前言
天然水體中常含有泥砂、粘土、腐殖質等懸浮物和膠體雜質及細菌、真菌、藻類、病毒等微生物,它們在水中具有-定的穩定性,是造成水體混濁、顏色和異味的主要原因。混凝處理就是以除去這些雜質為主要目的,使水中懸浮物的含量降至5mg /l 以下,即得到澄清水,習慣上稱它們為水的預處理。經過預處理后的水,根據不同的用途再進行深度處理。如作為鍋爐用水,還必須用離子交換的方法除去水中溶解件的鹽類及用加熱或抽真空和鼓風的方法除去水中溶解性的氣體。如不首先除去這些雜質.后續處理(如除鹽等) 將無法進行。因此,水的混凝處理是水處理工藝流程中的一個重要環節。
絮凝沉降技術在水處理工藝中是一項廣泛應用的技術。它不僅可用于給水處理,還可用于工業廢水處理。許多工業廢水經絮凝澄清后可返回工藝過程使用。這樣不僅充分利用了水資源,而且有利于保護環境,因而有明顯的經濟社會效益。從目前國內的現狀看,絮凝沉降技術雖獲得了廣泛應用,但一般絮凝劑耗量較高,有的還因選型不宜或使用方法不當,絮凝澄清效果不理想,為改善絮凝澄清效果、降低藥劑消耗費用[1],木文將應用研究的體會介紹給大家,供大家參考。
2 絮凝劑類型與適用范圍
2.1 無機絮凝劑
無機絮凝劑主要是鐵鹽和鋁鹽,例如三氯化鐵、硫酸亞鐵、硫酸鐵、聚合硫酸鐵、硫酸鋁、明礬、堿式氯化鋁、聚合氯化鋁等。它們的作用機理是通過水解形成膠狀氫氧化物,這些氫氧化物與水中的懸浮粒子相碰吸附在一起,形成絮凝團,從而加速沉降過程,此外也具有一定的電性中和作用。這類藥劑應用歷史悠久,在飲用水與工業給水處理中占主導地位。在工業廢水處理中也還有一定的市場,特別是對于某些含有機質的工業廢水,通過混凝作用,經澄清后不僅可獲得較清的水質,而且還能除去一部分有機物(COD) 。但這類藥劑耗量較大、形成的絮團小、沉降速度慢并具有一定的腐蝕性,操作工人的勞動強度也較大。對于一般工業廢水的固液分離,采用合成有機高分子絮凝劑日益增多。
2.2 天然高分子絮凝劑
天然高分子絮凝劑主要有田箐膠(其組成與性能與國外的加爾膠相似) 、淀粉、麩皮、豬屎豆粉、大葉楠木葉、仙人掌汁、F691 等,以及這些物質的改性產物。這類絮凝劑在礦物加工中主要用作礦漿過濾的助濾劑,在工業水處理中也有使用的。這類絮凝劑單耗也較高、形成的絮團小,單獨用于絮凝澄清,效果也不理想,但將它與少量適宜的合成有機高分子絮凝劑聯合使用,不僅絮凝澄清效果好,而且藥劑消耗費用一般也較低。
2.3 合成有機高分子絮凝劑-聚丙烯酰胺
首先發明于美國,并于1955 年在鈾礦加工中獲得成功應用。60 年代初開始研制,于60 年代中期首先在國內鈾水冶工藝中應用用,隨后再擴展應用到其它行業。目前的合成有機高分子絮凝劑可分為陰離子、陽離子和非離子型三大類及其系列產品。
非離子型聚丙烯酸胺是用丙烯酞胺單體在一定條件下進行聚合制備的。
陰離子型絮凝劑既可用丙烯酰胺單體通過聚合水解反應來制備,也可用丙烯酰胺單體與丙烯酸鈉按一定比例進行共聚來制備。通過改變兩者的配比可制備不同陰離子強度的系列產品,當丙烯酰胺含量為零時,即為強陰離子型聚丙烯酸鈉。
陽離子型絮凝劑一般用丙烯酰胺與季銨鹽單體進行共聚來制備,通過改變兩者的配比,可制得不同陽離子強度的系列產品。
非離子型聚內烯酰胺適用于固體微粒表面凈電荷低的體系,一般可用于酸性或近中性的體系。陽離子型絮凝劑適用于固體微粒表面帶負電荷的體系,一般適用于某些含有機質的體系。陰離子型絮凝劑適用于固體微粒表面帶正電荷的體系,一般為堿性或近中性的體系。例如一般的選礦廢水、高爐煤氣洗滌水、轉爐煉鋼除塵水、燒結廠廢水及某些含石灰質及兩價或三價金屬化合物的廢水等。陰離子型絮凝劑應用范圍較廣,目前市場上出售的聚丙烯酞胺干粉,絕大部分都是弱陰離子型,水解度為25-30%。從表面看,合成有機高分子絮凝劑價格較貴,但分子量高,只要選型適宜,一般用量很少,且形成的絮團大、沉降速度快、出水清,其藥劑消耗總費用一般比用無機絮凝劑低。
3 應用研究實例
混凝處理包括藥劑、水的混合及反應(包括脫穩、凝聚、絮凝) 兩個階段。為了提高混凝處理的效果,必須選用性能良好的藥劑,創造適宜的化學和水力學條件。
在目前的水處理設計中,各種混凝劑的加藥量可參考以下數據: 硫酸亞鐵40-100mg/l; 三氯化鐵25-60mg/l; 硫酸鋁35-80mg/l; 聚合鋁5-10mg/l。本實驗采用明礬(硫酸鋁鉀KAl(SO4)2·12H2O) 。
3.1 實驗儀器
(1) ZR4-6 型混凝試驗攪拌器
(2) wzs-180 低濁度儀
3.2 實驗方法[3]
(1) 用1000ml 量筒取6 個水樣(云龍湖水) 至6 個1000ml燒杯中。所取水樣要攪拌均勻,要一次量取,以盡量減少取樣濃度上的誤差。
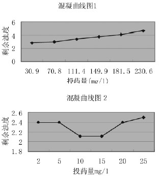
(2) 投藥量: 本實驗采用明礬(硫酸鋁鉀KAl (SO4)2·12H2O) 30-230mg /l。
(3) 將第一組水樣置于ZR4-6 型混凝試驗攪拌器下。(攪拌時間和程序已按說明書預先設定好) 與此同時,按計算好的投藥量,用移液管分別移取不同量的藥液至加藥管中。
(4) 開動機器,在第一次自動加藥后,用蒸餾水沖洗加藥試管2 次。
(5) 混凝實驗攪拌器以500r /min 的速度攪拌30s,150r /min 的速度攪拌5min, 80r /min 的速度攪10min。
(6) 攪拌過程中,注意觀察并記錄“礬花”形成的過程,“礬花”外觀、大小度等。
(7) 攪拌過程完成后,停機,靜沉15min,觀察并記錄“礬花”沉淀的過程。
(8) 第一組6 個水樣,靜止15min 后.用醫用針筒取出約100ml 的上清液,置于6 個洗凈的125ml 燒杯中,并分別用濁度儀測出剩余濁度,記錄。
(9) 比較第一組實驗結果,根據6 個水樣所測得的剩余濁度值,以及水樣混凝沉淀時現象觀察記錄的分析,對最佳投藥量所在區間作出判斷,縮小實驗范圍(加藥量范圍) ,重新設定(第二組) 實驗的最大和最小投藥量值a、b 之間的X1、X2、X3、X4值,重復以上試驗。
由于第一組實驗剩余濁度呈遞增趨勢(見圖1) ,所以重新設定第二組實驗濃度范圍為2-30 mg /l(見圖2) 。
3.3 結果整理
以投藥量為橫坐標,以剩余濁度為縱座標,繪制投藥量剩余濁度曲線,從曲線上可求得10mg /l 為最佳投藥量值。
4 結論
4.1 混凝劑劑量
混凝劑的劑量是影響混凝效果的重要因素。圖3 示出了混凝劑劑量與出水剩余濁度之間的關系[4]。具體參見http://www.bnynw.com更多相關技術文檔。
曲線分成四個區域。在第一區,因劑量不足,尚未起到脫穩作用,剩余濁度較高; 在第二區,因劑量適當,產生快速凝聚,出水剩余濁度急劇下降; 在第三區,劑量繼續增加,由于膠體顆粒吸附了過量的混凝劑水解中間產物,引起膠體顆粒電性變號,發生再穩現象,出水剩余濁度重新增加; 在第四區,進一步提高劑量,使混凝劑過飽和程度增大,生成大量難溶的氫氧化物沉淀,通過吸附、網捕等作用,引起二次凝聚,出水剩余濁度義一次降低。
圖3 混凝劑劑量對混凝效果的影響
ρ1,ρ2,ρ3,ρ4分別為膠體濃度
4.2 懸浮物含量
用云龍湖小南湖水分析表明,加混凝劑前,總懸浮物含量為260 mg /l,加混凝劑后,總懸浮物含量為52mg /l,比原來降低了80%,表明,不僅絮凝澄清效果好,而且藥劑消耗費用低,經濟、社會效益顯著。綜上所述,絮凝沉降技術在水處理中的應用前景廣闊,針對不同的水質特性,選擇電荷性質與密度適宜的絮凝劑及合適的使用方法是獲得最佳固液分離效果、降低消耗費用的關鍵。
參考文獻
[1]李志華.絮凝沉降技術在水處理中的應用研究.凈水技術,1994,47(1) : 13-18.
[2]Hunter T.K.絮凝劑和表面活性劑在礦物加工中的應用.濕法冶金,1984,1,2.
[3]張可方.水處理實驗技術.暨南大學出版社,廣州,2003.8: 1-4.
[4]李培元.火力發電廠水處理及水質控制武漢水利電力大學.中國電力出版社,1999,(11) : 48-49.
作者簡介:李小云(1972-) ,女,碩士,工程師,主要研究方向為水污染控制。


