在我國,80%的農藥品種是有機磷農藥,該類農藥具有品種繁多,生產工藝復雜,副產物多,三廢排放量大、含鹽量高、色重、味臭、難生化等特點。以樂果廢水為例,該水味奇臭,COD 高達200000 mg /L,有機磷含量1000 ~ 18000 mg /L,含鹽量15%。目前國內有機磷生產廠家往往對該類廢水未經處理或處理不達標就向外排放,嚴重地污染了環境,因此研究并實施有機磷農藥廢水處理方法是治理農藥行業污染的重點。
1 有機磷農藥的分類、生化特點及廢水共性
1.1 有機磷農藥按化學結構大致分為
(1) 磷酸酯類,如敵百蟲、草甘膦等,該類化合物生化處理比較容易,如南通農藥廠生產的敵百蟲,久效磷等廢水直接稀釋進生化,COD 去除率可達85%左右[1]。
(2) 一硫代磷酸酯類,如甲基對硫磷、甲基嘧啶磷、丙溴磷等,該類化合物因含硫而味臭,不能被微生物降解,與可生化降解物混合,可部分降解為正磷酸。
(3) 二硫代磷酸酯類,如樂果、馬拉硫磷等,該類化合物因含多硫味特臭,不能被微生物降解,與可生化降解物混合,極少部分降解為正磷酸。
由以上可知,硫代磷酸酯類有機磷農藥是該類農藥預處理的重點和難點,只有通過預處理降解才能進一步進生化池生化。
圖1 有機磷農藥的分類
Fig.1 Classification of organophosphorus pesticides
2.2 有機磷農藥廢水共性成分
通過對有機磷廢水的成分分析可知,廢水中95% 以上不是農藥本體,而是它們的中間體及不同階段的降解產物(圖2)中含量較多的有:
圖2 有機磷農藥廢水降解產物
Fig.2 Degradation products of organophosphorus pesticide wastewater
3 有機磷農藥廢水預處理的方法
近年來對有機磷廢水的處理,基本圍繞著分解和去除廢水中的有機硫、磷進行,大體可分為物理處理法和化學處理法。物理處理法包括: 吸附、萃取、氣提、絮凝沉降等方法,化學處理法包括: 氧化、還原、水解等方法。
3.1 物理處理
3.1.1 吸附
吸附是一種物質附著在另一物質表面的過程。目前采用較多的吸附劑有大孔樹脂、活性炭、粉煤灰及膨潤土。其中大孔樹脂及活性炭因價格昂貴,使用受到一定的限制,且存在活化再生的問題,而粉煤灰吸附雖效果不及前者,但處理簡便、成本低廉,可達到以廢治廢的效果、目前得到廣泛應用。如文獻報道[2]采用季銨鹽改性粉煤灰處理有機磷廢水,磷的吸附率可達97%。
3.1.2 萃取
萃取: 采用與水不溶而能很好溶解污染物的萃取劑,使其與廢水充分接觸,利用污染物在水及溶劑中溶解度的不同,達到分離和凈化廢水的目的。使用比較多的有絡合萃取、液膜萃取。在處理丙溴磷廢水時采用TBP 與環己烷形成絡合劑萃取回收水中的氯酚,氯酚回收率可達98%。沈陽化工院采用液膜萃取含酚廢水,也達到很好的效果[3]。
3.1.3 氣提、吹脫
氣提、吹脫法是將氣體吹入廢水,使溶解性氣體或易揮發性物質變成氣體,從而凈化廢水的過程。湖南海利集團采用蒸汽氣提回收樂果硫磷酯工段廢水中的氨氮,氨氮去除率可達85%,大大提高了廢水的可生化性。
3.1.4 絮凝、沉降
絮凝沉降是采用加入絮凝劑破壞廢水懸浮顆粒的穩定性,消除顆粒間的斥力,使顆粒接觸并吸附在一起,再通過絮凝劑進行架橋及網捕,形成大顆粒從水中分離的方法。該方法因簡單,成本低廣泛應用在廢水處理中。現有絮凝劑主要有無機絮凝劑及有機絮凝劑兩大類,無機絮凝劑主要有硫酸鋁,聚合氯化鋁、聚合硫酸鐵等,有機絮凝劑主要有聚丙烯酰胺和甲醛-雙氰胺類。
3.2 化學處理
3.2.1 化學氧化法
化學氧化法主要包括電催化氧化、芬頓氧化、及濕式氧化法。
(1) 電催化氧化處理技術
電催化氧化處理技術是一種高級的電化學氧化工藝,是利用外加電場作用,在特定的電化學反應器內,通過一系列設計的化學反應、電化學過程或物理過程,達到預期的去除廢水中污染物或回收有用物資的目的。在反應過程中一般是直接氧化和間接氧化同時進行。現在應用較多的電催化氧化技術是以活性碳、惰性金屬(Ag,Pt,Ti 等) 和表面涂覆PbO2,SnO2,Sb2O5等氧化膜的惰性金屬為陽極,以鐵板為陰極,通過電極的直接和間接作用,達到去除污染物、凈化水質的目的[4]。湖南海利集團將這一技術運用到硫磷酯廢水及甲基嘧啶磷的廢水處理中,COD 去除率可達45%,可生化性得到大幅的提高。
(2) 芬頓氧化法
Fenton 法是一種高級氧化工藝。通過Fe2 + 和H2O2結合生成高反應活性的羥基自由基,它可有效處理絕大多數難降解有機廢水。與其他高級氧化工藝相比,具有操作簡單、反應快速等優點。由于使用雙氧水,成本還比較高,限制了該法的廣泛應用。如李榮喜等將芬頓法運用到降解湖南天宇化工農藥有限公司的三唑磷農藥廢水,COD 去除率高達95%[5]。為提高芬頓試劑的效率,目前有報道采用UV/Fenton 及超聲(微波) /Fenton 的方法,能使COD 去除率提高10% ~ 20%[6]。
(3) 濕式氧化法
濕式氧化法簡稱WAO,是以空氣及氧氣為氧化劑將溶解及懸浮于水中的有機物或還原性無機物,在高溫高壓下進行液相氧化分解,大幅去除COD/BOD/SS 的方法。該方法氧化徹底,如處理硫磷酯廢水,能將其完全無機化,但該法對設備要求高,反應條件苛刻、設備成本高,在國內使用尚不普遍[7]。
3.2.2 化學還原法
鐵/炭微電解屬電化學還原技術,利用鐵一炭體系形成的微原電池對水中難降解污染物進行處理。微電解作用機理主要包括:(1) 鐵屑的吸附作用; (2) Fe 的還原作用; (3) 微電解產物Fe2 +、氫的還原作用; (4) Fe2 + /Fe3 + 的絮凝作用。匡蕾、揚庚等將此法用在處理有機磷農藥中間體乙基氯化物生產廢水中,處理后水的COD、硫化物、總磷的去除率分別高達90.2%、99.4%、95.0%,廢水的可生物降解性明顯提高,為進入生化創造了條件[8]。
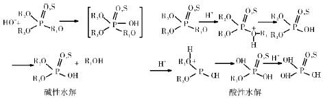
3.2.3 水解法
有機磷農藥水解分堿式水解、酸式水解[9]。堿式水解機理為OH-進攻P 原子,發生Sn2取代。堿性條件下從三酯水解成二酯容易,再繼續水解困難,因此一般停留在一級水解階段。在酸性條件下水解反應的機理一般認為首先使連酯的氧原子上質子化,然后碳原子受到攻擊發生Sn2取代反應,經不斷取代,最終水解為無機磷。化學水解法處理有機磷農藥廢水從理論上看是可行的,從實際應用看是有效的,尤其適宜處理高濃度有機磷廢水處理。如在酸性條件水解水胺硫磷,有機磷、硫化物、NH3- N 和總磷去除率均大于90%,COD 去除率達50%以上[10]。
圖3 有機磷水解
Fig.3 Hydrolysis of organic phosphorus
4 結論
有機磷廢水種類很多,依結構分,共同的中間體有同樣的廢水,但因農藥縮合的另一半差異,不同的廢水要采取不同的處理方法,單獨采用任何一種方法處理高濃度有機磷農藥廢水在經重點難點貫穿于課堂討論中去,加強教學效果使學生能夠牢固掌握復合材料的一些基本概念方法,還能對大學生創新能力的培養起到重要作用。
2 互動式教學講授《復合材料》的實踐和探索
2.1 教師主講和學生匯報相結合
根據《復合材料》課程的特點,在課程前面的章節以教師講授為主,主要講授復合材料的基本知識。包括: 復合材料的結構組成、基體、增強體以及復合材料的界面和結構設計。在講授過程中根據教學大綱的要求力求做到讓學生熟練掌握復合材料的基本概念,掌握材料的制備方法和設計原則,了解復合材料在航空航天、工業建筑等領域的應用。在此基礎上進行第二階段教學,即學生匯報和討論。具體參見http://www.bnynw.com更多相關技術文檔。
教師根據不同基體的復合材料如: 聚合物基復合材料、水泥基復合材料、金屬基復合材料、陶瓷基復合材料等主題對學生進行分組。每組同學在教師的指導下圍繞將要匯報的主題進行資料的調研工作,然后自命題目制作幻燈片進行主題匯報。匯報的情況將作為課程成績考核的一個重要部分。
2.2 課堂討論與課外整理相結合
學生匯報完畢,教師可以根據學生所講內容進行補充并引導學生圍繞相關問題進行分組討論。如聚合物基復合材料的結構與性能之間的關系。如何通過結構的控制來對性能進行優化設計等。要求各組學生根據課堂討論的結果歸納總結,整理成綜述報告。
3 《復合材料》課程的互動式教學對材料學專業大學生創新能力培養的重要意義
3.1 通過文獻調研提高了學生的自主學習能力
在教師布置相關課題的基礎上,要求學生圍繞主題進行資料的查閱和整合。這樣,學生在查找文獻的過程中,首先要對課題進行思考,弄清楚需要哪方面的文獻以及從哪些地方獲取等問題,然后才能進行文獻資料的調研。經過一段時間的文獻調研工作,提高了學生獨立思考的能力和查閱科技文獻的能力。同時,學生的學習積極性、自信心將會得到極大的提升。
3.2 通過主題匯報提高了學生的總結歸納能力和對科學問題的提煉能力
在掌握大量文獻資料的基礎上,學生圍繞匯報主題制備幻燈片并進行課堂匯報。在這個階段學生需要對前期的資料進行有效的整合歸納,進而提出一些科學問題。如,如何來提高水泥基復合材料的力學性能? 現有的手段有哪些不足之處? 在匯報過程中做到思路清晰、重點突出。多進行這樣的鍛煉,學生的總結歸納能力和對科學問題提煉的能力自然得到了顯著的提高。
3.3 在討論過程中提高學生的創新思維能力和創新意識
在學生主題匯報完畢后,教師應根據學生講述的內容進行點評,并提出問題與同學們一起討論。在討論過程中以學生為主體,教師引導學生在掌握大量資料文獻的基礎上提出解決問題的方法,鼓勵學生打破傳統思維定勢,開拓創新的方法和手段。同時,要善于把握不同知識點之間的內在聯系,在進一步鞏固《復合材料》課程主要知識點的基礎上達到融會貫通的效果。


