截至2014年3月底,全國設市城市、 縣累計建成城鎮污水處理廠3622座,日處理污水能力約1.53×109 m3[1],污水處理廠每年產生超過600萬t污泥(以干重計)[2,3]. 但是,目前城鎮污水處理廠產生的濃縮污泥含水率通常高達97%左右,如此高的水分含量導致污泥體積龐大,給污泥的轉運、 后續處理處置都帶來了很大的困難[4]. 因此,尋找合適的方法大幅降低污泥水分含量,是解決污泥出路的關鍵所在. 當前,添加各種化學絮凝劑并輔以機械脫水以實現“泥水分離”的方法普遍應用于我國污水處理廠,這些絮凝劑包括聚丙烯酰胺(PAM)、 氯化鐵、 聚合硫酸鋁或聚合三氯化鋁和助凝劑如石灰等[5]. 但在此方法中,投入的大量無機絮凝劑,會大幅增加整個污水處理過程的成本,降低污泥中有機物含量和熱值,并增加最終的污泥質量,而部分有機絮凝劑的添加則會帶來潛在的二次污染風險[6].
生物法強化污泥脫水是近年來發展起來的一種污泥調理方法,其主要原理是通過微生物自身或微生物的代謝產物來改善污泥的脫水性能[7],與添加各種絮凝劑的化學法相比,生物法具有效率高、 二次污染小等特點[8]. 其中,由于良好的改善污泥脫水性能的效果,應用絲狀真菌處理剩余污泥的方法已經引起了一些學者的關注[8, 9, 10, 11, 12, 13]. 例如,Mannan等[14]的研究表明,絲狀真菌Penicillium corylophilum(WWZP1003)和Aspergillus niger (SCahmA103)分別處理滅菌的剩余污泥(含固率為0.5%~1%)2 d后,污泥的比阻從未處理時的1.36×1012 m ·kg-1 降至0.093×1012 m ·kg-1和0.13×1012 m ·kg-1,分別減少93.20%和90.10%; Subramanian 等[15,16]從污泥中分離到1株絲狀真菌Penicillium expansum BS30,研究發現用此菌株處理含固率為1%的剩余污泥,可使污泥的毛細吸水時間 (CST) 從80~245 s降至12.6~16 s,使污泥的脫水性能得到顯著改善. 但目前所分離到的絲狀真菌通常只能處理含固率低于1%的污泥,同時處理污泥時需先將污泥進行滅菌預處理并添加外源碳源,極大地提高了處理成本[8, 9, 10, 11]. 因此,本研究嘗試從污泥中分離絲狀真菌,并在污泥不滅菌和不添加外源碳源的情況下處理高含固率污泥,從而闡明此類絲狀真菌改善污泥脫水性能的基本機制及影響因素,以期為生物法強化污泥脫水技術的發展提供參考依據. 1 材料與方法 1.1 供試污泥
供試污泥取自江蘇省無錫市太湖新城污水處理廠的污泥濃縮池. 采集后立即測定污泥pH、 含固率、 有機質含量、 污泥比阻、 Zeta電位和污泥體積指數. 污泥基本理化性質如下:pH 7.43,含固率3.7%,有機質含量46.5%,污泥比阻1.71×1013 m ·kg-1,Zeta電位-31.8 mV,污泥體積指數(SVI)為34.6 mL ·g-1. 采集的污泥保存于4℃冰箱中待用. 1.2 培養基
馬丁氏固體培養基:磷酸二氫鉀1.0 g,七水合硫酸鎂0.5 g,蛋白胨5.0 g,葡萄糖10.0 g和瓊脂15~20 g. 將各成分溶解后加蒸餾水補充體積至1000 mL,115℃高壓蒸汽滅菌30 min. 土豆葡萄糖液體培養基(PDA):取去皮土豆200 g,切成小塊,加蒸餾水1 000 mL煮沸30 min,用8層紗布過濾土豆汁,濾去土豆塊,加蒸餾水補充濾液體積至1 000 mL,加葡萄糖20 g,115℃高壓蒸汽滅菌30 min. 1.3 絲狀真菌的分離篩選
采得污泥立即進行微生物分離. 將部分濃縮污泥置于28℃,180 r ·min-1搖床中培養12 h,之后梯度稀釋至10-3、 10-4和10-5,再分別涂布到馬丁氏平板(真菌選擇性培養基)上,放置到28℃恒溫培養箱中培養數天,得到多株真菌,再分別進行分離純化,選擇1株具有較好污泥脫水性能的真菌作為本試驗所用真菌菌株.
分子生物學鑒定:采用OMG公司產生的真菌DNA試劑盒快速提取該真菌的基因組DNA,并進行PCR擴增18S rDNA-ITS序列,引物采用真菌ITS序列擴增通用引物ITS1-Forward (5′-TCCGTAGGT GAACCTGCGG-3′)和ITS4-Reverse (5′-TCCTCCG CTTATTGATATGC-3′). PCR反應體系為:反應液總體積為20 μL,含有10×Ex Taq buffer 2.0 μL,dNTP Mix (2.5 mmol ·L-1) 1.6 μL,5p Primer 1 0.8 μL,5p Primer 2 0.8 μL,Template 0.5 μL,5u Ex Taq 0.2 μL,超純水14.1 μL. PCR反應條件為:95℃預變性5 min,24個循環(95℃變性30 s,55℃退火30 s,72℃延伸90 s),最終72℃延伸10 min. PCR產物委托上海美吉生物醫藥科技有限公司進行雙向測序. 之后將18S rDNA測序結果提交到NCBI數據庫進行BLAST比對,找到典型的菌株系列用Clustal X2.0軟件進行同源性比較,并采用Mega 4.0軟件構建系統發育樹,確定該菌株的分類地位.
孢子懸液的配置:在無菌環境下,加數毫升無菌水至長有真菌的平板中,用玻璃凃棒攪動使真菌孢子沖洗下來,用4層擦鏡紙過濾,濾液置于離心管中,4℃保存待用,用血球計算板計數. 將孢子懸液稀釋至107個 ·mL-1,取1 mL稀釋后孢子懸液接種至土豆液體培養基中,置于28℃,120 r ·min-1恒溫振蕩搖床中培養2 d后獲得菌絲懸液. 分別設置孢子接種和真菌菌絲接種2種不同的接種方式接種至污泥中,接種比例均為體積比5%,接種后體系總體積為300 mL,每個處理設置3個平行,置于28℃,180 r ·min-1恒溫振蕩搖床中培養,反應3 d后,每個處理取樣涂布至馬丁氏培養基中,根據真菌生長狀況確定其最適接種方式. 1.4 絲狀真菌接種量對污泥脫水性能的影響試驗
將孢子懸液稀釋至107個 ·mL-1,取1 mL孢子懸液接種至土豆液體培養基中,置于28℃,120 r ·min-1恒溫振蕩搖床中培養2 d后獲得菌絲懸液. 向剩余污泥中接入此菌絲懸液,依體積比設計6個不同的接種量處理,分別為CK(不接菌)、 1%、 3%、 5%、 10%和20%,總體積為300 mL,每個處理設置3個平行,置于28℃,180 r ·min-1恒溫振蕩搖床中培養,每天定時取樣測定污泥比阻值,以確定最適真菌接種量. 1.5 污泥含固率對污泥脫水性能的影響試驗
將孢子懸液稀釋至107個 ·mL-1,取1 mL稀釋后孢子懸液接種至土豆液體培養基中,置于28℃,120 r ·min-1恒溫振蕩搖床中培養2 d后獲得菌絲懸液. 將原始污泥分別稀釋至含固率為0.5%、 2%和3.7%(未稀釋)3個濃度梯度,然后分別向其中接入10%菌絲懸液,并分別設置不加菌絲懸液的空白處理,總體積為300 mL,每個處理設置3個平行,置于28℃,180 r ·min-1恒溫振蕩搖床中培養,每天定時取樣測定污泥比阻,以確定真菌處理的最適污泥含固率.
在確定最適接種方式、 最適接種濃度和最適污泥含固率的基礎上,進一步闡明絲狀真菌促進污泥脫水性能改善的機制,試驗設置接種最適量真菌和不接菌兩個處理,每個處理3個平行,置于28℃,180 r ·min-1恒溫振蕩搖床中培養,每天定時取樣測定污泥pH、 污泥比阻、 CST、 Zeta電位、 污泥體積指數、 污泥上清液COD和污泥EPS含量. 1.6 測定方法
采用pHS-3C精密pH計(上海雷磁廠)測定污泥的pH值; Zeta電位值通過Colloidal Dynamic Zeta電位測定儀測定; 污泥的比阻(SRF)采用布氏濾斗-真空抽濾法測定[17,18]; 污泥毛細吸水時間(CST)采用CST測定儀(TYPE 304M,英國Triton公司)測定; 污泥體積指數(SVI):取100 mL污泥搖勻后,倒入100 mL量筒中,靜止沉降30 min后,記錄污泥體積V(mL),烘干測定污泥質量m(g),則SVI=V/m(以TSS計,mL ·g-1); COD采用Orion COD Thermoreactor分析儀測定.
EPS的提取與測定[19]:將污泥在15 000 r ·min-1,4℃下離心20 min,上清液過0.45 μm濾膜,所得濾液即為污泥總EPS,EPS含量通過TOC分析儀(SHIMADZU TOC-5000A)測定. 2 結果與討論 2.1 絲狀真菌的分離及其最適接種方式的確定
采用馬丁氏培養基從污泥中篩選菌種,將獲得的不同真菌進行分離純化后,進行液體培養,然后采用液體培養液分別做真菌污泥脫水試驗. 通過比較污泥在不同真菌處理下的的脫水性能,最后選定1株有最佳污泥脫水效果的真菌菌株,通過測序和同源性比較對其進行鑒定,確定該真菌為毛霉屬. 該絲狀真菌菌株編號為Mucor circinelloides ZG-3(下文中簡稱為M. circinelloides ZG-3),進化樹如圖 1所示. 該菌在馬丁氏培養基上菌絲為淡黃色,菌絲較長,在土豆液體培養基中培養2 d后,菌絲分散均勻,不相互纏繞成菌絲球.

圖 1 M. circinelloides ZG-3及其相關菌株的ITS系統發育樹
分別以真菌孢子和真菌菌絲形式將此菌接種至剩余污泥中,培養3 d后,將污泥樣品涂布于PDA平板上,培養后發現,以菌絲接種的真菌生長狀況良好,而以孢子懸液接種的真菌則生長緩慢(圖 2). 因此,菌絲接種是將M. circinelloides ZG-3接種至污泥中的最適接種方式.

圖 2 以真菌孢子和真菌菌絲形式接種M. circinelloides ZG-3至污泥并培養3 d后的生長情況
2.2 絲狀真菌接種量對污泥脫水性能的影響
絲狀真菌接種量對污泥脫水性能的提高有重要影響,主要表現在過低的絲狀真菌接種量對污泥脫水性能的提高作用不顯著,而過高的絲狀真菌接種量則有可能使污泥的脫水性能在處理后出現惡化[14]. 圖 3為采用不同接種量的絲狀真菌M. circinelloides ZG-3處理剩余污泥過程中比阻和比阻降低率的變化. 如圖 3(a)所示,在不接種絲狀真菌而只對污泥進行好氧培養的空白對照中,污泥的比阻值在培養的過程中先降低后升高,此結果與其他學者的研究結果一致,其原因可能是好氧培養條件下污泥中微生物胞外聚合物發生降解,從而在一定程度上改善了污泥的脫水性能[20]. 接種1%、 3%、 5%和20%的絲狀真菌的處理中污泥比阻值的變化趨勢與空白對照一致,在培養的第3 d達到最低污泥比阻值,之后逐漸上升. 而接種10%絲狀真菌的處理中污泥比阻值則在6 d的培養期內一直呈下降趨勢,第6 d時污泥的比阻值降為5.23×1012 m ·kg-1.
污泥的比阻降低率可以從另一方面有效地反映污泥脫水性能的改善效果[21]. 圖 3(b)為不同菌絲體接種濃度下比阻降低率的變化. 從中可知,接種量為1%、 3%和5%的處理的比阻降低率略高于不接絲狀真菌的空白對照,但明顯低于接種量為10%和20%的處理. 盡管接種量為20%的處理中,比阻降低率在第5 d可達到最大的78.4%,但培養最后1 d降至57.7%. 而接種量為10%的處理中比阻降低率持續上升,并在第6 d達到最大值75.1%. 因此,對于采用絲狀真菌M. circinelloides ZG-3處理剩余污泥而言,采用10%的接種量可以在培養過程中有效改善污泥的脫水性能,降低污泥的比阻值.

圖 3 不同菌絲體濃度的M. circinelloides ZG-3處理污泥過程中污泥比阻及比阻降低率的變化
2.3 不同污泥含固率對污泥脫水性能的影響
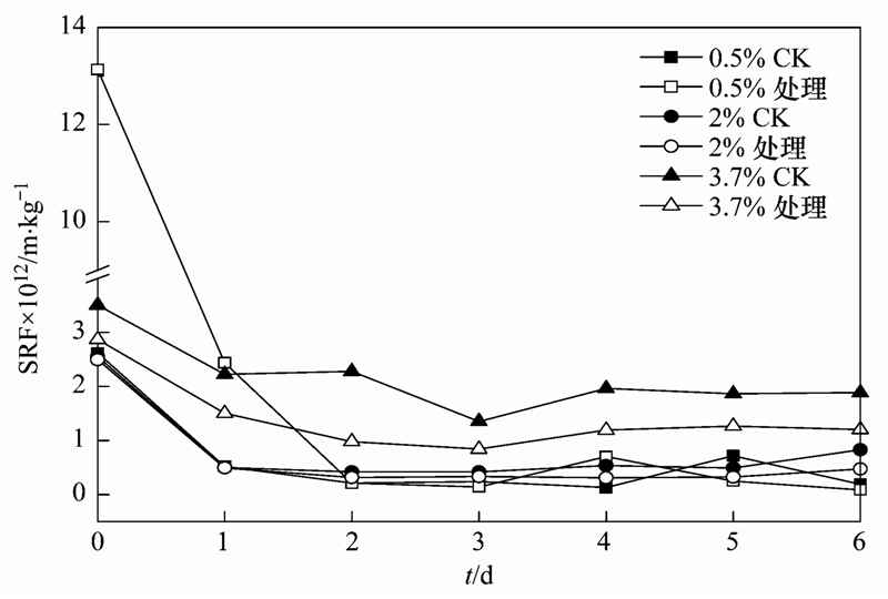
采用絲狀真菌M. circinelloides ZG-3處理不同含固率(0.5%、 2%、 3.7%)污泥過程中,污泥比阻值的變化如圖 4所示. 從中可知,當污泥含固率為0.5%時,絲狀真菌處理不能有效促進污泥比阻的降低,達不到改善污泥脫水性能的目的. 其原因可能與絲狀真菌接種增大污泥的初始比阻值有關,因為在0 d時向含固率為0.5%的污泥中接種絲狀真菌后,其比阻值達到1.313×1013 m ·kg-1,是未接種的空白污泥的5倍. 在其后的培養過程中,對于含固率為0.5%和2%的兩個處理,雖然接種絲狀真菌的處理中污泥的比阻值明顯降低,但仍未明顯低于不接種絲狀真菌的對照污泥的比阻. 因此,采用絲狀真菌M. circinelloides ZG-3處理低含固率的污泥時,對污泥脫水性能的改善效果不明顯,甚至有可能使污泥脫水性能惡化. 而采用M. circinelloides ZG-3對3.7%的原始剩余污泥進行處理時,污泥的脫水性能則可以得到大幅度的改善. 如圖 4所示,在0 d時向3.7%的污泥中接種絲狀真菌后,污泥的比阻值為2.87×1012 m ·kg-1,明顯低于未接種的空白對照. 其后,隨著反應的進行,污泥的比阻值進一步降低,在處理3 d時降為最低,僅為8.4×1011 m ·kg-1,與原始剩余污泥的比阻值相比降低了74%,顯示出絲狀真菌M. circinelloides ZG-3處理高含固率污泥時良好的效果. 因此,采用絲狀真菌M. circinelloides ZG-3處理污泥從而改善污泥脫水性能時,可直接對含固率為4%左右的原始污泥進行處理,而處理含固率為0.5%~2%的污泥時,則需先將污泥濃縮至4%左右,然后再進行絲狀真菌處理.

圖 4 絲狀真菌M. circinelloides ZG-3處理不同含固率污泥過程中污泥比阻的變化
2.4 絲狀真菌處理改善污泥脫水性能的機制初探
為了進一步闡明絲狀真菌促進污泥脫水性能改善的機制,研究了接種10%絲狀真菌M. circinelloides ZG-3處理含固率為3.7%的原始剩余污泥過程中污泥pH值、 污泥Zeta電位、 污泥中微生物胞外聚合物(EPS)總量的變化,結果如圖 5所示. 由圖 5(a)可知,10%絲狀真菌處理原始剩余污泥的過程中,污泥的pH值逐漸降低,其降低幅度大于未接種絲狀真菌的對照處理,處理6 d后,污泥pH值從初始的7.09降低至4.97.其原因可能是M. circinelloides ZG-3生長過程中可以代謝污泥中的有機物從而分泌一些酸性代謝物[22],另一方面有研究發現污泥pH值的降低可以促進部分污泥EPS的分解,從而有助于污泥脫水性能的改善[20]. 圖 5(b)為處理過程中污泥Zeta電位的變化,從中可知,由于接入了絲狀真菌M. circinelloides ZG-3,導致0 d時污泥Zeta電位值升高,但隨著反應進行,處理與對照之間Zeta電位值變化無差異,兩者均是逐漸上升. 根據DLVO理論,Zeta電位是反映膠體和懸浮物穩定性的重要指標,Zeta電位負值越大,說明污泥絮體間靜電排斥越大,最終導致污泥絮體顆粒變小不易絮凝,使得沉降及脫水性能變差[23]. 因此好氧培養過程中,污泥Zeta電位值的升高對于污泥脫水性能的改善應該也有一定程度的貢獻,但并非是導致接種絲狀真菌處理優于未接種的空白對照處理的主要原因,因為在兩個處理過程中污泥Zeta電位的差異并不明顯. 目前,已有大量研究表明,污泥中存在的大量污泥EPS是其脫水困難的主要原因[19, 20, 21, 22, 23, 24, 25, 26]. 本研究發現,在絲狀真菌M. circinelloides ZG-3處理剩余污泥的過程中,接種絲狀真菌的處理和未接種的空白對照中污泥EPS總量在培養過程中都是逐步降低,培養2 d后接種絲狀真菌處理中的EPS總量已經低于空白對照中EPS的總量. 結合其他學者的研究,可以推測,絲狀真菌M. circinelloides ZG-3處理剩余污泥過程中,污泥EPS的降解也是污泥脫水性能改善的原因之一[20]. 因此,絲狀真菌M. circinelloides ZG-3處理改善污泥脫水性能的機制主要包括污泥pH值的降低和污泥中總EPS的降解.

圖 5 絲狀真菌M. circinelloides ZG-3處理污泥過程中污泥pH值、 污泥Zeta電位及污泥EPS含量的變化
污泥上清液COD值和污泥體積指數(SVI)可以分別衡量處理后污泥上清液水質情況和污泥沉降性能. 如圖 6(a)結果顯示,由于加入真菌培養液,導致真菌處理前期污泥上清液中COD量遠高于空白處理,但隨著反應的進行,絲狀真菌快速利用污泥中的有機物,培養1 d后絲狀真菌處理中的污泥上清液COD值大幅降低,并在處理后期開始低于空白處理,處理5 d后,其上清液COD值僅為310 mg ·L-1左右. 該結果與眾多研究者的結果一致[14, 21, 28],顯示絲狀真菌處理可以達到去除污泥溶液中COD的目的. 另一方面,如圖 6(b)所示,接種絲狀真菌的處理污泥的SVI值在培養的第1 d由34.6 mL ·g-1上升至37.9 mL ·g-1,之后則保持不變,而對照組的SVI值一直穩定在35 mL ·g-1左右,說明絲狀真菌處理污泥過程中,污泥仍具有良好的沉降性能,絲狀真菌處理并未導致污泥惡化,引起污泥膨脹的問題[29].
具體參見污水寶商城資料或http://www.bnynw.com更多相關技術文檔。
圖 6 絲狀真菌M. circinelloides ZG-3處理污泥過程中出水COD和污泥SVI的變化
3 結論
從剩余污泥中成功分離到1株可以提高污泥脫水性能的絲狀真菌M. circinelloides ZG-3,該絲狀真菌處理剩余污泥過程中污泥的脫水性能改善效果主要受到接種方式、 接種濃度和污泥含固率的影響,其最適接種方式為菌絲體接種,體積接種濃度為10%,最適污泥含固率約為4%. M. circinelloides ZG-3處理剩余污泥過程中,污泥脫水性能的改善主要與污泥EPS的降解和污泥pH的降低有關.(來源及作者:南京農業大學資源與環境科學學院 周雨珺、付豪逸、范先鋒、王振宇、鄭冠宇)


