1 引言
隨著人們生活水平的不斷提高和工業生產的快速發展,大量含磷生活污水、工業廢水排入江河湖泊中,增加了水體營養物質的負荷,從而引起水體中藻類與水生植物異常繁殖,即水體的富營養化.隨著一級A標準的普遍實施,僅僅依靠生物除磷已難以使污水廠出水水質滿足排放標準,而單純的化學除磷又需要專門的后續處理工藝,因此,強化生物除磷越來越受關注,化學協同除磷法順勢而生.但化學輔助除磷需要加大量的化學除磷藥劑,會引起對生物處理系統的破壞等問題.問題的關鍵是化學除磷藥劑會對污泥的活性產生一定的影響,但現有研究主要集中在絮凝劑對活性污泥法污水處理系統內污泥的性質和處理效果的影響,忽略了DHA和EPS在污水凈化過程中的作用及其受化學添加劑的影響.
脫氫酶和EPS都是由微生物自身產生的天然有機物,脫氫酶幫助微生物催化底物去除氫,DHA的大小反映了污泥活性的強弱;而EPS的主要成分為PN(蛋白質)和PS(多糖),二者可在細胞外面形成一層保護膜,抵御環境中的有毒有害物質.現有工作只是研究了重金屬對DHA的影響,如李浩等和Wong等提出,適量的Fe3+能夠促進DHA,而過量的Fe3+則會抑制DHA,但未能將重金屬金屬陽離子對DHA的影響與污泥性質和系統處理效果聯系起來探討其中的因果.近期研究表明,生物除磷不僅與聚磷菌有關系,還與生物絮體中的EPS有關.如韓瑋等認為EPS是胞內聚合磷的中轉站,在生物除磷過程中具有積極的緩沖作用.方振東等研究了EPS中磷的形態對生物除磷過程的影響,認為活性污泥的好氧吸磷和厭氧釋磷主要源自EPS中磷的含量好氧增多和厭氧減少.Huang等提出,生物磷主要以Orth-P、Pyro-P、Poly-P 3種形式存在于EPS中,聚磷菌和EPS對除磷的貢獻分別73.7%和17.6%.因此,本文深入研究投加FeSO4絮凝劑對SBBR污水處理系統中污泥DHA、EPS和處理效果的影響,以期為工程實際提供指導.
2 材料與方法
2.1 試驗裝置
反應器由有機玻璃制成,總高度45 cm,有效高度35 cm,外徑25 cm,內徑19 cm,有效容積為8 L,以柱狀空心塑料顆粒作填料,頂部安裝電磁攪拌器,底部安裝充氧曝氣頭,具體見圖 1.

圖 1試驗裝置圖
反應器在室溫(25~28℃)下運行,缺氧/厭氧攪拌和好氧曝氣交替運行,其中,缺氧/厭氧180 min(DO濃度為0.35~0.44 mg·L-1),好氧曝氣480 min(DO濃度為2~4 mg·L-1),沉淀40 min,閑置/出水20 min.人工排水排泥,每天兩個周期,每次排/進水2 L,污泥齡為9 d.掛膜成熟后,固著相活性污泥各項參數穩定,膜生物量保持在2941 mg·L-1左右,后續試驗不再測定.本研究主要分析討論均是針對懸浮相活性污泥.
2.2 試驗用水及污泥
試驗中以無水醋酸鈉為碳源,氯化銨為氮源,磷酸二氫鉀為磷源人工配置進水,進水參數:COD約250 mg·L-1,TN約25 mg·L-1,TP約6 mg·L-1.試驗污泥均取自武漢市二郎廟污水處理廠的二沉池,每個反應器的污泥量投加都是3 L.加藥前污泥的MLSS為5.155 g·L-1,MLVSS為3.408 g·L-1,MLVSS/MLSS為0.661,SVI為60.7 mL·g-1,DHA為340 mg·h-1·L-1(以TF計),EPS為34.7 mg·g-1(以VSS計).反應器中硫酸亞鐵(FeSO4·7H2O)的投加量如表 1所示,以第1天投加絮凝劑的時間作為時間零點.
表 1 加藥時間及加藥濃度

2.3 試驗藥品及檢測方法
本實驗所用藥品均為分析純,TP、TN、COD、MLSS、MLVSS、SVI嚴格按照國標要求檢測,DHA采用TTC比色法測定,EPS含量采用加熱法測定,EPS中PS和PN分別采用蒽酮硫酸法和考馬斯亮藍法測定.
3 結果與討論
3.1 FeSO4對DHA和EPS的影響
由圖 2a可知,污泥DHA(以每g MLVSS每小時產生的TF計)隨投藥量的增加先增加后下降,投藥量超過0.30 mmol·L-1時,下降顯著加快.這與現有研究結果一致,Fe是微生物生長所需的微量元素之一,少量的Fe可以促進DHA,但大量的Fe則會抑制DHA.一方面是因為Fe2+的水解會消耗水中的堿度,降低污水的pH,并且Fe2+投加量越大pH降低越明顯,而一般生物酶適應的pH范圍均在7.0左右,過低的pH自然會抑制DHA;另一方面則是因為Fe2+水解形成的膠體,這些膠體會網捕卷掃水中的大分子有機物及顆粒較大的無機物,包裹在微生物細胞外,影響細胞內外O2的傳遞.

圖 2投加絮凝劑對污泥DHA(a)和EPS(b)的影響
圖 2b反映了FeSO4對污泥EPS的影響.隨著投藥量的增加,EPS總量(以MLVSS計)和PN含量(以MLVSS計)先增多后減少,在0.20 mmol·L-1時最多;PS含量(以MLVSS計)持續增多,PS與PN的比例也持續上升.這說明少量的Fe2+對EPS的分泌具有促進作用,但大量的Fe2+卻會抑制EPS的分泌,這與前人研究結果一致.污泥EPS中的羥基官能團吸附基質中的金屬離子,進而刺激活性污泥中的微生物增加多糖的分泌,并最終導致EPS中多糖含量增加.而蛋白質含量之所以會下降,有可能是因為較多的亞鐵離子會抑制活性污泥中酶的活性(陳烜等,2014),從而使蛋白質的分泌量減小,導致EPS中蛋白質含量變低.
3.2 FeSO4對污泥基本性質的影響
投加FeSO4后,反應器中污泥MLSS隨著投藥量的增加而升高;MLVSS和MLVSS/MLSS均隨著投藥量的增加先升高,并在0.30 mmol·L-1時分別達到最大值4.58 g·L-1和0.702,隨后則緩慢下降(圖 3a).

圖 3投加絮凝劑對污泥基本性質的影響
Fe2+水解會形成帶正電荷的Fe(OH)2和Fe(OH)3膠體,能夠通過電位中和與吸附架橋作用使污泥中的膠體脫穩凝聚,進而將污水中的膠體顆粒和有機物從污水中轉移到污泥中,使活性污泥的MLSS、MLVSS升高.此外,EPS中的多糖含有大量的親水基團,是典型的松弛型EPS,具有良好的絮凝作用.由于Fe2+水解形成的膠體粒徑較小,與高價金屬離子水解形成的膠體相比更為緊實,因此,投加FeSO4后絮凝效果變好.投藥量小于0.30 mmol·L-1時MLVSS、MLVSS/MLSS均增加,說明此時EPS的絮凝作用強于鐵鹽膠體的絮凝作用;投藥量超過0.30 mmol·L-1時雖然SVI迅速下降,但MLVSS、MLVSS/MLSS也略有降低,說明此時EPS的絮凝作用受到削弱(Li et al.,2012),良好的絮凝效果應主要歸功于鐵鹽膠體的絮凝作用,這與之前分析一致.投藥量小于0.30 mmol·L-1時MLVSS、MLVSS/MLSS均增加,說明此時EPS的絮凝作用強于鐵鹽膠體的絮凝作用,與之前分析一致.
3.3 FeSO4對SBBR處理效果的影響
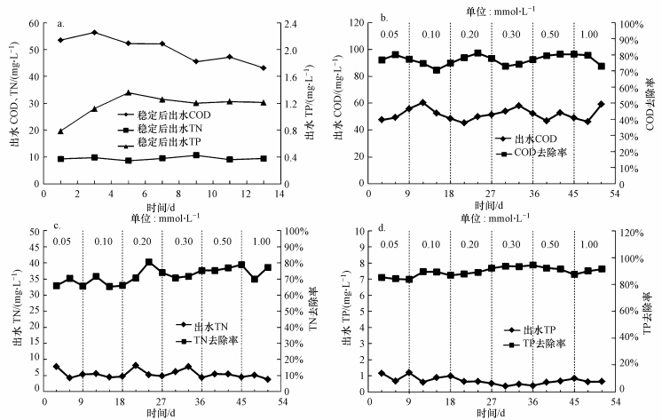
啟動期結束后,反應器出水各項指標均已達到穩定,出水COD、TN、TP濃度分別在45.26、9.46、1.25 mg·L-1左右(圖 4a),可繼續后續實驗.

圖 4 FeSO4對SBBR反應器處理效果的影響
投加FeSO4后出水COD在50~60 mg·L-1,去除率在70%~80%(圖 4b).COD的去除率比較低,說明FeSO4對COD的去除有輕微抑制.這是因為Fe2+的水解消耗了污水中的堿度,使污水pH降低,降低了細胞活性;而且Fe2+形成的緊實膠體吸附了水中的有機物卻難以通過沉淀去除,因此,會使水中的殘留COD增加.此外,Fe2+促進微生物對PS的分泌,而由PS形成的膠體結構松散且結合水較多(Li et al.,2012),阻礙了細胞的傳質作用.
SBBR污水處理系統中生物脫氮機理如式(1)~(4)所示.Wang等(和Wang等(一致認為,Fe2+的水解消耗了水中的堿度,抑制了硝化進程,會使TN去除率降低,這與圖 4c結論一致.

(1)
(2)
(3)

(4)
化學協同生物除磷包括生物除磷和化學除磷兩部分,生物除磷主要是通過聚磷菌的好氧吸磷和厭氧釋磷來實現,化學除磷則是通過化學沉淀和Fem(OH)np+多核絡合物的吸附.隨著FeSO4投加量的增加,SBBR出水TP濃度逐漸降低,并在0.30 mmol·L-1時降至最低,之后則出現上升(圖 4d).
Wong等認為,生物除磷量與聚磷細胞的數量正相關.而Zhang等和Huang等認為,化學協同生物除磷中生物除磷起主導作用,生物磷主要以Orth-P、Pyro-P、Poly-P 3種形式存在于細胞EPS中.由此可見,出水TP濃度既與污泥濃度有關,又與污泥活性有關.投藥量小于0.30 mmol·L-1時,Fe2+的增加使污泥濃度升高,且細胞活性增強、PS的比例增大,生物除磷得到加強,出水TP濃度減小.投藥量超過0.30 mmol·L-1時,雖然PS的比例在增大,但由于污泥濃度和細胞活性的下降,生物除磷受到抑制,出水TP濃度增大.因此,投加FeSO4所引起的TP去除效果的改善應主要歸功于化學除磷.
由圖 4d可知,投藥量為0.30 mmol·L-1時,SBBR出水平均TP濃度為0.40 mg·L-1,達到一級A排放標準,平均去除率高達93.8%.此時,消耗的Fe和去除的P的質量比為2.79,與Wang等得到的2.99基本一致.這也再次證明,投藥量為0.30 mmol·L-1時,Fe2+對生物除磷具有促進作用.具體參見污水寶商城資料或http://www.bnynw.com更多相關技術文檔。
4 結論
1) 少量的FeSO4對細胞活性和EPS的分泌有促進作用,但大量的FeSO4對細胞活性和EPS的分泌均有明顯的抑制作用.
2) FeSO4會使污泥的SVI值顯著降低,大大改善污泥的沉降性能;少量的FeSO4會使MLVSS升高,大量的FeSO4則會使MLVSS降低;MLSS則隨著FeSO4投加量的增加緩慢上升.
3) FeSO4對COD、TN的去除有輕微抑制作用,對TP的去除具有顯著促進作用.
4) 綜合考量各方面因素,投加FeSO4協同生物除磷時,其最佳投加量為0.30 mmol·L-1.


