1 引言
煉焦過程會產生高濃度的多環芳烴(Polycyclic Aromatic Hydrocarbons,PAHs),大部分會轉移到焦化廢水中.由于PAHs本身的疏水性,在焦化廢水處理工程中容易被吸附到污泥顆粒上,實現數千倍的富集量,導致外排泥中PAHs的含量非常高,遠遠超出歐盟農用土壤中PAHs的規定限值.我國焦化污泥的環境風險非常高,目前缺乏針對性的研究及成熟的處理處置技術.
已經報道的PAHs氧化降解方法有Fenton氧化和臭氧/過氧化氫協同氧化等.然而,Fenton試劑的使用會產生新的污染,高濃度過氧化氫的維持需要嚴格的pH條件,臭氧的不穩定性、氧化不徹底和成本問題仍然是上述方法應用上的種種限制.微生物降解PAHs由于其經濟性和有效性而得到廣泛研究,在適宜的條件下PAHs可作為碳源和能源被細菌或者真菌所利用.制約微生物降解污泥中PAHs的關鍵步驟就是傳質過程.PAHs作為親脂性的有機物,富集在污泥中,降低了PAHs的生物有效性,表現為PAHs從污泥相中轉移到微生物體內的傳質受限問題.
近年來,針對土壤中PAHs污染問題所研發的表面活性劑強化修復技術(Surfactant Enhanced Remediation,SER)得到不斷的完善和應用.濃度為5000 mg · L-1Tween 80和Triton X-100能夠去除被煤焦油污染土壤中80%的PAHs,濃度為8000 mg · L-1的Triton X-100可以去除人造煤氣廠土壤中的16種PAHs,去除率范圍為13.0%~77.8%.在解吸的過程中,表面活性劑的存在可同時促進PAHs的生物降解,常用的表面活性劑表現出差異性,陽離子表面活性劑由于其正電荷的作用存在一定的抵抗性及毒性,陰離子和非離子型的表面活性劑已經被證實可以作為良好的增溶試劑,解決包括PAHs在內的疏水性有機物的溶解性及生物降解性的限制問題.受上述工作的啟發,基于焦化污泥中富集PAHs的表面活性劑解吸以利于微生物降解的構想,本研究嘗試以兩種典型的表面活性劑—非離子型的Triton X-100和陰離子型的十二烷基硫酸鈉(Sodium Dodecyl Sulfate,SDS)作為增溶試劑,探索如下過程.首先,考察Triton X-100和SDS對典型PAHs中菲、芘和苯并[a]芘的增溶作用,獲得有關增溶能力和協同機制的基礎數據,以理解解吸過程;其二,了解焦化污泥-水體系中不同濃度菲、芘和苯并[a]芘的平衡吸附容量,識別不同分子結構PAHs吸附的差異性,以此作為增溶試劑選擇和用量的依據;其三,根據增溶與吸附信息的暴露,探索基于實際焦化污泥多組分PAHs的表面活性劑解吸行為,包括表面活性劑的復配效應與PAHs分子性質效應.
2 材料與方法
2.1 試劑與材料
16種PAHs標準溶液的濃度為2000 μg · mL-1,購于Supelco公司(Supleco Co.,USA).其中包括萘(Naph)、苊烯(Acy)、苊(Ace)、芴(Fle)、菲(Phen)、蒽(Ant)、熒蒽(Flu)、芘(Pyr)、苯并[a]蒽(BaA)、(Chr)、苯并[b]熒蒽(BbF)、苯并[k]熒蒽(BkF)、苯并[a]芘(BaP)、二苯并[a,h]蒽(DBA)、茚并[1,2,3-cd]芘(Inp)和苯并[g,h,i]芘(BgP).5種氘代多環芳烴(萘-d8、苊-d10、菲-d10、 -d12和苝-d12) 購于Supelco公司(Supleco Co.,USA).菲、芘、苯并[a]芘、Triton X-100、SDS、GC-MS分析所用內標物六甲基苯及HPLC分析所用替代物十氟聯苯均購于阿拉丁公司(Gillingham,Dorset,USA).固相萃取小柱(ENV+,0.5 g)購于Supelco公司(Supleco Co.,USA).實驗所用的正己烷、二氯甲烷、甲醇購自德國默克公司,為色譜純級.硅膠(80~100目)和中性氧化鋁(100~200目)均用二氯甲烷抽提72 h,風干后分別于180 ℃和250 ℃活化12 h,放入干燥器中平衡后加入3%去離子水去活化,平衡后浸于正己烷中封存.無水Na2SO4分析純,用二氯甲烷抽提24 h,風干后于450 ℃燒5 h,冷卻后存放于干燥器中.
2.2 焦化污泥樣品的制備和表征
焦化污泥樣品采集于某焦化廢水處理廠(缺氧-好氧1-水解-好氧2,A/O1/H/O2,各工藝段的污泥濃度范圍為4~6 g · L-1)的壓濾車間,由化學污泥和生物污泥混合壓濾脫水后所得.污泥樣品經真空冷凍干燥后過20目篩,于-20 ℃條件下保存待用.焦化污泥的部分性質列于表 1中.
表 1焦化污泥的部分性質

2.3 高效液相色譜(HPLC)和氣相色譜-質譜(GC-MS)分析過程的樣品制備
HPLC樣品制備方法:水樣中加入10 μL的替代物(十氟聯苯,100 μg · mL-1,用于校正提取過程中菲、芘和苯并[a]芘的損失),然后進行固相萃取.固相萃取步驟如下:采用10 mL的二氯甲烷沖洗小柱,將二氯甲烷抽干后用10 mL的甲醇活化小柱,在甲醇流干前加入去離子水,然后通過大流量采樣器將水樣進行固相萃取.當水樣流完后,在真空下干燥10 min,接著在3000 r · min-1下離心6 min,以去除固相萃取柱中的水分.目標物的洗脫:用30 mL的二氯甲烷/正己烷(3 ∶ 7) 分3次洗脫小柱,將洗脫液旋轉蒸發濃縮至1 mL,然后加入15 mL的甲醇作為替代溶劑,旋轉蒸發濃縮至1 mL后用HPLC測定.固相萃取中十氟聯苯的回收率范圍為74%~110%.
GC-MS樣品的制備:水樣中加入20 μg的5種氘代PAHs(萘-d8、苊-d10、菲-d10、 -d12和苝-d12) ,固相萃取過程同上,最后用30 mL的二氯甲烷分3次洗脫小柱,將洗脫液旋轉蒸發濃縮至1 mL左右待過凈化柱.冷凍干燥后污泥樣品加入200 μg的5種氘代PAHs后用200 mL的二氯甲烷在46 ℃的條件下索氏抽提48 h,銅片加入到底瓶中用于脫硫,提取液旋轉蒸發濃縮至1 mL左右待過凈化柱.水樣和污泥的提取液過1 ∶ 2的氧化鋁/硅膠凈化柱(6 cm氧化鋁,12 cm硅膠),凈化柱中加入1 g的無水硫酸鈉用于脫水.用75 mL的二氯甲烷/正己烷(3 ∶ 7) 洗脫液進行洗脫.包含PAHs的75 mL洗脫液旋轉蒸發至1 mL,然后加入15 mL的正己烷作為替代溶劑,最后旋蒸定容到1mL,進樣前加入5 μL的六甲基苯(100 mg · L-1)后用GC-MS測定.固相萃取和索氏抽提中氘代PAHs的回收率的范圍分別為68%~114%和65%~109%.
2.4 分析方法
水樣中的菲、芘、苯并[a]芘和Triton X-100的濃度用HPLC(島津,紫外檢測器,ECOSIL C18 色譜柱,4.6 mm×250 mm,5 μm)定量分析.菲、芘和苯并[a]芘測定的流動相均為甲醇/水(85 ∶ 15) ,流速為1 mL · min-1,色譜儀溫度設為40 ℃,紫外檢測波長分別為251、238和295 nm.Triton X-100測定的流動相為甲醇/水(90 ∶ 10) ,流速為1 mL · min-1,色譜儀溫度設為30 ℃,紫外檢測波長為224 nm.
水樣和污泥中的PAHs用GC-MS(Agilent7890A,5975C)在SIM模式下進行定量分析.所用色譜柱為30 m× 0.25 mm id ×0.25μm的石英毛細管柱(HP-5 MS).GC-MS 分析樣品的條件如下:進樣口和離子源的溫度分別為250 ℃和230 ℃;色譜柱溫度以5 ℃ · min-1的速度從45 ℃上升到310 ℃,然后保持10 min;質譜儀設置為電子轟擊離子化模式(70 eV);進樣量為1 μL,不分流進樣.泥樣在進樣前稀釋一定的倍數,水樣不稀釋.采用內標法建立標準曲線對單個PAH進行定量分析,單個PAH標準曲線的R2值均高于0.99.
2.5 表面活性劑對菲、芘和苯并[a]芘的增溶
增溶實驗在30 mL的玻璃離心管中進行,并用帶Teflon墊片的螺口蓋密封.首先向離心管中加入稍過量的菲、芘和苯并[a]芘固體,保證最終液相中的濃度高于其在純水中的溶解度,然后向其中加入20 mL不同濃度的Triton X-100和SDS溶液.增溶實驗包括2批,分別為單獨的Triton X-100和固定濃度的SDS添加到Triton X-100中對菲、芘和苯并[a]芘的增溶.樣品在25 ℃和150 r · min-1的條件下振蕩48 h,然后在5000 r · min-1的條件下離心30 min,完全分離出未溶解的菲、芘和苯并[a]芘.用膠頭滴管吸取15 mL的上清液通過2.3節和2.4節的方法分析水相中菲、芘和苯并[a]芘的濃度,此數據用來考察不同濃度表面活性劑單獨及復配時對菲、芘和苯并[a]芘溶解度的影響.實驗均為3個平行樣,測試結果取平均值.
2.6 焦化污泥上菲、芘和苯并[a]芘的吸附
吸附實驗在30 mL的玻璃離心管中進行,并用帶Teflon墊片的螺口蓋密封.菲、芘和苯并[a]芘溶解于甲醇中.首先向離心管中加入0.1 g的焦化污泥,然后加入不同量的菲、芘和苯并[a]芘溶液,同時加入適量的NaCl和NaN3,使其最終濃度分別為0.01 mol · L-1和0.01%(質量分數),以保證離子強度和抑制微生物的生長,最后加入蒸餾水使得溶液的體積為20 mL,以使體系中焦化污泥的濃度為5 g · L-1.樣品在25 ℃和150 r · min-1的條件下振蕩48 h,然后在5000 r · min-1的條件下離心30 min,完全分離出泥水相.用膠頭滴管吸取15 mL的上清液,同時取出離心管底部的泥樣,通過2.3節和2.4節的方法用GC-MS分析水相和泥相中菲、芘和苯并[a]芘的濃度,以此來對比焦化污泥-水體系中不同濃度菲、芘和苯并[a]芘的平衡吸附容量.同時設計2組空白實驗:一組為包括外加菲、芘和苯并[a]芘而不包括焦化污泥的對照實驗,以此計算在吸附過程中三者的損失量;另一組為不包括外加PAHs而包括焦化污泥的對照實驗,通過分析焦化污泥中本底多環芳烴在泥水相中的平衡濃度,來計算吸附平衡時外加的菲、芘和苯并[a]芘在泥水相中的賦存濃度.實驗均為3個平行樣,測試結果取平均值.
2.7 表面活性劑對焦化污泥中富集多環芳烴的解吸
解吸實驗在30 mL的玻璃離心管中進行,并用帶Teflon墊片的螺口蓋密封.首先向離心管中加入0.1 g的焦化污泥,然后加入不同濃度的Triton X-100和SDS溶液,同時加入適量的NaN3以抑制微生物生長,使其最終質量分數為0.01%,最后加入蒸餾水使得溶液體積為20 mL,以保證體系中焦化污泥的濃度為5 g · L-1.解吸實驗分為3批,分別為單獨的Triton X-100、單獨的SDS和固定濃度的SDS添加到Triton X-100中對焦化污泥中富集的多環芳烴進行解吸.樣品在25 ℃和150 r · min-1的條件下振蕩16 d,然后在5000 r · min-1的條件下離心30 min,完全分離出泥水相.用膠頭滴管吸取15 mL的上清液,同時取出離心管底部的泥樣,通過2.3節和2.4節的方法分析水相和泥相中16種PAHs的濃度,焦化污泥中富集多環芳烴的本底值也通過該方法進行分析,以此來計算表面活性劑對不同分子特性的PAHs解吸效果的差異.1 mL的上清液過13 mm×0.22 μm的水系濾頭后通過2.4節中的方法分析水相中Triton X-100的濃度,Triton X-100在焦化污泥上的吸附量由其總加入量與水相中含量的差值計算所得,以此來對比不同實驗條件下Triton X-100吸附容量的差異和對PAHs解吸行為的影響.空白實驗表明,解吸過程中Triton X-100的損失量可忽略不計.實驗均為3個平行樣,測試結果取平均值.
3 結果與討論
3.1 表面活性劑對菲、芘和苯并[a]芘的增溶作用
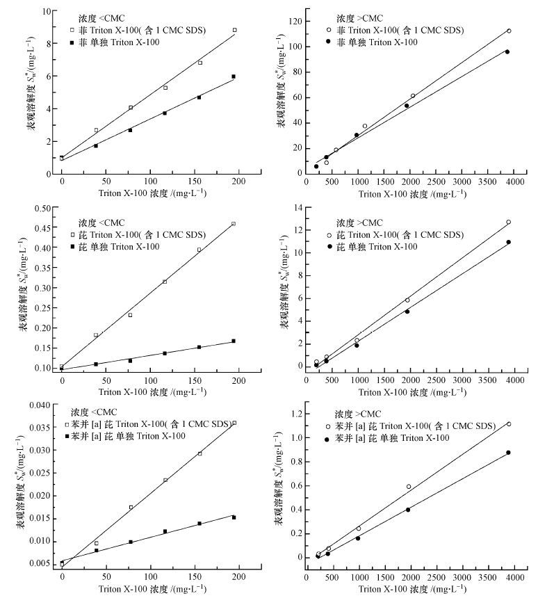
探索表面活性劑對菲、芘和苯并[a]芘(焦化污泥中PAHs的代表)的增溶規律及增溶能力的差異性,有助于明確解吸焦化污泥富集PAHs時表面活性劑的選擇和用量,針對這個目的,根據2.5節中的方法,試驗了Triton X-100和SDS對菲、芘和苯并[a]芘溶解度的影響.SDS的臨界膠束濃度(Critical Micelle Concentration,CMC,Triton X-100和SDS分別為194 mg · L-1和1557.2 mg · L-1)較大,實際應用中需要考慮用量的問題,因此,將其濃度統一設為1 CMC.實驗結果如圖 1所示.
從圖 1中可以看出,菲、芘和苯并[a]芘的表觀溶解度在Triton X-100的臨界膠束濃度前后均表現為線性增加,但增加幅度差異較大.當Triton X-100濃度超過CMC后,菲、芘和苯并[a]芘的表觀溶解度(S*w)隨著Triton X-100濃度的增大而顯著增加,原因是此時溶液中出現溶于水的膠團,菲、芘和苯并[a]芘很快在膠團相和水相之間進行分配而進入膠團,從而提高其表觀溶解度,同時,菲、芘和苯并[a]芘會繼續占據水相中的溶解位點,使其溶解度進一步提高,增溶作用顯著增強 .當固定濃度的SDS(1 CMC,1557.2 mg · L-1)添加到Triton X-100中后,會出現協同增溶的現象,此時菲、芘和苯并[a]芘的溶解度為Triton X-100單獨作用時的1.2~3.0倍.原因是Triton X-100和SDS混合使用時溶液中會形成混合膠束和混合吸附層,同時混合表面活性劑的CMC值會降低,在同等濃度下溶液中會形成更多的膠團和膠束,從而提高其增溶能力,PAHs的溶解度也隨之提高 .表面活性劑增溶菲、芘和苯并[a]芘的線性回歸數據見表 2.

圖 1表面活性劑對菲、芘和苯并[a]芘溶解度的影響
表 2表面活性劑對菲、芘和苯并[a]芘增溶曲線的線性回歸系數

在CMC 以上,可通過質量增溶比率(Weight Solubilization Ratio,WSR)來比較表面活性劑對菲、芘和苯并[a]芘的增溶能力的大小.WSR表示增加單位表面活性劑質量濃度時PAHs表觀溶解度的增加量,表達式如下 :
(1)
式中,S*PAH,mc是表面活性劑濃度為Csurf(當前表面活性劑的濃度,mg · L-1)時PAHs的表觀溶解度(mg · L-1);S*PAH,cmc是表面活性劑濃度為CMC時PAHs的表觀溶解度(mg · L-1),WSR 數值可以通過表面活性劑濃度為CMC 以上時增溶曲線的斜率求出,具體結果列于表 2中.
由表 2可知,單一及混合表面活性劑對3種PAHs的增溶能力(WSR)順序均為菲>芘>苯并[a]芘,對比先前研究中Triton X-100對苊和芴的質量增溶比率(分別為0.0736和0.0497)可知,表面活性劑對PAHs的增溶能力與PAHs的logKow值(代表親脂性的大小,苊、芴、菲、芘和苯并[a]芘分別為3.92、4.18、4.46、5.32和6.存在負相關的關系.當添加SDS到Triton X-100中后,混合表面活性劑對菲、芘和苯并[a]芘增溶能力(WSR)提升的倍數分別為1.13、1.23和1.26倍,可見SDS的加入對中分子量和高分子量的PAHs(分類方法見表 4,芘和苯并[a]芘分別為這兩類PAHs的代表)有更強的增溶能力,可用于解吸焦化污泥中富集的PAHs.另一方面,在實際的解吸過程中,PAHs由于其親脂性容易吸附在沉積物或污泥表面 ,此時表面活性劑的增溶作用會受到焦化污泥對PAHs吸附的抑制,因此,需要了解焦化污泥-水體系中不同濃度PAHs在焦化污泥上的吸附特征,識別不同分子結構PAHs吸附的差異性,以此作為解吸試劑選擇和用量的依據.
3.2 菲、芘和苯并[a]芘在焦化污泥上的吸附特征
煉焦過程所產生的PAHs在焦化廢水處理過程中會被吸附而富集在焦化污泥中,為了解焦化污泥對不同濃度PAHs的吸附行為,根據2.6節中的方法對比了代表性的PAHs(菲、芘和苯并[a]芘)在焦化污泥上的吸附特征.結果表明,吸附平衡后菲、芘和苯并[a]芘的吸附均符合Freundlich等溫吸附模型,此模型認為吸附劑表面的能量是不均勻的,吸附質首先會占據強吸附位點,隨著吸附位點逐漸被占據,吸附劑對吸附質的結合能力也會減弱.該模型可用下述方程表示:
(2)
式中,Qe為單位質量吸附劑(焦化污泥)所吸附的吸附質(PAHs)的量(μg · g-1),Ce為吸附平衡時水相中PAHs的濃度(μg · L-1),KF(μg · g-1(L · μg-1)1/n)和1/n為等溫線的參數,前者可用來描述吸附劑的吸附能力,后者可用來描述吸附強度或者吸附劑表面的異質性.通過對等式(2) 變形可得:
(3)
以lgCe和lgQe為橫縱坐標作圖可得菲、芘和苯并[a]芘在焦化污泥上的吸附等溫線,其結果如圖 2所示,等溫線參數列于表 3中.

圖 2菲、芘和苯并[a]芘在焦化污泥上的Freundlich吸附等溫線擬合
表 3菲、芘和苯并[a]芘在焦化污泥上吸附時的Freundlich吸附等溫式參數

百分比標準偏差法(Marquardt′S Percent Standard Deviation,MPSD)可用來驗證吸附平衡時吸附數據的準確性,以下式表示(Agarual et al., 2009) :

(4)
式中,Qexpe,i為實驗所得吸附容量(μg · g-1),Qcale,i為根據相應的Qexpe,i通過Freundlich吸附等溫式計算所得的吸附容量(μg · g-1),N為吸附實驗所用的多環芳烴的濃度數量(N=6) ,P為Freundlich吸附等溫式的參數數量(P=2) .MPSD值越小,表明用Freundlich吸附等溫式計算出來的Qe越精確,其值列于表 3中.
從圖 2和表 3中可以看出,焦化污泥對3種PAHs吸附能力的順序為苯并[a]芘>芘>菲(KF值由1.1737 μg · g-1(L · μg-1)1/n上升到4.7611 μg · g-1(L · μg-1)1/n).當3種PAHs的含量均為500 μg · g-1時,焦化污泥對苯并[a]芘、芘和菲的平衡吸附容量分別為 490.77、495.10和498.83 μg · g-1,分別占其總加入量的98.15%、99.02%和99.77%.此現象表明焦化污泥對PAHs的吸附能力與其親脂性的大小成正相關的關系,多環芳烴的親脂性越強,其吸附量越大.同時,3種多環芳烴供電子能力的順序為苯并[a]芘>芘>菲,苯并[a]芘與焦化污泥表面的π-π電子供體-受體(π-π electron donor-acceptor,EDA)相互作用更加強烈,導致吸附量更大.此外,焦化污泥的有機質含量(284.7 g · kg-1)和比表面積(68.972 m2 · g-1)相對于土壤或者沉積物較大,因此,可以提供大量的吸附位點,可同時吸附不同分子量的PAHs,使其進入焦化污泥的有機質中.焦化污泥元素分析的結果顯示,C、H、O、N和S所占的比例分別為14.79%、2.06%、69.27%、4.91%和2.38%,表示疏水性分配和相互作用對PAHs的吸附起到了一定的促進作用.PAHs的親脂性和供電子能力、焦化污泥的理化性質及疏水性分配和相互作用等因素會決定PAHs的吸附特征,從而影響表面活性劑對焦化污泥富集PAHs的解吸效果,因此,需要選擇合適的表面活性劑來同時解吸出焦化污泥中不同分子性質的PAHs.
3.3 焦化污泥中富集PAHs的表面活性劑解吸行為
焦化污泥中富集PAHs的總量高達4332.68 mg · kg-1,按照其分子性質可分為3類,結果列于表 4中.其中主要為中分子量的PAHs(Middle-molecular-weight PAHs,M-PAHs)和高分子量的PAHs(High- molecular-weight PAHs,H-PAHs),其質量比例分別為52.3%和46.2%.低分子量的PAHs(Low-molecular-weight PAHs,L-PAHs)由于其水溶性和揮發性均較高 ,導致其在污泥中的含量相對較低(質量比例僅為1.5%).針對焦化污泥中不同分子量的PAHs,為了解其解吸行為的差異,以Triton X-100和SDS作為解吸試劑,根據2.7節中的實驗方法,對比了不同條件下PAHs的解吸程度,結果如圖 3所示.
表 4焦化污泥中16種PAHs的主要化學性質


圖 3不同表面活性劑作用時總PAHs(a)和單個PAHs(b)的解吸率
焦化污泥中富集PAHs的解吸率(R)可用下式來表示:
(5)
式中,S為解吸后PAHs在溶液中的濃度(mg · L-1),V為解吸后中溶液的體積(L),Si為焦化污泥中富集的PAHs的初始含量(mg · kg-1),m為實驗中加入的焦化污泥的質量(kg).
從圖 3a中可以看到,總PAHs的解吸率隨著表面活性劑濃度的增加而逐漸增大,同時混合表面活性劑對多環芳烴的解吸程度更高.添加SDS(1 CMC,1557.2 mg · L-1)到Triton X-100中后,當Triton X-100的濃度為3880 mg · L-1時,總PAHs的解吸率為28.10%,較之Triton X-100單獨解吸時(10.81%)增長了159.9%,此時以Triton X-100和SDS混合質量計的1 g 表面活性劑可以解吸1.12 mg的總PAHs,而1 g的Triton X-100單獨作用時對總PAHs的解吸量僅為0.61 mg.出現此現象的原因解釋如下:一方面,SDS與Triton X-100存在協同增溶作用(見3.1節中結果),兩者共存時會降低溶液的CMC值,溶液中會出現更多可用于解吸PAHs的膠團和膠束 ;另一方面,在解吸的過程中,污泥表面吸附的表面活性劑會形成新的吸附相,對PAHs的解吸產生抑制作用,然而SDS的存在會減少Triton X-100在焦化污泥表面的吸附量(圖 4,添加SDS后Triton X-100在焦化污泥上的平衡吸附容量由 2.48 mg · kg-1降低到 2.15 mg · kg-1),溶液中存在的膠團膠束數量會進一步增加,PAHs的解吸率也逐漸增大.

圖 4 Triton X-100在焦化污泥的吸附特征
解吸時間為16 d,不同表面活性劑對單個PAH的解吸率見圖 3b.可以發現,Triton X-100適用于解吸低分子量和中分子量PAHs,而SDS在對低分子量PAHs解吸的同時,對中分子量和高分子量PAHs的解吸效果更好.當添加SDS到Triton X-100中后,單個PAH的解吸率均有提升,此時3類PAHs解吸率的范圍分別為50.63%~79.23%、29.86%~38.41%和10.03%~25.51%,不同分子量PAHs解吸率的差異取決于其本身親脂性的大小和焦化污泥對其吸附能力的強弱.考慮到焦化污泥中單個PAH的含量水平(4.75 ~684.56 mg · kg-1),PAHs在焦化污泥上的吸附特征及因表面活性劑的吸附而產生的抑制作用,對比先前研究可發現,添加適量的濃度SDS(如1 CMC)到Triton X-100中可用于焦化污泥中PAHs的解吸,以此解決PAHs的傳質受限問題,以利于微生物對其降解.具體參見污水寶商城資料或http://www.bnynw.com更多相關技術文檔。
4 結論
從表面活性劑中選擇的Triton X-100和SDS對菲、芘和苯并[a]芘均有增溶作用,發現Triton X-100和SDS共存時存在協同增溶作用,認為是表面活性劑的混合會降低CMC值,使得膠團和膠束含量增多,表面作用力增強;菲、芘和苯并[a]芘在焦化污泥上的吸附均符合Freundlich等溫模型,吸附容量由PAHs的親脂性和焦化污泥的理化性質決定,增溶和吸附的特征成為理解PAHs解吸的差異性與增溶劑選擇的依據;濃度為3880 mg · L-1的Triton X-100和1557.2 mg · L-1的SDS所構成的混合增溶劑在16 d內對焦化污泥中不同分子量PAHs的解吸率處在10.03%~79.23%范圍內,對總PAHs(16種)的解吸率達到28.10%,較之單獨使用Triton X-100時提高了159.9%,以此推算出以Triton X-100和SDS混合質量計的每克表面活性劑可以解吸1.12 mg的總PAHs.


