近年來, 日益嚴重的水體富營養化問題已成為全球性的環境問題.水體的富營養化會導致水體中藻類的大量生長繁殖, 不僅會破壞水體的生態平衡, 而且會嚴重地干擾水處理過程.例如, 原水中的大量藻類會堵塞濾床、惡化水質、堵塞或腐蝕管道、增大混凝劑投加量、產生嗅味、藻毒素以及消毒副產物的前驅物等.
目前國內大多數水廠仍然采用傳統的混凝-沉淀-過濾-消毒工藝, 然而常規的凈水工藝主要以去除水中顆粒物為主, 通常不能有效凈化含藻水體.以超濾為核心的組合工藝是代替傳統工藝的最佳選擇之一, 超濾膜技術能有效去除水體中的懸浮顆粒病原體以及內分泌干擾物等.然而, 藻類引起嚴重的膜污染問題是限制超濾技術在高藻水處理應用中最大障礙.預處理技術被認為是降低膜污染的有效途徑, 常用的預處理技術有混凝預處理、氧化預處理、吸附預處理等.預氧化過程可能使藻細胞破碎, 釋放藻類胞內有機物, 導致飲用水的生物安全性降低以及消毒副產物的增加, 威脅人類健康.混凝預處理技術操作簡便、成本低廉、綠色環保、并且能有效提高出水水質, 因此, 混凝作為超濾過程的預處理技術得到了越來越多的應用, 并且混凝效率直接影響著出水水質, 進而影響超濾過程.有研究表明, 混凝劑的Al形態對于混凝-超濾過程具有重要影響, Al13可產生粒徑較大的絮體, 且形成的絮體具有較大的強度與密實度, 膜通量達到最優條件時, Al13投加量較聚合氯化鋁(PACl)有明顯的下降.并且藻類胞外有機物(EOM)種類對混凝-超濾過程同樣有著重要影響, Qu等的研究表明EOM的主要組成是高分子量以及親水性的有機物, 包括蛋白質、多糖以及腐殖酸類物質. EOM可引起嚴重的膜污染, 疏水性有機物會吸附在膜表面形成不可逆污染, 同時濾餅層含有的親水性有機物可導致快速的膜污染. Zhou等的研究表明不可逆污染隨pH值的下降而上升, Ca2+的存在可導致嚴重的通量下降及不可逆污染.
綜上所述, 目前關于藻類有機物種類和混凝劑種類對混凝-超濾過程的研究已經較為充分, 但是對于不同形態藻細胞對混凝-超濾過程的影響機制的闡述并不充分.因此, 本研究以實驗室配置的高藻水為實驗原水, 以3種不同形態藻細胞為處理對象, 分析了不同的混凝劑對3種形態藻細胞的去除效率以及出水對超濾膜污染的機制, 以期為水廠在藻類暴發階段保證優質的飲用水供應提供指導.
1 材料與方法1.1 主要實驗儀器
濁度儀(2100N, Turbidimeter, HACH, USA); pH計(MP220, pH Meter, Mettler-Toledo, Switzerland); UV-8500紫外/可見分光光度計(上海天美公司); 馬爾文激光粒度分析儀(Laser Particle Analyzer, Mastersizer 2000, Malvern, UK); MY3000-6G智能型混凝攪拌儀(武漢梅宇有限公司); 掃描電子顯微鏡(HITACHI SU8020 FE-SEM, Japan); 高速冷凍離心機(Aantij26XP, Beckman Coulter. Inc. USA).
1.2 藻種培養及水樣配置1.2.1 藻種培養
銅綠微囊藻(藍藻)、小球藻(綠藻)、小環藻(硅藻)均購置于中國科學院武漢水生生物研究所.銅綠微囊藻和小球藻采用BG11培養基進行培養, 小環藻采用CSI培養基進行培養, 無菌條件下接種至玻璃錐形瓶中, 放在人工氣候箱中培養, 培養條件:溫度25℃±1℃, 光照強度2 000 lx, 光暗比(L:D)=12h:12h.定期進行細胞計數, 繪制藻類生長曲線, 待藻種達到穩定期后用于實驗.
1.2.2 藻細胞的分離
為了更好地保持藻細胞的完整性以及高效分離藻的胞外有機物, 選擇分離方法為:將原藻液置于高速冷凍離心機中, 設置離心溫度4℃, 4 000 r·min-1, 時間5 min, 待離心完成后上清液即為藻類胞外溶解性有機物; 使用0.6% NaCl溶液將離心管底藻細胞重新溶解, 40℃水浴加熱20 min再次離心, 設置離心溫度4℃, 離心力10 000 r·min-1, 時間15 min, 待離心完成后上清液即為藻類胞外黏附性有機物; 再次使用0.6% NaCl溶液將離心管底藻細胞重新溶解即可得到實驗所需裸藻細胞.
1.2.3 水樣配置
藻類的藻細胞密度與懸浮液在680 nm處的吸光度具有良好的線性關系, 因此本研究以含藻水在680 nm處的吸光度值作為藻細胞密度的度量標準.為方便藻細胞之間對比, 3種藻細胞均用去離子水稀釋至680處的吸光度值為0.300, 并加入5.0 mmol·L-1 NaNO3和4.0 mmol·L-1 NaHCO3提供離子強度和堿度, 使用鹽酸(0.1 mmol·L-1)和氫氧化鈉(0.1 mmol·L-1)溶液調節pH=8.5.
1.3 混凝劑的選擇
本實驗選用Al2(SO4)3、Al13以及Al30這3種鋁系混凝劑.采用Ferron絡合比色法對混凝劑中鋁形態分布進行測定, Ferron逐時絡合比色法將聚合鋁中鋁的形態分為:單體態Ala(反應時間<1.0 min)、Alb(反應時間在1~120 min)、Alc(不反應).本實驗所用混凝劑的Ferron表征結果見表 1.
表 1 實驗所用混凝劑的Al形態分布/%

由表 1可看出, 實驗所用混凝劑有不同的鋁形態分布, 其中硫酸鋁主要成分為Ala, Al13主要成分主要為Alb, Al30的主要成分主要為Alc.
1.4 實驗方法1.4.1 混凝實驗
使用六聯混凝攪拌儀進行燒杯實驗, 加入混凝劑后以200 r·min-1快速攪拌90 s, 40 r·min-1慢速攪拌10 min, 沉淀30 min后于上清液下2.0 cm處取樣測量濁度及藻細胞吸光度值, 計算濁度以及藻細胞的去除率.
1.4.2 超濾實驗
在3種藻體系中, 分別選擇在3種混凝劑的最佳投加量下進行超濾實驗, 并且選擇在混凝結束后不經沉淀直接進行超濾實驗.超濾杯購自Millipore, 型號為Amicon 8400.平板超濾膜(100×103)購自安德膜科技有限公司(北京), 材質為聚偏氟乙烯(PVDF).超濾實驗過程中, 固定壓力為0.1 MPa, 超濾時間為1 800 s.超濾過程結束后, 將PVDF膜自然干燥, 使用掃描電子顯微鏡對膜表面情況進行分析.
1.4.3 絮體特征
為了更好地了解每種混凝劑的作用機制, 本實驗使用馬爾文激光粒度儀對絮體形成過程進行在線監測, 以D50(μm)代表絮體的平均粒徑.并且針對已形成的絮體增大攪拌強度至200 r·min-1 (持續5.0 min), 隨后再次以40 r·min-1轉速(持續10 min)使絮體再生, 考察絮體的強度因子和恢復因子.
2 結果與討論2.1 藻細胞掃描電鏡圖
為了更好地考察藻細胞形態對于混凝過程的影響, 對于3種藻細胞分別進行了掃描電鏡觀察, 實驗結果見圖 1.

圖 1 實驗所選藻細胞掃描電鏡形貌
實驗結果表明, 銅綠微囊藻藻細胞粒徑較小(700 nm左右), 且細胞表面存在一定的凹陷, 小球藻與小環藻細胞粒徑較大(大于1 μm), 小球藻表面也存在凹陷.
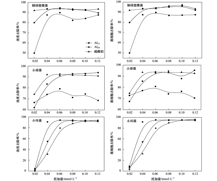
2.2 投加量對混凝過程的影響
為了考察混凝劑投加量對藻細胞及濁度去除率的影響, 調節3種混凝劑的投加量(以Al計)從0.02~0.12 mmol·L-1, 實驗結果見圖 2.

圖 2 混凝劑投加量對混凝效果的影響
由圖 2可以發現, 對于銅綠微囊藻和小球藻體系, Al2(SO4)3在投加量達到0.04 mmol·L-1時, 即可達到最佳的混凝效果(濁度去除率與藻細胞去除率接近90%).當Al13作混凝劑時, 投加量達到0.06 mmol·L-1才能達到相同的濁度與藻細胞去除率.當使用Al30作混凝劑時, 兩種藻細胞體系的濁度以及藻細胞去除率均無法達到上述兩種混凝劑的去除率(銅綠微囊藻在80%左右, 而小球藻在70%左右).分析原因在于Al13與Al30主要的作用機制是靜電簇作用, 而AS的主要作用機制是電中和作用(圖 3).當Al13與Al30做混凝劑時, 處于凹陷部分的Al13與Al30分子的靜電簇作用減弱, 而其他能產生有效碰撞的部位仍具有較多的負電荷, 此時電中和作用占主導的AS (有效降低顆粒之間的排斥作用)可使藻細胞顆粒有效結合.而在小環藻體系中, 由于小環藻細胞表面較為光滑(圖 1), Al13與Al30的靜電簇作用機制可以得到有效發揮, Al13與Al30在較低投加量下可有效去除藻細胞.為方便對比, 在接下來的實驗過程中選擇3種混凝劑的最佳投加量進行實驗.

圖 3 3種藻混凝過程的機制
2.3 膜比通量(J/J0)
本實驗以膜比通量J/J0表示膜污染程度, 其中J/J0為初始膜通量, 膜比通量越大, 表明膜污染越輕, 不同條件下的膜比通量結果見圖 4.

圖 4 3種藻在不同混凝劑作用下引起的膜比通量
由圖 4可以得出, 3種藻在不經混凝作用直接過膜時, 由于藻本身的性質, 其造成的膜污染差異較大. 1 800 s內銅綠微囊藻引起的膜比通量下降為0.065, 小球藻引起的膜比通量下降為0.643, 小環藻引起的膜比通量為0.114.由于實驗本身所用的3種藻細胞粒徑遠大于超濾膜孔徑, 所以較大的藻細胞本身并不會堵塞膜孔, 引起超濾膜污染的主要方式為藻細胞沉積層.銅綠微囊藻由于本身體積較小, 形成的沉積層較為密實, 因而膜比通量下降程度相對比較大.
另外, 3種藻細胞在經過混凝劑作用后, 在過膜時引起的膜比通量得到了明顯的提升.在銅綠微囊藻體系中, 經過Al2(SO4)3、Al13和Al30這3種混凝劑作用后, 1 800 s內膜比通量分別提升至0.751、0.698和0.67.在小球藻體系中, 1 800 s內膜比通量分別提升至0.871, 0.854和0.849.在小環藻體系中, 1 800 s內膜比通量分別提升至0.462、0.704和0.685.在銅綠微囊藻和小球藻體系中, Al2(SO4)3對膜污染緩解程度大于Al13和Al30混凝劑形成的絮體, 而對于小環藻體系, Al13和Al30混凝劑形成的絮體可更有效地緩解膜污染.由于在3種藻體系中有機物已經得到了分離, 因此經混凝作用后影響膜污染的主要因素為絮體性質, 不同作用條件下絮體的特性將在2.4節中進行詳細分析.
2.4 絮體性質
3種藻在不同混凝劑作用下形成的絮體的性質, 是超濾過程中膜污染的主要影響因素.因此, 考察絮體的形成、破碎和再生長過程對于了解膜污染機制, 有效控制膜污染具有重要的意義, 混凝過程中絮體粒徑變化情況見圖 5.

圖 5 3種藻在不同混凝劑作用下形成的絮體粒徑變化
由圖 5可以看出, 在銅綠微囊藻和小球藻體系中, Al2(SO4)3混凝劑形成的絮體平衡時粒徑分別達到了750 μm (銅綠微囊藻)和350 μm (小球藻), 而Al13和Al30混凝劑形成的絮體分別為420 μm、220 μm (銅綠微囊藻)和240 μm、150 μm (小球藻).而在小環藻體系中, 平衡時絮體粒徑分別為250 μm (AS)、400 μm (Al13)和350 μm (Al30).與2.2節中的分析類似, 對于銅綠微囊藻以及小球藻體系, AS的電中和作用使得藻細胞顆粒可以更有效地接觸, 快速形成肉眼可見的絮體, 而Al13與Al30的靜電簇作用由于表面凹陷的存在而受到一定的影響.
不同條件下形成絮體的強度因子及恢復因子見表 2.
表 2 3種藻在不同混凝劑作用下形成的絮體的強度因子和恢復因子

由表 2可以得出, 在銅綠微囊藻體系和小球藻體系中, Al2(SO4)3混凝劑形成的絮體強度因子達到64.2%和39.5%, 而Al13和Al30混凝劑形成的絮體強度因子為36.1%、18.2%和43.4%、38.6%.結合膜通量的實驗可以發現, 在同一種藻體系中, 強度因子越大的絮體, 在超濾過程抗壓力能力越強, 從而使得絮體之間越疏松, 膜表面沉積層越疏松, 膜比通量越大.而在小環藻體系中, Al13和Al30混凝劑形成絮體強度因子分別達到36.7%和36.1%, 略大于Al2(SO4)3混凝劑形成的絮體的強度因子(35.2%).另外, 對比銅綠微囊藻、小球藻和小環藻3種藻體系, Al2(SO4)3混凝劑形成絮體的恢復因子分別達到80.7%、55.1%和55.5%, 而Al13和Al30混凝劑形成的絮體恢復因子為29.2%、6.7%、23.5%和50.3%、49.2%、38.9%. Al2(SO4)3混凝劑形成的絮體相比于Al13和Al30混凝劑形成的絮體擁有更好的再生能力, 此結果與前人的結果一致, 即電中和作用所形成的絮體粒徑更易在絮體恢復過程中得到恢復.
2.5 膜表面掃描電鏡圖
為了更好地分析膜污染的過程, 使用掃描電子顯微鏡對自然干燥后的膜(直接過濾藻細胞)表面進行了分析, 實驗結果見圖 6.

圖 6 膜表面掃描電鏡圖(直接過濾原始藻液)
從圖 6(a)可以看出, 原始PVDF膜表面膜孔明顯, 在3種藻直接過膜后, 膜表面形成了藻細胞的沉積層. 圖 6(c)中小球藻形成的沉積層之間縫隙比圖 6(b)中銅綠微囊藻形成的沉積層縫隙和圖 6(d)中小環藻形成的沉積層縫隙更為明顯, 因而在3種藻不經混凝作用直接過膜時, 小球藻在1 800 s內仍有較高的膜比通量(0.643), 而此時銅綠微囊藻和小環藻直接過膜后膜比通量僅有0.065和0.114.
過濾經混凝劑處理后的藻細胞懸浮液且自然風干的膜表面的掃描電鏡結果見圖 7.

圖 7 膜表面掃描電鏡圖——經過不同混凝劑處理
由圖 7可以發現, 對于銅綠微囊藻體系, 在AS做混凝劑時可明顯形成絮體, 而使用Al13與Al30做混凝劑時絮體形成不明顯, 在膜表面仍然會形成致密的污染層, 導致膜通量下降較快.同樣對于小球藻體系, 當使用AS做混凝劑時可以在膜表面形成比較明顯的污染層, 而Al13以及Al30由于絮體形成不明顯, 使得膜表面污染層較為致密, 通量下降較快.而對于小環藻體系, 當使用AS做混凝劑時, 絮體形成不明顯, 造成膜比通量下降最快(1 800 s后下降為0.462).具體參見污水寶商城資料或http://www.bnynw.com更多相關技術文檔。
3 結論
(1) 3種藻細胞具有不同的粒徑與形貌, 銅綠微囊藻細胞粒徑為700 nm左右, 而小球藻和小環藻的細胞粒徑大于1 μm.銅綠微囊藻與小球藻的細胞表面存在一定的凹陷, 而小環藻的細胞則較為光滑.
(2) 對于表面有凹陷的藻細胞而言, Al13與Al30的靜電簇作用機制由于某一部分混凝劑被吸附在凹陷處而受到影響, 而此時電中和作用占主導的AS (有效降低顆粒之間的排斥作用)可使藻細胞顆粒有效結合.
(3) 在銅綠微囊藻和小球藻體系中, AS對膜污染緩解程度大于Al13和Al30混凝劑形成的絮體, 而對于小環藻體系, Al13和Al30混凝劑形成的絮體可更有效地緩解膜污染.
(4) 在銅綠微囊藻和小球藻體系中, AS形成的絮體具有較大的強度因子, 絮體的抗壓能力較強, 在超濾過程中容易形成較為疏松的濾餅層, 膜比通量較大.在小環藻體系中, Al13與Al30形成的絮體強度因子略大于AS形成的絮體, 膜比通量較大.


