一般規定
1、生物接觸氧化池每個(格)平面形狀宜采用矩形,沿水流方向池長不宜大于10m。其長寬比宜采用 1:2~1:1,有效面積不宜大于100m2 。
2、 生物接觸氧化池由下至上應包括構造層、填料層、穩水層和超高。其中,構造層層高宜采用 0.6~1.2m,填料層高宜采用 2.5~3.5m,穩水層高宜采用0.4~0.5m,超高不宜小于 0.5m。
3、 生物接觸氧化池進水端宜設導流槽,其寬度不宜小于 0.8m。導流槽與生物接觸氧化池應采用導流墻分隔。導流墻下緣至填料底面的距離宜為0.3~0.5m,至池底的距離宜不小于 0.4m。
4、生物接觸氧化池應在填料下方滿平面均勻曝氣。
5、當采用穿孔管曝氣時,每根穿孔管的水平長度不宜大于 5m;水平誤差每根不宜大于±2mm,全池不宜大于±3mm,且應有調節氣量和方便維修的設施。
6、生物接觸氧化池應設集水槽均勻出水。集水槽過堰負荷宜為 2.0~3.0L/(s•m) 。
7、生物接觸氧化池底部應有放空設施。
8、當生物接觸氧化池水面可能產生大量泡沫時,應有消除泡沫措施。
9、生物接觸氧化池應有檢測溶解氧的設施。
填料
1、 生物接觸氧化池的填料應采用對微生物無毒害、易掛膜、比表面積較大、空隙率較高、氧轉移性能較好、機械強度較大、經久耐用、價格低廉的材料。
2、當采用爐渣等粒狀填料時, 填料層下部 0.5m 高度范圍內的填料粒徑宜采用 50~80mm,其上部填料粒徑宜采用 20~50mm(常用爐渣填料的理化性能見附錄 B) 。
3、當采用蜂窩填料時,孔徑宜采用 25~30mm。材料宜為玻璃鋼、聚氯乙烯等。
4、不同類型的填料可組合應用。
設計計算

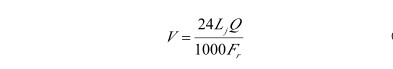
1、生物接觸氧化池的填料容積應按下式計算:
式中 V ——生物接觸氧化池的填料容積(m 3 ) ;
L j ——生物接觸氧化系統進水五日生化需氧量 BOD 5 (mg/L) ;
Q ——生物接觸氧化池設計流量(m 3 /h) ;
F r ——生物接觸氧化池 BOD 5 填料容積負荷(kg/ m 3 •d) 。
2 、生物接觸氧化池 BOD 5 填料容積負荷宜通過試驗確定。當無試驗資料且采用二段式系統,進入生物接觸氧化系統的污水 BOD 5 為 60~80 mg/L 時,可按下列公式計算系統的填料容積負荷:
![]()
L ——生物接觸氧化系統出水 BOD 5 (mg/L) 。
3 、生物接觸氧化池中,污水與填料的接觸時間可由下列公式計算或按表 采用:

式中 t——污水與填料的接觸時間(h) ,不得小于 0.5h。

當采用二段式時, 污水在第一生物接觸氧化池內與填料接觸的時間宜為總接觸時間的 55%~60%。
4、 生物接觸氧化池的氣水比宜通過試驗或參照相似條件的運行資料確定。 當進水 BOD 5 為 60~180 mg/L, 且采用穿孔管在填料下方滿平面均勻曝氣時 ,二段式系統的總氣水比可采用 3:1~7:1,其中,一氧池的氣水比為 2:1~4:1 ,二氧池的氣水比為 1:1~3:1.
5、生物接觸氧化池曝氣強度宜采用 10~20m 3 /(m 2 •h)。
6、 生物接觸氧化系統產生的污泥量可按去除每公斤 BOD 5 產生0.35~0.4kg 干污泥計算。


