序列數分別為318 125、315 769及302 462.變形菌門(Proteobacteria)和擬桿菌門(Bacteroidetes)作為3個人工濕地系統中的主要菌門, 其在CW1中所占比例分別為61.54%及19.56%, 在CW3中分別占66.76%和13.27%, CW6中分別占66.06%和12.86%.變形菌門(Proteobacteria)作為3個CWs中最為豐富的菌門, 其多為專性或兼性厭氧代謝.之前的相關研究表明, 變形菌門(Proteobacteria)中包含許多與有機物和無機物代謝(如:碳循環, 氮和硫循環)有關的菌屬, 并且在人工濕地中廣泛分布.因而推測CW3和CW6對含氮污染物的去除率高于CW1可能與該系統中較豐富的變形菌門(Proteobacteria)有關.

圖 4 3個人工濕地中18個樣點的序列數量及微生物群落分布
圖 5 3個人工濕地中每個菌門所占比例
人工濕地中含氮污染物的去除機理主要有硝化作用、反硝化作用以及氨氧化作用等.與之相關的微生物主要有氨氧化真菌/細菌、硝化細菌(Nitrifying bacteria)和反硝化細菌(Denitrifying bacteria).通過分析發現, 變形菌門(Proteobacteria)中包含硝化菌屬和絕大多數的反硝化菌屬, 硝化菌屬有Nitrosococcus和Nitrosomonas, 硝化菌屬序列數在3個系統(CW1、CW3和CW6) 中所占比例分別為0.25%、0.26%和0.51%(圖 6); 而反硝化菌屬主要包括Denitratisoma、Pseudomonas、Thauera、Comamonas、Azoarcus、Acidovorax、Rhizobium、Rhodobacter、Hydrogenophaga、Arcobacter、Thiobacillus、Sulfurimonas和Paracoccus, 3個系統中反硝化菌屬序列數所占比例分別為12.5%、14.7%及19.1%(圖 6), 它們對3個系統中含氮污染物的降解起決定性作用.如圖 6所示, CW6中硝化細菌的豐度比例遠遠高于CW1和CW3, 這可能是CW6中氨氮去除率(83%)高于CW1(49%)和CW3(72%)的主要原因.此外, 3個系統中反硝化菌屬豐度均高于硝化菌屬說明硝化作用可能是制約該系統除氮效率的關鍵因素, 這可能是由于水平潛流人工濕地中的缺氧或厭氧環境更適合反硝化細菌生存所致, 此結果與Vymazal的研究結果一致.

圖 6 3個人工濕地中屬水平的菌屬豐度
2.3 變形菌門(Proteobacteria)屬水平主成分分析
鑒于3個系統中變形菌門(Proteobacteria)的含量較高, 存在差異, 并且它與污染物的去除密切相關, 因而對其主要菌屬群進行主成分分析.如圖 7所示, 為3個人工濕地中變形菌門(Proteobacteria)的屬水平PCA分析. PC1和PC2分別占變異總數的34.52%和17.93%, 占PC1比重大的前3種主成分分別為Zoogloea(90.5%, 正相關)、Thiobacillus(89.2%, 正相關)以及Aquabacterium(86.9%, 正相關), PC2的前3種菌屬分別為Bdellovibrio(87.6%, 正相關)、Thauera(77.3%, 正相關)以及Azospira(59.4%, 正相關).其結果顯示, 3個系統在變形菌門(Proteobacteria)屬水平上的微生物群落分布無顯著差異, 而就各濕地進出水端而言, CW3的進水端(A)和出水端(B)及CW6的進水端(A)和出水端(B)的群落結構分別在PC1水平上均呈現顯著差異.樣點A受Azospira以及Denitratisoma影響較大, 而樣點B則更多地被Zoogloea及Thiobacillus影響. Zoogloea是一種有機物代謝菌屬, Thiobacillus則是參與硫代謝的自養型反硝化菌屬, 而Azospira和Denitratisoma則是2種與氮代謝相關的異養反硝化菌屬, 它們的存在依賴于有機物和硝酸鹽的濃度大小. CW3和CW6中進出水端較為明顯的微生物群落代謝差異顯示出含氮污染物(如NO3--N及NH4+-N)和有機物在該系統不同床體區域存在一定降解梯度, 從而導致微生物功能的分區富集.比較而言, CW1的樣品點主要集中在原點附近, 各樣點間的微生物群落結構無顯著性差異, 因而出現3個系統間的凈化差異.這與多層結構對含氮污染物的凈化效率高于單層結果一致.

圖 7 3個人工濕地中變形菌門(Proteobacteria)中屬水平的主成分分析
2.4 物種豐度熱圖
應用Bray-Curtis距離算法和Complete聚類法, 將3個系統中屬水平上主要菌群中的高豐度和低豐度的物種分塊聚集, 通過顏色梯度及相似程度來反映多個樣本在各分類水平上群落組成的相似性和差異性.如圖 8所示, 藍色相似度最差, 紅色相似度最高.結果表明, 最高相似度為18.78%, 整體相似度較低. Denitratisoma、Azospira、Pedosphaera和Thiobacillus均是反硝化菌屬, 其中Denitratisoma、Azospira、Pedosphaera屬于異養型, Thiobacillus是自養型, 它們的生存代謝依賴有機物濃度和硝酸鹽濃度.從圖 8中可以看出, 就整體而言, CW3和CW6中Denitratisoma、Azospira和Thiobacillus等反硝化菌屬的豐度高于CW1, 這有助于提高CW3和CW6系統中硝態氮的去除.而對于單個系統, 3種菌屬的豐度差異分別體現在CW3和CW6的進水端采樣點(A)和出水端采樣點(B), 其原因可能是由于進水中含有豐富的有機物和硝態氮使得異養反硝化菌屬(Denitratisoma和Azospira)富集在CW3和CW6進水端, 相比之下, 由于CW3和CW6對有機物的高效降解使得其出水端以自養型反硝化菌屬(Thiobacillus)為主.此外, CW1的6個采樣點基本處于同一個豐度水平, 其結果與主成分分析結果一致.

圖 8 3個人工濕地中屬水平微生物群落聚類Heatmap具體參見污水寶商城資料或http://www.bnynw.com更多相關技術文檔。
3 結論
(1) 從床體表層到底層滲透系數逐漸升高的多層結構潛流人工濕地對COD、TN、NO3--N及NH4+-N的去除效果相較單層結構有顯著提高.
(2) 多層結構人工濕地床體中微生物種群相對集中, 其OTUs數量略低于單層結構系統, 而變形菌門(Proteobacteria)作為優勢菌門, 所占比例顯著高于單層結構, 且其屬水平上的硝化細菌與反硝化細菌在數量上均高于單層結構濕地.
(3) 主成分分析和豐度熱圖分析結果顯示, 單層結構與多層結構人工濕地的微生物的種群結構在屬水平上無顯著差異, 但多層結構系統(CW3、CW6) 進出水間差異顯著, 主要體現在變形菌門(Proteobacteria)的屬水平上, 從而實現多層結構系統中污染物的高效降解.



