生物接觸氧化(biological contact oxidation process)是從生物膜法派生出來的一種廢水生物處理法,即在生物接觸氧化池內裝填一定數量的填料,利用棲附在填料上的生物膜和充分供應的氧氣,通過生物氧化作用,將廢水中的有機物氧化分解,達到凈化目的。生物接觸氧化處理工藝,是微生物反應,BOD去除速度與BOD濃度有關,兩者之間呈一次反應關系,故接觸氧化時間:
t——接觸反應時間
S0——原污水BOD值,mg/L
Se——處理水BOD值,mg/L
K——比例常數
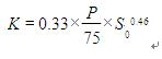
K值,經許多專家對生物接觸氧化研究結果,還要考慮這樣一個因素,即接觸氧化池內填料的標準填充率為池容積的75%,而實際充填率為P%,提出下列經驗公式求定:

從上式可以看出,接觸反應時間與原污水水質呈正比關系,與出水水質呈反比關系,即對處理水質要求越高(Se值越低),所需接觸反應時間也越長。具體參見http://www.bnynw.com更多相關技術文檔。


