作為水陸交界處的自然過渡區,濕地是自然界非常重要的人類生存環境和生態景觀之一,在調節氣候、 調蓄洪水、 凈化水質、 維持生物多樣性等方面發揮著十分重要的作用. 但是,近年來伴隨著中國經濟的高速發展,城區全面擴張,人口急劇增加,濕地受到越來越嚴重的破壞. 濕地面積大量減少,水污染程度日益加重,生物多樣性逐漸消失,濕地生態功能嚴重退化. 為此,國內許多城市建立了濕地公園,使其在承擔一般公園游憩休閑功能的同時,也承擔著類似自然保護小區的生態功能. 希望借此探索出一條協調城市化發展過程中濕地保護與科學利用的發展模式.
一方面,濕地土地利用類型的變化會影響濕地公園內部原有的景觀結構,改變濕地公園的生態過程,影響著濕地公園的健康狀態. 另一方面,水作為濕地生態系統中最重要的特征之一,是濕地物質循環和能量流動的核心載體. 濕地水質的健康狀態也影響著濕地公園的健康狀況. 因此,研究土地利用類型和濕地水質之間的關系,可以為濕地公園水土資源可持續利用、濕地保護與管理提供科學依據. 國外學者基于GIS與遙感等技術,使用統計分析方法初步探明了土地利用類型與水質之間存在著緊密聯系,土地利用類型的構成方式可以顯著影響到水質. 濕地土地利用類型與水質化學性質之間,濕地水體中的氮、 磷含量與周圍林地面積以及與濕地的距離之間均存在明顯相關性. 國內學者則在太湖、 新安江、 九龍江、 洱海和艾比湖等流域探討了土地利用結構與水質之間的關系. 有研究表明城市建設用地、 未利用地、 林地、 水體等土地利用類型均與水質存在明顯的相關關系. 由于不同尺度的流域生態過程及水質均存在明顯的時空差異,這導致濕地生態系統中土地利用與濕地水質之間的關系錯綜復雜. 上述研究側重于土地利用類型構成和土地利用空間格局與濕地水質之間的響應關系,大多將單個的土地利用類型與單個水質監測指標作相關性分析. 一些學者建立了能夠衡量多種土地利用類型之間復合關系的綜合指標,但較少研究在時空差異條件下土地利用類型綜合指標與濕地水質之間的聯系.
本研究以蘇州太湖三山島國家濕地公園為例,通過構建基于主成分分析的水質綜合指數與代表土地利用類型綜合效應的景觀開發強度指數,揭示在不同時空條件下多種土地利用類型對濕地水質的綜合影響與相關性,以期為濕地公園水污染防治和土地利用優化方案提供理論依據和技術基礎,并為濕地保護和管理活動提供科學指導.
1 材料與方法
1.1 研究區概況
蘇州太湖三山島國家濕地公園位于蘇州城西太湖之中的三山島區域,總面積6.252 km2,依托三山島、 澤山島等島嶼及毗連太湖水域構建而成,是全國第一個以村級和島嶼形式創建的國家級濕地公園. 地理坐標介于東經120°16′45″-120°17′55″,北緯31°01′25″-31°02′30″. 該濕地公園是在退漁還濕的基礎上,通過恢復三山島原有的湖濱帶而形成的濕地. 受太湖小氣候環境影響,三山島水熱資源豐富,氣候溫和宜人,空氣濕潤. 年平均氣溫16℃,年平均降雨為1 100-1 140 mm,年平均濕度76%,具有良好的人居環境. 研究范圍包括三山島、 澤山島及毗連的太湖水域,如圖 1所示.

圖 1 研究區域及土地利用類型
1.2 數據來源與預處理
根據蘇州太湖三山島國家濕地公園周邊土地利用類型結構及生態系統特征的空間差異,在三山島、 澤山島周邊水域布設了19個水質采樣點(圖 1),分別在2014年7月1日、 2014年9月16日、 2014年12月16日和2015年4月16日進行了4期的水質采樣工作. 樣品采集后帶回實驗室,參考已有相關文獻,選擇總懸浮固體(TSS)、 溶解氧(DO)、 化學需氧量(COD)、 氨氮和硝態氮這5項代表性水質指標,依據《地表水和污水監測技術規范(HJ/T 91-2002)》進行測定. 測定時為保證結果的準確性,對每個采樣點的樣品做3份平行檢測,取3份平行檢測結果的平均值作為最終的水質指標.
此外,利用已有的土地利用現狀圖和遙感影像圖,結合野外實地調查結果,得到如圖 1所示的7類濕地公園土地利用類型,包括人工水塘、 園地、 建設用地、 林地、 自然水體、 草地和道路,其中建設用地主要指居住用地與商服用地.
1.3 基于主成分分析的水質綜合指數
水質評價作為生態環境質量評估的重要內容之一,涉及到眾多的影響因子,在綜合評價過程中很難從眾多的影響因子中提取重要信息. 主成分分析方法(PCA法)的基本思想是認為在眾多相關因子之間必然存在著起支配作用的共同因子. 它可以從許多變量中篩選出相互獨立的主要因子,在保留原始重要信息的同時,使主要因子比原始變量具有某些更優越的特性. 由于PCA法具有提取主要因子、 簡化數據結構、 避免主觀選擇等特點,可被應用于水質綜合評價中,從眾多的水質監測指標中提取真正反映水質優劣的主要信息. PCA法的數學模型為:

式中,m為變量因子個數; F1,F2,…,Fm為提取出的主成分; a11,…,amm為標準化處理變量Z協方差矩陣特征值對應的特征向量.
組合上述主成分,可得到如下的綜合評價函數F:
式中,λ1,λ2,…,λp為Z矩陣的特征值,λS=λ1+λ2+…+λp; p為主成分提取個數.
本研究中,共使用了TSS、 DO、 COD、 氨氮和硝態氮這5項水質監測指標. 對這些指標進行KMO和Bartlett檢驗,可得KMO的值為0.712,Bartlett的顯著性概率P值<0.05,說明這些指標之間具有較強的相關性,適用于主成分分析. 考慮到TSS、 COD、 氨氮和硝態氮的數值均與水質呈反比,只有DO指標隨著水質的變好而增加. 因此取所有采樣點DO指標中的最大值減去各采樣點的DO指標原始值,使其數值也與水質呈反比. 經過處理后,所有的指標均隨著水質的提高而變小.
將每期監測數據的5項水質指標作為變量因子構成原始變量矩陣,使用式(3) 對其進行標準化處理得到均值為0、 標準差為1的標準化數據,以消除原始不同數據量綱和數量級差異的影響. 在此基礎上計算標準化數據的相關系數矩陣,并求出特征根和方差所占比例,結果如表 1所示.
表 1 主成分分析的特征值與方差
式中,Zij表示第i個采樣點的第j個指標的標準化值; xij表示第i個采樣點的第j個指標的原始測量值; j表示所有采樣點第j個指標的平均值; Sj表示第j個指標的標準差. n為采樣點個數,t為水質監測指標個數. 本文中n為19,t為5.
從表 1可知,前兩個主成分的特征值幾乎都大于1,前3個主成分方差貢獻率的總和分別占總方差的92.2%、 91.2%、 86.8%和93.3%,均大于85%. 因此可令p=3,取前3個主成分來代替原來5個變量因子,據此確定因子載荷. 以第一期觀測數據為例,主成分因子載荷矩陣如表 2所示.

表 2 主成分載荷矩陣
根據式(1) 和式(2) ,主成分F1、 F2和F3是水質監測指標的線性函數,綜合評價函數F又是主成分F1、 F2和F3的線性函數. 分別計算4期的水質綜合評價函數,最后取平均值得到每個采樣點水質的綜合指數,將其作為衡量水質優劣的依據.
以第一期觀測數據為例,設標準化后的指標變量分別為ZX1、 ZX2、 ZX3、 ZX4、 ZX5,則主成分表達式為:

以各主成分對應的方差貢獻率為權重建立水質綜合函數:
由于經過處理的5項水質監測指標均隨著水質的提高而變小,所以F值越小表示水質越好,F值越大則表示水質越差.
1.4 土地利用類型的LDI綜合指數
濕地相關的生物群落健康狀況通常與人類活動強度緊密相關,人類活動越強烈,對濕地生態系統健康的干擾也越嚴重. 作為人類活動的具體表現形式,土地利用可以反映出鄰近濕地的健康狀況[21]. Brown等[22]提出了景觀開發強度方法(landscape development intensity,LDI). 該方法結合土地利用類型與單位面積單位能耗的開發強度,測算不同土地利用類型所對應的LDI系數. LDI系數代表了單位面積利用不可再生能量的定量測量值,即不可更新能源能值. 它可以用來表示土地利用類型所消耗的能值,能值消耗越多則對應的LDI系數越大. 最后累積研究范圍內不同土地利用類型及其LDI系數,得到LDI綜合指數:
式中,LDIindex為濕地某區域的LDI綜合指數; LUi(%)為第i種土地利用類型的面積占該區域總面積的百分比; LDIi為第i種土地利用類型所對應的LDI系數.
本研究中人工水塘、 園地、 建設用地、 林地、 自然水體、 草地和道路對應的LDI系數如表 3所示. LDI系數處于1-10之間,1代表濕地完全為自然健康狀態,10代表濕地被人類高度開發利用而極度退化. LDI系數越大,表明濕地受人類干擾強度越大,相應的濕地健康狀況越差. 由于LDI系數是根據當地土地利用類型對應的不可更新能源能值估算得到,考慮到能值計算的過程比較復雜,并且受不同國家不同地區經濟發展水平的影響而有所差異. 因此在今后的研究中,須根據蘇州研究區域實際情況精確測定LDI系數,以提高本文方法的適用性.
表 3 濕地區域土地利用類型與對應的LDI系數
LDI方法的實質是核算不同土地利用類型的不可更新能源能值. 能值以太陽能焦耳[J·(hm2·a)-1]作為衡量單位,表示每年每公頃在能量轉換中可利用的生產產品或服務所需要的能量. LDI方法使用濕地生態系統人為的能量輸入來表示人類活動對濕地自然環境的整體干擾程度,通過人類對濕地區域土地利用的影響來間接評價濕地健康. 該方法考慮了土地利用類型的構成和綜合效應,可以更全面客觀地反映土地利用類型對濕地水質的影響.
1.5 水質與土地利用類型的關系
土地利用與水質的關系往往隨著空間位置改變表現出局部變化的特征. 即使在同一研究區域的不同位置,同一土地利用類型對水質的影響在大小、 方向、 距離上均可能表現出不同[26]. 由于傳統的LDI方法僅考慮了土地利用類型的結構組成而沒有考慮距離衰減因素造成的影響,本研究采用反距離權重LDI方法[27],充分考慮距離在土地利用類型對水質采樣點的影響作用. 也就是說,同一土地利用類型距離采樣點位置越近,其對水質的影響也越大. 改進的計算公式如下:


緩沖區大小的設定直接影響著參與分析的土地利用類型面積和反距離權重系數,決定了LDI綜合指數的大小. 在實際應用中,需根據生態學意義和具體評價對象等因素綜合確定該范圍. 本研究在野外調查的基礎上,以采樣點為中心,分別設置不同半徑的圓形緩沖區,如圖 2所示. 利用ArcGIS 10.1軟件疊置分析功能的交集操作工具和歸納統計工具,分別統計出各個采樣點對應的緩沖區范圍內土地利用類型面積及面積百分比,并計算各土地利用類型斑塊重心位置到采樣點之間的距離. 從而揭示不同土地利用類型結構對不同空間位置水質采樣點的影響,探明水質與該點緩沖區內土地利用類型整體結構的關系.

圖 2 基于采樣點的緩沖區分析
2 結果與討論
2.1 水質空間分布特征
使用主成分分析方法求出每一期水質監測數據對應的水質綜合函數F,將不同季節4期數據求出的F再取其算術平均值,以減小季節的影響. 最后將其線性拉伸至1-10區間,得到每個采樣點對應的水質綜合指數,結果如圖 3和表 4所示. 結果表明,研究區域西部的5、 8、 11、 18號采樣點,遠離人口相對密集、 旅游設施較多的三山島主島,受到人為干擾較少,水質較好. 相反,東北部的1、 12、 19號采樣點位于旅游核心區域,附近有東泊和山東碼頭,還有大量的農家樂,人為干擾因素較多,所以水質較差. 東南部的9號采樣點處于三山島主要的污水處理廠和垃圾處理廠附近,水質也比較差. 南部區域有兩條快艇通道,但由于該區域建立了人工修復濕地,所以該區域的水質整體處于居中水平.

圖 3 水質空間分布示意
表 4 采樣點的水質綜合指數與LDI綜合指數
2.2 土地利用類型結構
緩沖區的合理設置決定了LDI綜合指數大小,也影響著土地利用類型與水質之間的關系[30]. 本研究以50 m為間隔,分別設置半徑為100、 150、 200、 250、 300、 350、 400、 450和500 m的緩沖區并計算相應的LDI綜合指數,計算結果如表 4所示. 由于采樣點都位于水面上,以采樣點為中心建立的圓形緩沖區中,自然水體所占的比例相對其它土地利用類型要高. 下面以400 m為半徑的緩沖區分析為例來說明,所有采樣點對應的土地利用類型結構如圖 4所示,不同土地利用類型結構差異明顯. 其中頂端小圓點、 矩形框下邊緣、 矩形框上邊緣分別代表不同土地利用類型面積所占百分比的最大值、 最小值和平均值. 總體上自然水體面積占比最高,平均為60.4%,8號采樣點處達到最大的99.1%,3、 5和13號采樣點也都超過了85%; 人工水塘面積占比排名第二,平均為21.5%,4號點處達到最高的65.1%; 林地面積占比平均為10.7%,6號點處為最高的24.9%; 園地面積占比平均為10.5%,10號點處達到最高的25.8%; 建設用地面積占比平均為4.6%,9號點處為最高的15.7%; 草地面積占比平均為3.7%,2號點處為最高的7.8%; 道路面積占比平均為1.9%,9號點處為最高的4.5%.

圖 4 不同土地利用類型所占的面積百分比
對于每個采樣點來說,對應緩沖區內土地利用類型面積占比如圖 5所示,據此計算出的LDI綜合指數如表 4所示.

圖 5 采樣點緩沖區內土地利用類型面積占比
2.3 水質與土地利用類型相關性
2.3.1 單項分析
以半徑400m的緩沖區為例,將各單項的土地利用類型與水質綜合指數作相關分析,可發現草地、 林地、 道路、 人工水塘、 園地、 自然水體和建設用地在緩沖區內所占面積比和水質綜合指數之間的Pearson相關系數分別是-0.068、 0.485、 0.703、 0.174、 0.051、 -0.466、 0.642. 其中道路和建設用地與水質綜合指數呈明顯的正相關,即道路和建設用地面積占比越大,水質綜合指數越高,水質越差. 主要原因可能是建設用地中以旅游設施和農家樂為主,另外道路的修建也改變了原有土地利用類型的結構,加劇了人為的干擾,并通過影響流域水文循環、 水土流失及污染物遷移轉化,影響著水環境質量,導致水質退化. 因此可將道路與建設用地看作水質下降的主導因素. 自然水體則與水質綜合指數呈明顯的負相關,自然水體面積占比越大,水質綜合指數越小,水質越高. 應該是由于隨著自然水體面積的增加,對水質污染物的稀釋作用也更加明顯,因此可將自然水體看作水質提高的主導因素.
此外,人工水塘、 園地與水質綜合指數存在弱的正相關性,林地與水質綜合指數則存在較強的正相關性,這與一般的分析結果不完全相符. 部分原因可能是三山島國家濕地公園的經濟結構以休閑旅游業為主,果樹、 漁業為副. 水質污染物的來源以生活污染物為主,這導致上述土地利用類型對水質的影響相對較小. 另一部分原因可能是多種土地利用類型是以綜合作用的方式影響著濕地水質,單憑其中的某一項很難給出明確的解釋,需要使用綜合分析方法進一步明晰土地利用類型整體對水質的影響.
2.3.2 綜合分析
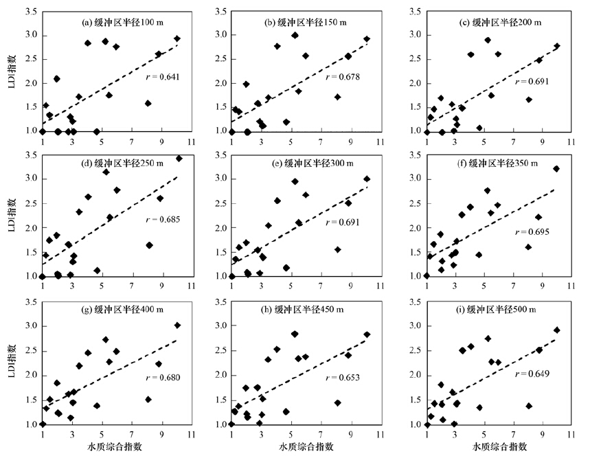
基于水質綜合指數與LDI綜合指數,使用Pearson相關對濕地公園水質與土地利用類型進行整體分析,結果如圖 6所示. 其中水質綜合指數與緩沖區半徑為100、 150、 200、 250、 300、 350、 400、 450和500 m的LDI綜合指數的Pearson相關系數分別為0.641、 0.678、 0.691、 0.685、 0.691、 0.695、 0.680、 0.653和0.649(P<0.01),它們之間均呈現很強的正相關. 這較好解釋了土地利用類型與濕地水質之間的整體相關關系,避免了單項土地利用類型表達不完整、 難以解釋水質變化的不足.

圖 6 水質綜合指數與LDI綜合指數的相關分析
根據r系數曲線變化特征,半徑為350 m緩沖區對應的LDI綜合指數與水質綜合指數的相關性最大,這與文獻[27]的結論基本相符. 當緩沖區半徑小于150 m時,由于采樣點均位于水面上,土地利用類型中自然水體占據絕對大的比例,其它土地利用類型的種類與面積均較少,只能主要顯示自然水體與水質之間的相關性而難以揭示多種土地利用類型對水質的綜合影響; 當緩沖區半徑大于450 m時,距離采樣點較遠而對其影響較小的土地利用類型也被包含入緩沖區而參與LDI綜合指數的計算,削弱了土地利用類型對濕地水質之間的總體相關性.具體參見污水寶商城資料或http://www.bnynw.com更多相關技術文檔。
3 結論
(1) 使用主成分分析計算水質綜合指數,結果顯示水質隨著濕地公園空間分布的不同而有較大的差異. 研究區西部的澤山島沒有居民點,植被密集,因此該區域整體上水質較好; 研究區的東部位于旅游核心區域,附近景點眾多,存在大量的農家樂,較易產生較多的生活污水,導致該區域的水質較差; 其它區域為非核心旅游區域,受到少量的人為干擾,整體水質處于居中水平.
(2) 直接將各單項土地利用類型與水質綜合指數作Pearson相關分析,結果表明道路和建設用地與水質綜合指數呈明顯的正相關,自然水體則與水質綜合指數呈明顯的負相關. 但是人工水塘、 園地、 林地與水質綜合指數存在的相關性較難直接做出合理的解釋.
(3) 利用水質綜合指數與LDI綜合指數,可以反映出土地利用類型整體對濕地公園水質之間的相關性,體現出多種土地利用類型對濕地水質的綜合影響. 此外,在計算土地利用類型所占面積比的同時也考慮了該土地利用類型斑塊與采樣點之間距離遠近的影響,更精確地得出水質與土地利用類型之間的相關關系.







